TÉCNICAS INSTRUMENTALES APLICADAS A LA BIOTECNOLOGÍA
He publicado nuevos apuntes de 1º TÉCNICAS INSTRUMENTALES APLICADAS A LA BIOTECNOLOGÍA: Tema-2-Componentes-de-los-instrumentos-para-espectroscopia-optica.pdf
He publicado nuevos apuntes de 1º TÉCNICAS INSTRUMENTALES APLICADAS A LA BIOTECNOLOGÍA: Tema-1-Absorcion-de-la-luz.pdf
apuntes
-
Resúmenes de Técnicas instrumentales
He preparado estos resúmenes muy completos y seguro que servirán de ayuda!
He publicado nuevos apuntes de 1º TÉCNICAS INSTRUMENTALES APLICADAS A LA BIOTECNOLOGÍA: Tema-1-Tecnicas-Instrumentales.pdf
He publicado nuevos apuntes de 1º TÉCNICAS INSTRUMENTALES APLICADAS A LA BIOTECNOLOGÍA: Tema-2-apuntes.pdf
Resumen de lo fundamental del tema 8 de técnicas instrumentales, RMN resonancia magnética nuclear
Demostraciones del 2º parcial de técnicas instrumentales (tema 6,7,8 y 9) con explicación
ejercicios
-
Ejercicios de técnicas intrumentales resueltos
Ejercicios resueltos de técnicas instrumentales Tema 1,2,3,4,5,6,7 y 9
Son preguntas susceptibles de caer, que resumen loa contenidos más esenciales. (No quiere decir que pregunten esto, pero sí es posible que caigan cosas similares)
He publicado nuevos apuntes de 1º TÉCNICAS INSTRUMENTALES APLICADAS A LA BIOTECNOLOGÍA: Problemas-resueltos.pdf
He publicado nuevos apuntes de 1º TÉCNICAS INSTRUMENTALES APLICADAS A LA BIOTECNOLOGÍA: Ejercicios-2025.pdf
He publicado nuevos apuntes de 1º TÉCNICAS INSTRUMENTALES APLICADAS A LA BIOTECNOLOGÍA: Apuntes-2025.pdf
He publicado nuevos apuntes de 1º TÉCNICAS INSTRUMENTALES APLICADAS A LA BIOTECNOLOGÍA: TEMA-3-TIL.pdf
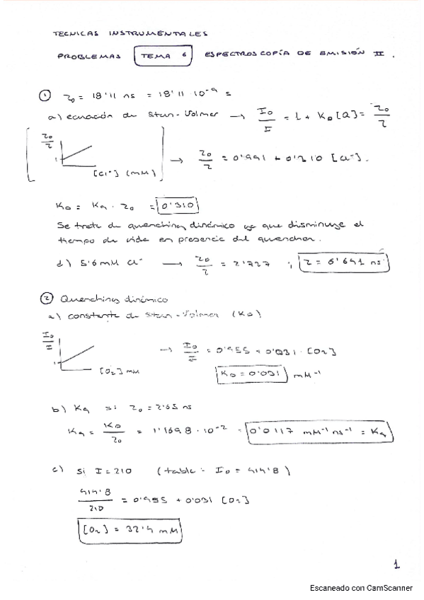
He publicado nuevos apuntes de 1º TÉCNICAS INSTRUMENTALES APLICADAS A LA BIOTECNOLOGÍA: TEMA-6-TIL.pdf
He publicado nuevos apuntes de 1º TÉCNICAS INSTRUMENTALES APLICADAS A LA BIOTECNOLOGÍA: TEMA-8-TIL.pdf
He publicado nuevos apuntes de 1º TÉCNICAS INSTRUMENTALES APLICADAS A LA BIOTECNOLOGÍA: TEMA-2-TIL.pdf
He publicado nuevos apuntes de 1º TÉCNICAS INSTRUMENTALES APLICADAS A LA BIOTECNOLOGÍA: TEMA-1-TIL.pdf
He publicado nuevos apuntes de 1º TÉCNICAS INSTRUMENTALES APLICADAS A LA BIOTECNOLOGÍA: TEMA-4-TIL.pdf
He publicado nuevos apuntes de 1º TÉCNICAS INSTRUMENTALES APLICADAS A LA BIOTECNOLOGÍA: TEMA-7-TIL.pdf
He publicado nuevos apuntes de 1º TÉCNICAS INSTRUMENTALES APLICADAS A LA BIOTECNOLOGÍA: TEMA-5-TIL.pdf
He publicado nuevos apuntes de 1º TÉCNICAS INSTRUMENTALES APLICADAS A LA BIOTECNOLOGÍA: TEMA-9-TIL.pdf
He publicado nuevos practicas de 1º TÉCNICAS INSTRUMENTALES APLICADAS A LA BIOTECNOLOGÍA: PRACTICA-4-TIAB.pdf
He publicado nuevos practicas de 1º TÉCNICAS INSTRUMENTALES APLICADAS A LA BIOTECNOLOGÍA: PRACTICA-3-TIAB.pdf
He publicado nuevos practicas de 1º TÉCNICAS INSTRUMENTALES APLICADAS A LA BIOTECNOLOGÍA: PRACTICA-2-TIAB.pdf
