Tecnología de Fabricación

Todo
Apuntes
Ejercicios
Exámenes
Otros
Prácticas
publication
Test
Trabajos
chevron_left
chevron_right

apuntes

-

Test con todas las opciones

He publicado nuevos apuntes de 3º Tecnología de Fabricación: Test con todas las opciones

TEST-tema-1.pdf
Tema-2-resuelto.pdf
Tema-3-resuelto.pdf
Tema-7-resuelto.pdf
Tema-6-resuelto.pdf
Tema-5-resuelto.pdf

He publicado nuevos ejercicios de 1º Tecnología de Fabricación: EJERCICIO-AULA-1-2526.pdf

2 páginas

He publicado nuevos apuntes de 2º Tecnología de Fabricación: 2.2-Sistemas-de-medicion-y-verificacion.pdf

4 páginas

He publicado nuevos apuntes de 2º Tecnología de Fabricación: 2.1-Atributos-geometricos.pdf

4 páginas

apuntes

-

Teoria, Problemas, cuestiones y tests

He publicado nuevos apuntes de 2º Tecnología de Fabricación: Teoria, Problemas, cuestiones y tests

Cuesiotnes-y-tests-fabri.pdf
Problemas-Fabri.pdf
Teoria-temas-1-8-fabri.pdf

He publicado nuevos apuntes de 2º Tecnología de Fabricación: tema-1.-Introduccion.pdf

3 páginas

ejercicios

-

Ejercicios

Todas las relaciones resueltas

P7.-Deformacion-Plastica.pdf
P4.-Programacion-de-Torno.pdf
P6.-Programacion-Avanzada.pdf
P1.-Teorias-de-Corte.pdf
P5.-Programacion-de-Fresadora.pdf
P3.-Introduccion-Programacion.pdf

apuntes

-

Resúmenes

Todos los temas bien resumidos

Resumen-IV.-Conformado-por-Deformacion-Plastica.pdf
Resumen-I.-Fundamentos-del-Mecanizado.pdf
Resumen-II.-Mecanizado-por-CNC.pdf
Resumen-III.-Fabricacion-Aditiva.pdf

apuntes

-

Teoría Tecnología de Fabricación

He publicado nuevos apuntes de 2º Tecnología de Fabricación: Teoría Tecnología de Fabricación

Tema-1.-Introduccion-a-la-Fabricacion.pdf
Tema-2.-Tecnicas-de-Medicion-y-Verificacion.pdf
Tema-3.-Fundamentos-de-la-Fundicion-de-Metales.pdf
Tema-4.-Fundicion-en-Molde-Desechable.pdf
Tema-5.-Fundicion-en-Molde-Permanente.pdf
Tema-6.-Introduccion-al-Comportamiento-Plastico-de-Metales.pdf

ejercicios

-

Relaciones Ejercicios

He publicado nuevos ejercicios de 3º Tecnología de Fabricación: Relaciones Ejercicios

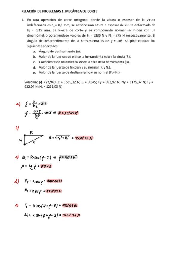
Relacion-1-Mecanica-de-Corte.pdf
Relacion-3-Tecnologia-De-Fabricacion-CN.pdf
Relacion-4-Tecnologia-de-Fabricacion-Torno.pdf
Relacion-5-Tecnologia-Fabricacion-Fresa.pdf

He publicado nuevos ejercicios de 4º Tecnología de Fabricación: RELACION-3.pdf

14 páginas

He publicado nuevos ejercicios de 4º Tecnología de Fabricación: RELACION-2-COMPLETA.pdf

23 páginas

He publicado nuevos ejercicios de 4º Tecnología de Fabricación: RELACION-1-COMPLETA.pdf

21 páginas
Anónimo

@Anónimo

He publicado nuevos ejercicios de 4º Tecnología de Fabricación: R3-Problemas-resueltos-intro-CNC.pdf

