Tecnicas de Control Industrial

chevron_left
chevron_right
Todo
Apuntes
Prácticas
chevron_left
chevron_right

apuntes

-

Práctica 3

El documento se ha originado usando latex, de ahi su alta calidad tipografica ;) En el ultimo anexo del informe esta el codigo de maltab

INFORMELATEX.pdf
Miniatura no disponible
EJERCICIO1.slx
Miniatura no disponible
EJERCICIO2.slx
Miniatura no disponible
EJERCICIO3.slx
Miniatura no disponible
EJERCICIO4.slx
Miniatura no disponible
EJERCICIO5.slx

apuntes

-

Práctica 2

El documento se ha originado usando latex, de ahi su alta calidad tipografica ;) En el ultimo anexo del informe esta el codigo de maltab

INFORMELATEX.pdf
Miniatura no disponible
EJERCICIO1.slx
Miniatura no disponible
EJERCICIO1.slxc
Miniatura no disponible
EJERCICIO2.slx
Miniatura no disponible
EJERCICIO3.slx
Miniatura no disponible
EJERCICIO4.slx

apuntes

-

Práctica 1

El documento se ha originado usando latex, de ahi su alta calidad tipografica ;) En el ultimo anexo del informe esta el codigo de maltab

INFORMELATEX.pdf
Miniatura no disponible
EJERCICIO3.slx
Miniatura no disponible
EJERCICIO3.slxc
Miniatura no disponible
EJERCICIO4.slx
Miniatura no disponible
EJERCICIO4.slxc
Miniatura no disponible
EJERCICIO5.slx
Anónimo

@Anónimo

He publicado nuevos apuntes de 4º Tecnicas de Control Industrial: Ejemplo-de-linealizacion-para-la-practica-TCLAB.pdf

6 páginas
Anónimo

@Anónimo

practicas

-

PRACTICA(S) 1

He publicado nuevos practicas de 4º Tecnicas de Control Industrial: PRACTICA(S) 1

P1-VERSION-1.pdf
P1-VERSION-3.pdf
P1-VERSION-2.pdf
Capturas-Feedforward.pdf
Miniatura no disponible
control-multivariable.zip
Miniatura no disponible
MATLAB.zip

apuntes

-

resumen formulas

He publicado nuevos apuntes de 4º Tecnicas de Control Industrial: resumen formulas

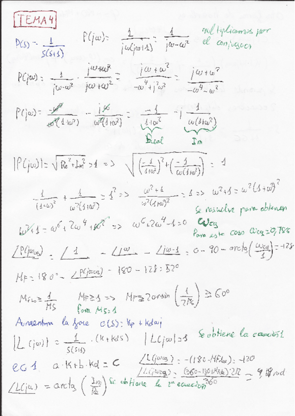
Tema 4-1.pdf
Tema 4-2.pdf
Tema 4-3.pdf
Tema 4-4.pdf
Tema 4-5.pdf
Tema 4-6.pdf

apuntes

-

resumen formulas

He publicado nuevos apuntes de 4º Tecnicas de Control Industrial: resumen formulas

Tema 1-1.pdf
Tema 1-2.pdf
Tema 2-1.pdf
Tema 2-2.pdf
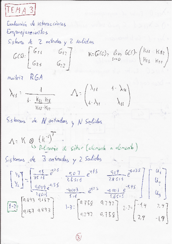
Tema 3-1.pdf
Tema 3-2.pdf
¡Estás al día!

¡Estás al día!

Has visto todos los archivos