Todo
Apuntes
Ejercicios
Exámenes
Otros
chevron_left
chevron_right

apuntes

-

Todos los temas explicados

He publicado nuevos apuntes de 2º Tecnicas Cuantitativas Ii: Todos los temas explicados

TEMA-3.pdf
obtencion-RaZonada.pdf
TEMA-1.pdf
TEMA-5.pdf
Examen-ordinario-2025-resuelto.pdf
TEMA-4.pdf

He publicado nuevos apuntes de 2º Tecnicas Cuantitativas Ii: Apuntes-teoria.pdf

5 páginas

He publicado nuevos apuntes de 2º Tecnicas Cuantitativas Ii: Tecnicas-apuntes.pdf

6 páginas

Apuntes Completos Y Detallados

8 páginas

Apuntes Completos Y Detallados

7 páginas

Apuntes Completos Y Detallados

3 páginas

Apuntes Completos Y Detallados

6 páginas

Apuntes Completos Y Detallados

6 páginas

He publicado nuevos apuntes de 2º Tecnicas Cuantitativas Ii: examen-ade-y-fico-2025.jpg

Imagen

apuntes

-

TÉCNICAS II TEORIA+ PRÁCTICA

He publicado nuevos apuntes de 2º Tecnicas Cuantitativas Ii: TÉCNICAS II TEORIA+ PRÁCTICA

TECNICAS-II-TEMA-2-PRACTICA.pdf
TECNICAS-II-TEORIA.pdf
RESUMEN-TEMA-2-TECNICAS-II-conceptos.pdf

Apuntes del Tema 1 TC 2

27 páginas

He publicado nuevos apuntes de 2º Tecnicas Cuantitativas Ii: PROPIEDADES-DE-LA-VARIANZA-Y-ESPERANZA.pdf

2 páginas

apuntes

-

Cuaderno de estadística libro

He publicado nuevos apuntes de 2º Tecnicas Cuantitativas Ii: Cuaderno de estadística libro

Tema-1-tc-2.pdf
Tema-3-tc.pdf
Tema-4-y-5-tc-II.pdf
Tema-2-tc.pdf

He publicado nuevos apuntes de 2º Tecnicas Cuantitativas Ii: TEMA-1-TC-LIBRO-TEORIA.pdf

38 páginas

He publicado nuevos apuntes de 2º Tecnicas Cuantitativas Ii: TEMA-6-TC-LIBRO-TEORIA.pdf

48 páginas

He publicado nuevos apuntes de 2º Tecnicas Cuantitativas Ii: TEMA-5-TC-LIBRO-TEORIA.pdf

42 páginas

He publicado nuevos apuntes de 2º Tecnicas Cuantitativas Ii: TEMA-4-TC-LIBRO-TEORIA.pdf

30 páginas

He publicado nuevos apuntes de 2º Tecnicas Cuantitativas Ii: TEMA-2-TC-LIBRO-TEORIA.pdf

21 páginas

He publicado nuevos apuntes de 2º Tecnicas Cuantitativas Ii: TEMA-3-TC-LIBRO-TEORIA.pdf

14 páginas

EJERCICIO RESUELTO ACADEMIA UNIVERSITARIA FORMACIÓN MANUEL POZO

2 páginas

EJERCICIO RESUELTO ACADEMIA UNIVERSITARIA FORMACIÓN MANUEL POZO

1 página

EJERCICIO RESUELTO ACADEMIA UNIVERSITARIA FORMACIÓN MANUEL POZO

https://youtu.be/IO8pdjZYsEs

EJERCICIO RESUELTO ACADEMIA UNIVERSITARIA FORMACIÓN MANUEL POZO

https://youtu.be/BWxOFn4V3JM

apuntes

-

Libro práctica

He publicado nuevos apuntes de 2º Tecnicas Cuantitativas Ii: Libro práctica

Ejercicios-tecnicas-tema-3.pdf
Ejercicios-tecnicas-tema-2.pdf
Ejercicios-tecnicas-tema-6.pdf
Ejercicios-tecnicas-tema-4.pdf
Ejercicios-tecnicas-tema-1.pdf
Ejercicios-tecnicas-tem-5.pdf