10 páginas

He publicado nuevos apuntes de 3º Tecnología de Fabricación: TEMA-17-ResumenTest.pdf

14 páginas

He publicado nuevos apuntes de 3º Tecnología de Fabricación: TEMA-16-ResumenTest.pdf

12 páginas

He publicado nuevos apuntes de 3º Tecnología de Fabricación: TEMA-15-ResumenTest.pdf

18 páginas

He publicado nuevos apuntes de 3º Tecnología de Fabricación: TEMA-14-ResumenTest.pdf

12 páginas

He publicado nuevos apuntes de 3º Tecnología de Fabricación: Tema13-ResumenTest.pdf

10 páginas

He publicado nuevos apuntes de 3º Tecnología de Fabricación: Tema-12-ResumenTest.pdf

12 páginas

Repaso para 2º Parcial

13 páginas

Resumen del tema, con 30 preguntas tipo test. Hecho con IA, pero revisado.

12 páginas

Es un resumen corto, con 25 preguntas tipo test resueltas, mezclando algunas de otros años y otras nuevas. Hecho con IA pero revisado.

12 páginas

He publicado nuevos ejercicios de 3º Tecnología de Fabricación: EJERCICIOS-DE-TODOS-LOS-TEMAS.pdf

36 páginas

He publicado nuevos examenes de 3º Tecnología de Fabricación: GITI-2425-2C-53771988.pdf

4 páginas
Anónimo

@Anónimo

He publicado nuevos ejercicios de 4º Tecnología de Fabricación: Rel-2-Problema-9.-Resuelto.pdf

3 páginas
Anónimo

@Anónimo

He publicado nuevos ejercicios de 4º Tecnología de Fabricación: Rel-2-Problema-5.-Resuelto.pdf

2 páginas
Anónimo

@Anónimo

He publicado nuevos ejercicios de 4º Tecnología de Fabricación: Rel-2-Problema-4.-Resuelto.pdf

3 páginas
Anónimo

@Anónimo

He publicado nuevos ejercicios de 4º Tecnología de Fabricación: Rel-2-Problema-3.-Resuelto.pdf

2 páginas
Anónimo

@Anónimo

He publicado nuevos ejercicios de 4º Tecnología de Fabricación: Rel-1-Problema-12.-Resuelto.pdf

2 páginas
Anónimo

@Anónimo

He publicado nuevos ejercicios de 4º Tecnología de Fabricación: Rel-1-Problema-10.-Resuelto.pdf

3 páginas
Anónimo

@Anónimo

He publicado nuevos ejercicios de 4º Tecnología de Fabricación: Rel-1-Problema-6.-Resuelto.pdf

4 páginas
Anónimo

@Anónimo

He publicado nuevos ejercicios de 4º Tecnología de Fabricación: Rel-1-Problema-5.-Resuelto.pdf

6 páginas
Anónimo

@Anónimo

He publicado nuevos ejercicios de 4º Tecnología de Fabricación: Rel-1-Problema-2.-Resuelto.pdf

12 páginas
Anónimo

@Anónimo

He publicado nuevos apuntes de 3º Tecnología de Fabricación: Practica-3-Moldflow.pdf

10 páginas
Anónimo

@Anónimo

He publicado nuevos apuntes de 3º Tecnología de Fabricación: Practica-1-Metrologia.pdf

2 páginas

apuntes

-

Resumenes Temas

Resumen amplio de las diapositivas con imágenes y explicaciones de clase

10.pdf
9.3.pdf
9.2.pdf
9.1.pdf
8.pdf
7.pdf

He publicado nuevos apuntes de 2º Tecnología de Fabricación: Cuestiones-Teoricas-Anos-Anteriores.pdf

7 páginas

apuntes

-

Teoría para problemas

He publicado nuevos apuntes de 2º Tecnología de Fabricación: Teoría para problemas

