Tecnología de Fabricación

chevron_left
chevron_right
Todo
Apuntes
Ejercicios
Exámenes
Test
Trabajos
chevron_left
chevron_right

He publicado nuevos test de 2º Tecnología de Fabricación: TEST-3.pdf

9 páginas

Recopilacion ejercicios de examen tema 2

4 páginas

He publicado nuevos test de 2º Tecnología de Fabricación: TEST-1.pdf

3 páginas

He publicado nuevos apuntes de 2º Tecnología de Fabricación: 2.2-Sistemas-de-medicion-y-verificacion.pdf

4 páginas

He publicado nuevos apuntes de 2º Tecnología de Fabricación: 2.1-Atributos-geometricos.pdf

4 páginas

apuntes

-

Teoria, Problemas, cuestiones y tests

He publicado nuevos apuntes de 2º Tecnología de Fabricación: Teoria, Problemas, cuestiones y tests

Cuestiones-y-tests-fabri.pdf.pdf
Problemas-Fabri.pdf
Teoria-temas-1-8-fabri.pdf

He publicado nuevos apuntes de 2º Tecnología de Fabricación: tema-1.-Introduccion.pdf

3 páginas

apuntes

-

Teoría Tecnología de Fabricación

He publicado nuevos apuntes de 2º Tecnología de Fabricación: Teoría Tecnología de Fabricación

Tema-1.-Introduccion-a-la-Fabricacion.pdf
Tema-2.-Tecnicas-de-Medicion-y-Verificacion.pdf
Tema-3.-Fundamentos-de-la-Fundicion-de-Metales.pdf
Tema-4.-Fundicion-en-Molde-Desechable.pdf
Tema-5.-Fundicion-en-Molde-Permanente.pdf
Tema-6.-Introduccion-al-Comportamiento-Plastico-de-Metales.pdf

apuntes

-

Resumenes Temas

Resumen amplio de las diapositivas con imágenes y explicaciones de clase

10.pdf
9.3.pdf
9.2.pdf
9.1.pdf
8.pdf
7.pdf

He publicado nuevos apuntes de 2º Tecnología de Fabricación: Cuestiones-Teoricas-Anos-Anteriores.pdf

7 páginas

apuntes

-

Teoría para problemas

He publicado nuevos apuntes de 2º Tecnología de Fabricación: Teoría para problemas

Teoria-Para-Ejercicios-Mecanizado.pdf
Teoria-Para-Ejercicios-Forja-Estampacion-Y-Laminacion.pdf

He publicado nuevos apuntes de 2º Tecnología de Fabricación: Uniones-Test.pdf

1 página

He publicado nuevos apuntes de 2º Tecnología de Fabricación: Tema-13.-Moldeo-y-Conformado-de-Plasticos-y-Materiales-Compuestos.pdf

12 páginas

He publicado nuevos apuntes de 2º Tecnología de Fabricación: Tema-12.-Procesos-de-Mecanizado-con-Abrasivos.pdf

6 páginas

He publicado nuevos apuntes de 2º Tecnología de Fabricación: Tema-11.-Procesos-de-Mecanizado.pdf

8 páginas

He publicado nuevos apuntes de 2º Tecnología de Fabricación: Tema-10.-Fundamentos-del-Mecanizado-por-Arranque-de-Virutas.pdf

6 páginas

He publicado nuevos apuntes de 2º Tecnología de Fabricación: Tema-9.-Conformado-de-Chapa-Metalica.pdf

12 páginas

He publicado nuevos apuntes de 2º Tecnología de Fabricación: Tema-8.-Extrusion-y-Estirado.pdf

8 páginas

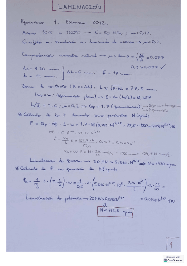
He publicado nuevos apuntes de 2º Tecnología de Fabricación: Tema-7.-Laminacion.pdf

4 páginas

He publicado nuevos apuntes de 2º Tecnología de Fabricación: Tema-6.-Forja-y-Estampacion.pdf

8 páginas

He publicado nuevos apuntes de 2º Tecnología de Fabricación: Tema-5.-Fundamentos-del-Formado-de-Metales.pdf

4 páginas

He publicado nuevos apuntes de 2º Tecnología de Fabricación: Tema-4.-Procesos-de-Fundicion-de-Metales.pdf

10 páginas

He publicado nuevos apuntes de 2º Tecnología de Fabricación: Tema-3.-Fundamentos-de-la-Fundicion-de-Metales.pdf

4 páginas

He publicado nuevos apuntes de 2º Tecnología de Fabricación: Tema-2.-Medicion-e-Inspeccion.pdf

5 páginas

He publicado nuevos apuntes de 2º Tecnología de Fabricación: Tema-1.-Dimensiones-Tolerancias-y-Superficies.pdf

3 páginas

He publicado nuevos apuntes de 2º Tecnología de Fabricación: Tema-14.-Ensamblaje-Mecanico.pdf

7 páginas

He publicado nuevos apuntes de 2º Tecnología de Fabricación: RESOLUCION-DE-EJERCICIOS.pdf

6 páginas

ejercicios

-

Ejercicios

He publicado nuevos ejercicios de 2º Tecnología de Fabricación: Ejercicios

Mecanizado-Wuolah.pdf
Plasticos-Test.pdf
Ejercicios-de-Examen-Wuolah.pdf
Extrusion-y-Estirado-Wuolah.pdf
Fresado-Wuoah.pdf