He publicado nuevos practicas de 1º TÉCNICAS INSTRUMENTALES APLICADAS A LA BIOTECNOLOGÍA: PRACTICA-1-TIAB.pdf
apuntes
-
Relaciones de ejercicios de TÉCNICAS INSTRUMENTALES
He publicado nuevos apuntes de 1º TÉCNICAS INSTRUMENTALES APLICADAS A LA BIOTECNOLOGÍA: Relaciones de ejercicios de TÉCNICAS INSTRUMENTALES
apuntes
-
Apuntes Técnicas
Hay un error en la página de Fundamento II. Según Teresa, variamos la frecuencia, no el campo magnético.
He publicado nuevos apuntes de 1º TÉCNICAS INSTRUMENTALES APLICADAS A LA BIOTECNOLOGÍA: esquemas-temas.pdf
He publicado nuevos ejercicios de 1º TÉCNICAS INSTRUMENTALES APLICADAS A LA BIOTECNOLOGÍA: SOLUCIONES-scaperoom-tecnicas.pdf
apuntes
-
Apuntes
He publicado nuevos apuntes de 1º TÉCNICAS INSTRUMENTALES APLICADAS A LA BIOTECNOLOGÍA: Apuntes
apuntes
-
Apuntes temas 1-8
He publicado nuevos apuntes de 1º TÉCNICAS INSTRUMENTALES APLICADAS A LA BIOTECNOLOGÍA: Apuntes temas 1-8
ejercicios
-
Relaciones de Problemas - 2º parcial
He publicado nuevos ejercicios de 1º TÉCNICAS INSTRUMENTALES APLICADAS A LA BIOTECNOLOGÍA: Relaciones de Problemas - 2º parcial
apuntes
-
Apuntes Técnicas Instrumentales
He publicado nuevos apuntes de 1º TÉCNICAS INSTRUMENTALES APLICADAS A LA BIOTECNOLOGÍA: Apuntes Técnicas Instrumentales
apuntes
-
Resúmenes TIAB
He publicado nuevos apuntes de 1º TÉCNICAS INSTRUMENTALES APLICADAS A LA BIOTECNOLOGÍA: Resúmenes TIAB
He publicado nuevos apuntes de 1º TÉCNICAS INSTRUMENTALES APLICADAS A LA BIOTECNOLOGÍA: Apuntes-T5.pdf
He publicado nuevos apuntes de 1º TÉCNICAS INSTRUMENTALES APLICADAS A LA BIOTECNOLOGÍA: espectroscopia-de-resonancia-magnetica-nuclear-RMN-Apuntes-Buenos.pdf
He publicado nuevos ejercicios de 1º TÉCNICAS INSTRUMENTALES APLICADAS A LA BIOTECNOLOGÍA: actividad-RMN-resuelta.pdf
apuntes
-
Apuntes Técnicas
He publicado nuevos apuntes de 1º TÉCNICAS INSTRUMENTALES APLICADAS A LA BIOTECNOLOGÍA: Apuntes Técnicas
He publicado nuevos apuntes de 1º TÉCNICAS INSTRUMENTALES APLICADAS A LA BIOTECNOLOGÍA: TECNICAS-apuntes-buenos-1-parcial.pdf
ejercicios
-
Relaciones resueltas
He publicado nuevos ejercicios de 1º TÉCNICAS INSTRUMENTALES APLICADAS A LA BIOTECNOLOGÍA: Relaciones resueltas
apuntes
-
Apuntes Completos
Curso 22/23
He publicado nuevos ejercicios de 1º TÉCNICAS INSTRUMENTALES APLICADAS A LA BIOTECNOLOGÍA: Problemas-Tema-1-Tecnicas-Instrumentales.pdf
He publicado nuevos apuntes de 1º TÉCNICAS INSTRUMENTALES APLICADAS A LA BIOTECNOLOGÍA: TEMA-4-TECNICAS-INSTRU.pdf
INICIO DE CURSO TÉCNICAS INSTRUMENTALES APLICADAS
ACADEMIA UNIVERSITARIA INICIO DE CURSO TÉCNICAS INSTRUMENTALES APLICADAS Resolución paso a paso de todos tus ejercicios y exámenes de años anteriores. Clases online y presenciales. Horario de mañana y tarde.