Teoria-Para-Ejercicios-Mecanizado.pdf
Teoria-Para-Ejercicios-Forja-Estampacion-Y-Laminacion.pdf

He publicado nuevos apuntes de 2º Tecnología de Fabricación: Uniones-Test.pdf

1 página

He publicado nuevos apuntes de 2º Tecnología de Fabricación: Tema-13.-Moldeo-y-Conformado-de-Plasticos-y-Materiales-Compuestos.pdf

12 páginas

He publicado nuevos apuntes de 2º Tecnología de Fabricación: Tema-12.-Procesos-de-Mecanizado-con-Abrasivos.pdf

6 páginas

He publicado nuevos apuntes de 2º Tecnología de Fabricación: Tema-11.-Procesos-de-Mecanizado.pdf

8 páginas

He publicado nuevos apuntes de 2º Tecnología de Fabricación: Tema-10.-Fundamentos-del-Mecanizado-por-Arranque-de-Virutas.pdf

6 páginas

He publicado nuevos apuntes de 2º Tecnología de Fabricación: Tema-9.-Conformado-de-Chapa-Metalica.pdf

12 páginas

He publicado nuevos apuntes de 2º Tecnología de Fabricación: Tema-8.-Extrusion-y-Estirado.pdf

8 páginas

He publicado nuevos apuntes de 2º Tecnología de Fabricación: Tema-7.-Laminacion.pdf

4 páginas

He publicado nuevos apuntes de 2º Tecnología de Fabricación: Tema-6.-Forja-y-Estampacion.pdf

8 páginas

He publicado nuevos apuntes de 2º Tecnología de Fabricación: Tema-4.-Procesos-de-Fundicion-de-Metales.pdf

10 páginas

He publicado nuevos apuntes de 2º Tecnología de Fabricación: Tema-5.-Fundamentos-del-Formado-de-Metales.pdf

4 páginas

He publicado nuevos apuntes de 2º Tecnología de Fabricación: Tema-3.-Fundamentos-de-la-Fundicion-de-Metales.pdf

4 páginas

He publicado nuevos apuntes de 2º Tecnología de Fabricación: Tema-2.-Medicion-e-Inspeccion.pdf

5 páginas

He publicado nuevos apuntes de 2º Tecnología de Fabricación: Tema-1.-Dimensiones-Tolerancias-y-Superficies.pdf

3 páginas

He publicado nuevos apuntes de 2º Tecnología de Fabricación: Tema-14.-Ensamblaje-Mecanico.pdf

7 páginas

He publicado nuevos apuntes de 2º Tecnología de Fabricación: RESOLUCION-DE-EJERCICIOS.pdf

6 páginas

ejercicios

-

Ejercicios

He publicado nuevos ejercicios de 2º Tecnología de Fabricación: Ejercicios

Mecanizado-Wuolah.pdf
Plasticos-Test.pdf
Ejercicios-de-Examen-Wuolah.pdf
Extrusion-y-Estirado-Wuolah.pdf
Fresado-Wuoah.pdf

He publicado nuevos apuntes de 2º Tecnología de Fabricación: Apuntes-para-el-Examen.pdf

1 página

ejercicios

-

Autoevaluaciones

He publicado nuevos ejercicios de 2º Tecnología de Fabricación: Autoevaluaciones

AET-CAP-45-2.pdf
AEP-CAP-18-1.pdf
AEP-CAP-18-2.pdf
AEP-CAP-18-3-Wuolah.pdf
AEP-CAP-19-1.pdf
AEP-CAP-19-2.pdf

He publicado nuevos apuntes de 3º Tecnología de Fabricación: FORMULARIO.pdf

Miniatura no disponible
4 páginas

He publicado nuevos apuntes de 3º Tecnología de Fabricación: Resumen-TEORIA-por-temas.pdf

Miniatura no disponible
5 páginas