He publicado nuevos apuntes de 2º Tecnología de Fabricación: Apuntes-para-el-Examen.pdf

1 página

ejercicios

-

Autoevaluaciones

He publicado nuevos ejercicios de 2º Tecnología de Fabricación: Autoevaluaciones

AET-CAP-45-2.pdf
AEP-CAP-18-1.pdf
AEP-CAP-18-2.pdf
AEP-CAP-18-3-Wuolah.pdf
AEP-CAP-19-1.pdf
AEP-CAP-19-2.pdf

He publicado nuevos ejercicios de 2º Tecnología de Fabricación: Cuestiones-y-problemas.pdf

38 páginas

He publicado nuevos apuntes de 2º Tecnología de Fabricación: Formulario.pdf

6 páginas
Anónimo

@Anónimo

apuntes

-

Test Teoría de Examen

Test por temas con preguntas de exámenes de otros años. Primero las preguntas con las opciones y después con la respuesta correcta señalada.

TestTEMA11.pdf
TestTEMA13.pdf
TestTEMA2.pdf
TestTEMA3.pdf
TestTEMA4.pdf
TestTEMA5.pdf

He publicado nuevos apuntes de 2º Tecnología de Fabricación: Cilindrado-2a-Convo-24.pdf

1 página

Corregido por el profesor

2 páginas

ejercicios

-

Formulario completo, problemas y cuestiones resueltas

Lo necesario para entender y aprobar la asignatura

Problemas-Para-Aprobar.pdf
Formulario-con-Explicaciones.pdf
Cuestiones-Resueltas.pdf

He publicado nuevos examenes de 2º Tecnología de Fabricación: Falso-Final-Mayo-2025.pdf

2 páginas

He publicado nuevos apuntes de 2º Tecnología de Fabricación: FORMULARIOFABRI.pdf

2 páginas

apuntes

-

TEMAS TECNOLOGÍA DE FABRICACIÓN

Temas completos con imágenes

TEMA 17_UNIONES.pdf
T. 14, 15 y 16_CONFORMADO MATERIALES POLIMÉRICOS Y COMPUESTOS.pdf
TEMA 13_MECANIZADO Y ACABADO CON ABRASIVOS.pdf
TEMA 12(II)_PROCESOS CON MOVIMIENTO PRINCIPAL RECTILÍNEO.pdf
TEMA 12(I)_FRESADO.pdf
TEMA 11_TORNEADO.pdf

apuntes

-

Ejer para Examen

He publicado nuevos apuntes de 2º Tecnología de Fabricación: Ejer para Examen

1aConvo23-24-Resuelto.pdf
Problemas-repaso-convo-1a-parte.pdf
Problemas-repaso-convo-2a-parte.pdf

He publicado nuevos examenes de 2º Tecnología de Fabricación: TESTS-RESUELTOS-de-EXAMENES.pdf

29 páginas

apuntes

-

Resúmenes con lo básico de cada tema

He publicado nuevos apuntes de 2º Tecnología de Fabricación: Resúmenes con lo básico de cada tema

Lo-basico-Tema-2.pdf
Lo-basico-Tema-3.pdf
Lo-basico-Tema-4.pdf
Lo-basico-Tema-5.pdf
Lo-basico-Tema-6.pdf
Lo-basico-Tema-7.1..pdf

apuntes

-

Ejercicios RESUELTOS de cada bloque

He publicado nuevos apuntes de 2º Tecnología de Fabricación: Ejercicios RESUELTOS de cada bloque

Ejs-Conformado--Forja.pdf
Ejs-Fresado.pdf
Ejs-Laminacion.pdf
Ejs-Taladrado.pdf
Ejs-Torneado.pdf

examenes

-

PROBLEMAS por TIPO

He publicado nuevos examenes de 2º Tecnología de Fabricación: PROBLEMAS por TIPO

Forja-y-Estampacion.pdf
Laminacion.pdf
Torneado.pdf
Fresado.pdf

apuntes

-

Toda la TEORÍA RESUMIDA

He publicado nuevos apuntes de 2º Tecnología de Fabricación: Toda la TEORÍA RESUMIDA

Tema-10-Herramientas-y-Flujos-de-Corte.pdf
Tema-5-Fundicion-en-Molde-Permanente.pdf
Tema-6-Proceso-de-Conformado-Plastico-de-Metales.pdf
Tema-7.2-Laminacion.pdf
Tema-1-2-Intro-Atributos-Geometricos.pdf
Tema-8-Conformado-de-Chapa.pdf

He publicado nuevos ejercicios de 2º Tecnología de Fabricación: Problemas-fresado.pdf

4 páginas

He publicado nuevos apuntes de 2º Tecnología de Fabricación: Resumen-por-temas.pdf

21 páginas

He publicado nuevos apuntes de 2º Tecnología de Fabricación: Resumen-defectos-por-proceso.pdf

1 página

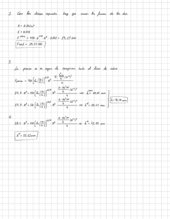
He publicado nuevos examenes de 2º Tecnología de Fabricación: Problema-1-primera-convocatoria-2024.pdf

2 páginas

He publicado nuevos examenes de 2º Tecnología de Fabricación: Problema-2-Primera-Convocatoria-2024.pdf

2 páginas

apuntes

-

Resumen Temas

He publicado nuevos apuntes de 2º Tecnología de Fabricación: Resumen Temas

Fabri-2.pdf
Fabri-3.pdf
Fabri-4.pdf
Fabri-5.pdf
Fabri-6.pdf
Fabri-7.pdf