He publicado nuevos apuntes de 1º TÉCNICAS INSTRUMENTALES APLICADAS A LA BIOTECNOLOGÍA: RESUMEN-COMPLETO-TECNICAS.pdf
He publicado nuevos practicas de 1º TÉCNICAS INSTRUMENTALES APLICADAS A LA BIOTECNOLOGÍA: Cuaderno-de-practicas-Resultados-y-calculos.pdf
He publicado nuevos practicas de 1º TÉCNICAS INSTRUMENTALES APLICADAS A LA BIOTECNOLOGÍA: Practica-1-TIAB.pdf
apuntes
-
Teoría segundo parcial
He publicado nuevos apuntes de 1º TÉCNICAS INSTRUMENTALES APLICADAS A LA BIOTECNOLOGÍA: Teoría segundo parcial
He publicado nuevos examenes de 1º TÉCNICAS INSTRUMENTALES APLICADAS A LA BIOTECNOLOGÍA: Examen-segundo-parcial.pdf
ejercicios
-
Relaciones Ejercicios Tecnicas Instrumentales
He publicado nuevos ejercicios de 1º TÉCNICAS INSTRUMENTALES APLICADAS A LA BIOTECNOLOGÍA: Relaciones Ejercicios Tecnicas Instrumentales
He publicado nuevos apuntes de 1º TÉCNICAS INSTRUMENTALES APLICADAS A LA BIOTECNOLOGÍA: Formulas-con-desarrollo-TIABT.pdf
apuntes
-
Apuntes Técnicas instrumentales
He publicado nuevos apuntes de 1º TÉCNICAS INSTRUMENTALES APLICADAS A LA BIOTECNOLOGÍA: Apuntes Técnicas instrumentales
ejercicios
-
Relaciones
He publicado nuevos ejercicios de 1º TÉCNICAS INSTRUMENTALES APLICADAS A LA BIOTECNOLOGÍA: Relaciones
He publicado nuevos practicas de 1º TÉCNICAS INSTRUMENTALES APLICADAS A LA BIOTECNOLOGÍA: libro-practicas-hecho.pdf
He publicado nuevos examenes de 1º TÉCNICAS INSTRUMENTALES APLICADAS A LA BIOTECNOLOGÍA: examen-practicas-2023.pdf
ejercicios
-
Ejercicios
He publicado nuevos ejercicios de 1º TÉCNICAS INSTRUMENTALES APLICADAS A LA BIOTECNOLOGÍA: Ejercicios
He publicado nuevos examenes de 1º TÉCNICAS INSTRUMENTALES APLICADAS A LA BIOTECNOLOGÍA: PARCIAL-TECNICAS-INSTRUMENTALES.pdf
apuntes
-
Apuntes temas 1 y 2
He publicado nuevos apuntes de 1º TÉCNICAS INSTRUMENTALES APLICADAS A LA BIOTECNOLOGÍA: Apuntes temas 1 y 2