He publicado nuevos apuntes de 2º Tecnicas Cuantitativas Ii: Apuntes-T4-TCII-1-9.pdf

9 páginas

He publicado nuevos apuntes de 2º Tecnicas Cuantitativas Ii: Apuntes-T4-TCII-10-19.pdf

10 páginas

He publicado nuevos apuntes de 2º Tecnicas Cuantitativas Ii: Apuntes-T4-TCII.pdf

19 páginas

He publicado nuevos ejercicios de 2º Tecnicas Cuantitativas Ii: Ejercicios-tema-1.pdf

3 páginas

He publicado nuevos ejercicios de 2º Tecnicas Cuantitativas Ii: Ejercicios-tema-2.pdf

8 páginas

He publicado nuevos ejercicios de 2º Tecnicas Cuantitativas Ii: Ejercicios-tema-3.pdf

5 páginas

He publicado nuevos ejercicios de 2º Tecnicas Cuantitativas Ii: Ejercicios-tema-5.pdf

10 páginas

He publicado nuevos ejercicios de 2º Tecnicas Cuantitativas Ii: Ejercicios-tema-4.pdf

7 páginas

He publicado nuevos ejercicios de 2º Tecnicas Cuantitativas Ii: Ejercicios-resueltos-contraste-hipotesis.pdf

6 páginas

He publicado nuevos apuntes de 2º Tecnicas Cuantitativas Ii: Propiedades-de-un-estimador.pdf

11 páginas

He publicado nuevos apuntes de 2º Tecnicas Cuantitativas Ii: Inferencia-Estadistica.pdf

13 páginas

He publicado nuevos apuntes de 2º Tecnicas Cuantitativas Ii: Pruebas-de-bondad-de-ajuste.pdf

5 páginas

He publicado nuevos ejercicios de 2º Tecnicas Cuantitativas Ii: Ejercicios-inferencia.pdf

104 páginas

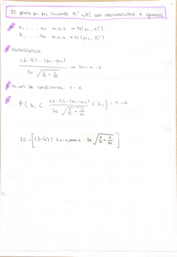
He publicado nuevos ejercicios de 2º Tecnicas Cuantitativas Ii: Ejercicios-estimacion-por-intervalo-de-confianza.pdf

7 páginas

He publicado nuevos examenes de 2º Tecnicas Cuantitativas Ii: Examen Final T.C.2 - Curso 19/20.pdf

5 páginas

He publicado nuevos apuntes de 2º Tecnicas Cuantitativas Ii: relacion-ejercicios-tema-2.pdf

4 páginas

He publicado nuevos apuntes de 2º Tecnicas Cuantitativas Ii: apuntes-tema-2.pdf

5 páginas

He publicado nuevos apuntes de 2º Tecnicas Cuantitativas Ii: TEMA-1-apuntes-y-ejercicios.pdf

22 páginas

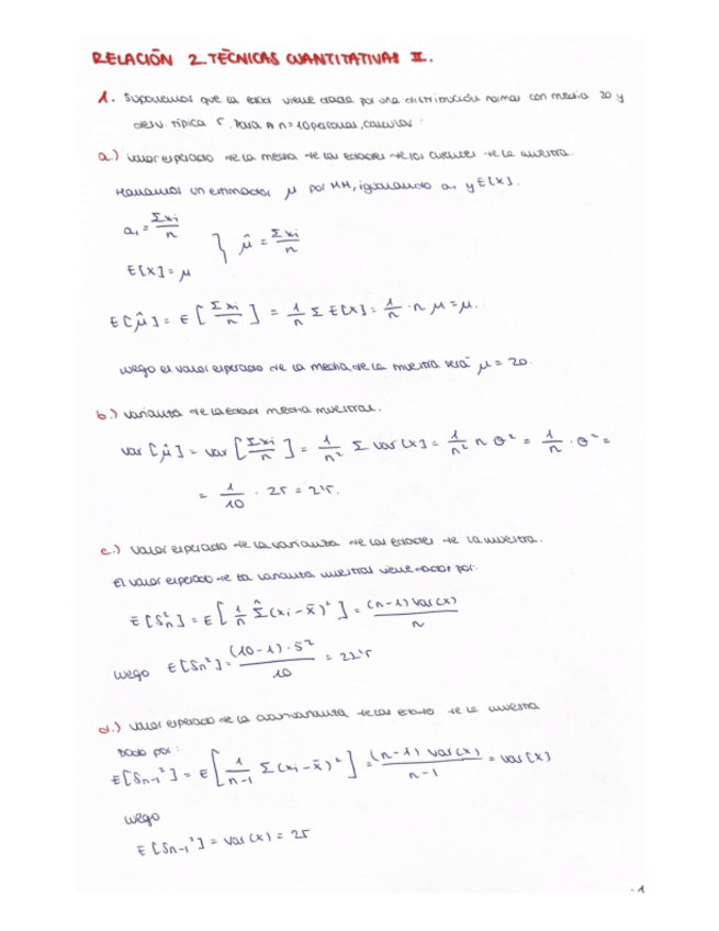
He publicado nuevos apuntes de 2º Tecnicas Cuantitativas Ii: Relacion1.RESUELTA.pdf

10 páginas

He publicado nuevos ejercicios de 2º Tecnicas Cuantitativas Ii: Relacion2.RESUELTA.pdf

8 páginas

apuntes

-

Preguntas prácticas Técnicas Cuantitativas I

He publicado nuevos apuntes de 2º Tecnicas Cuantitativas Ii: Preguntas prácticas Técnicas Cuantitativas I

07QY2rFTTLSUDigMwLzHKw.jpeg
VDcH8jhaTZq7ber4uHzb5A.jpeg

He publicado nuevos apuntes de 2º Tecnicas Cuantitativas Ii: TC-II-Resumen-Teaoria-practica-Examen.pdf

21 páginas

apuntes

-

Ejercicios tema 5 resueltos

He publicado nuevos apuntes de 2º Tecnicas Cuantitativas Ii: Ejercicios tema 5 resueltos

Relacion5.pdf
tema5tc2.pdf

He publicado nuevos apuntes de 2º Tecnicas Cuantitativas Ii: Relacion-Clase-Tema-5.pdf

10 páginas

He publicado nuevos apuntes de 2º Tecnicas Cuantitativas Ii: Relacion-tema-4-completa.pdf

12 páginas

He publicado nuevos apuntes de 2º Tecnicas Cuantitativas Ii: Relacion-Tema-6.pdf

6 páginas

ejercicios

-

Ejercicios tema 4 resueltos

He publicado nuevos ejercicios de 2º Tecnicas Cuantitativas Ii: Ejercicios tema 4 resueltos

ejerciciostema4tc2.pdf
Relacion4.pdf

He publicado nuevos apuntes de 2º Tecnicas Cuantitativas Ii: Ejercicio-resuelto-T1y2.pdf

12 páginas

He publicado nuevos apuntes de 2º Tecnicas Cuantitativas Ii: Ejercicio-resuelto-T3.pdf

4 páginas

He publicado nuevos ejercicios de 2º Tecnicas Cuantitativas Ii: TECNICAS-CUANTITATIVAS-2.pdf

44 páginas

He publicado nuevos apuntes de 2º Tecnicas Cuantitativas Ii: Relacion-ejercicios-tema-6-Tc-II.pdf

7 páginas

He publicado nuevos apuntes de 2º Tecnicas Cuantitativas Ii: ejercicios-tema-5.pdf

6 páginas

He publicado nuevos apuntes de 2º Tecnicas Cuantitativas Ii: formulas-tema-5.pdf

5 páginas

He publicado nuevos apuntes de 2º Tecnicas Cuantitativas Ii: formulas-tema-4.pdf

4 páginas

He publicado nuevos apuntes de 2º Tecnicas Cuantitativas Ii: tablas.pdf

16 páginas

He publicado nuevos apuntes de 2º Tecnicas Cuantitativas Ii: Relacion-ejercicios-tema-4-tc-II.pdf

11 páginas