chevron_left
chevron_right
Todo
Apuntes
Ejercicios
Exámenes
Prácticas
chevron_left
chevron_right

examenes

-

Exámenes unidos de muchos años

muchos examenes con todas las preguntas posibles del examen de teoria

EXAMENES.pdf

He publicado nuevos apuntes de 1º Tecnologia de la fabricacion: 2024-06-10-TF-Examen-practica-PARTE-A.TIPO-A.pdf

2 páginas

He publicado nuevos apuntes de 1º Tecnologia de la fabricacion: 2024-06-10-TF-Examenteoriatipo-A.pdf

5 páginas

apuntes

-

Resumen códigos CNC

He publicado nuevos apuntes de 1º Tecnologia de la fabricacion: Resumen códigos CNC

Miniatura no disponible
https://wuolah.com/apuntes/tecnologia-de-la-fabricacion/10592852?utm_source=wuolah&utm_medium=referral&utm_content=document&utm_campaign=share-copy&utm_term=modal-share-copy

He publicado nuevos examenes de 1º Tecnologia de la fabricacion: Práctica(Exámenes resueltos+teoría).pdf

69 páginas

He publicado nuevos examenes de 1º Tecnologia de la fabricacion: Tests teoria resueltos TODOS(2023-2022-2018-2017-2016).pdf

51 páginas

He publicado nuevos apuntes de 1º Tecnologia de la fabricacion: tf-tema-4-anexos-tema-4.pdf

32 páginas

apuntes

-

2024 RESUELTOS TODOS LOS TEST DE TEORIA Y PRACTICAS

He publicado nuevos apuntes de 1º Tecnologia de la fabricacion: 2024 RESUELTOS TODOS LOS TEST DE TEORIA Y PRACTICAS

TODOS-LOS-TEMAS-TF-PARA-IMPRIMIR.pdf
TODOS-LOS-TEST-TEORIA-RESUELTOS.pdf
TEST-Y-PREGUNTAS-PRACTICAS-RESUELTO.pdf

He publicado nuevos apuntes de 1º Tecnologia de la fabricacion: Resumen-Practicas.pdf

5 páginas

apuntes

-

Resumenes

He publicado nuevos apuntes de 1º Tecnologia de la fabricacion: Resumenes

Tema-2.pdf
Tema-3.pdf
Tema-4.pdf
Tema-5.pdf
Tema-6.pdf
Anónimo

@Anónimo

He publicado nuevos apuntes de 1º Tecnologia de la fabricacion: Desarrollo-formulas-de-mecanizado.pdf

2 páginas
Anónimo

@Anónimo

apuntes

-

APUNTES Y RESUMEN TF

He publicado nuevos apuntes de 1º Tecnologia de la fabricacion: APUNTES Y RESUMEN TF

Resumen-de-conceptos-TF-tema-6.pdf
Resumen-de-conceptos-TF-tema-5.pdf
Resumen-de-conceptos-TF-dibujos-y-formulas-costes.pdf
APUNTES-tecnologia.pdf
Resumen-de-conceptos-TF-tema-4.pdf
Resumen-de-conceptos-TF-tema-1-2y3.pdf
Anónimo

@Anónimo

practicas

-

CUESTIONARIOS PRACTICAS RESUELTOS

He publicado nuevos practicas de 1º Tecnologia de la fabricacion: CUESTIONARIOS PRACTICAS RESUELTOS

CUESTIONARIO-IMPRESORA-3D-2.pdf
CUESTIONARIO-TORNO-2.pdf
CUESTIONARIO-FABRICACION-BASICA.pdf
CUESTIONARIO-FRESADORA-2.pdf
CUESTIONARIO-IMPRESORA-3D-1.pdf
CUESTIONARIO-TORNO-1.pdf
Anónimo

@Anónimo

practicas

-

Actividades programación torno resueltas

He publicado nuevos practicas de 1º Tecnologia de la fabricacion: Actividades programación torno resueltas

Ejercicio-Programacion-Torno-CNC-2014-2015-resuelto.pdf
Ejercicio-Programacion-Torno-CNC-201X-201Y-resuelto.pdf
Ejercicio-Programacion-Torno-CNC-2017-2018-resuelto.pdf
Ejercicio-Programacion-Torno-CNC-2018-2019-resuelto.pdf
Ejercicio-Programacion-Torno-CNC-2013-2014-resuelto.pdf
Ejercicio-Programacion-Torno-CNC-2016-2017-resuelto.pdf
Anónimo

@Anónimo

practicas

-

Actividades oxicorte resueltas

He publicado nuevos practicas de 1º Tecnologia de la fabricacion: Actividades oxicorte resueltas

Tarea-Oxicorte-2019-2020-resuelta.pdf
Tarea-Oxicorte-2015-2016-resuelta-2-2.pdf
Tarea-Oxicorte-2015-2016-resuelta-1-2.pdf
Tarea-Oxicorte-2013-2014-resuelto.pdf
Tarea-Oxicorte-2016-2017-resuelta.pdf
Anónimo

@Anónimo

practicas

-

Actividad tema 6

He publicado nuevos practicas de 1º Tecnologia de la fabricacion: Actividad tema 6

Actividad-6-Impacto-del-proceso-de-fabricacion-de-la-electricidad.pdf
El-Impacto-del-proceso-de-fabricacion-de-la-electricidad.pdf
Anónimo

@Anónimo

He publicado nuevos practicas de 1º Tecnologia de la fabricacion: ActividadCalculosmecanizado.pdf

10 páginas
Anónimo

@Anónimo

He publicado nuevos examenes de 1º Tecnologia de la fabricacion: EXAMEN-SEPTIEMBRE-2016-TEORIA-RESUELTA.pdf

5 páginas
Anónimo

@Anónimo

examenes

-

EXAMEN JUNIO 2016 RESUELTO

He publicado nuevos examenes de 1º Tecnologia de la fabricacion: EXAMEN JUNIO 2016 RESUELTO

EXAMEN-JUNIO-2016-TEST-PRACTICAS-RESUELTAS.pdf
EXAMEN-JUNIO-2016-TEORIA-RESUELTA.pdf
Anónimo

@Anónimo

examenes

-

EXAMEN SEPTIEMBRE 2015 RESUELTO

He publicado nuevos examenes de 1º Tecnologia de la fabricacion: EXAMEN SEPTIEMBRE 2015 RESUELTO

EXAMEN-SEPTIEMBRE-2015-TEORIA-RESUELTA.pdf
EXAMEN-SEPTIEMBRE-2015-TEST-PRACTICAS-RESUELTO.pdf
Anónimo

@Anónimo

examenes

-

EXAMEN JUNIO 2015 RESUELTO

He publicado nuevos examenes de 1º Tecnologia de la fabricacion: EXAMEN JUNIO 2015 RESUELTO

EXAMEN-JUNIO-2015-TEORIA-RESUELTA.pdf
EXAMEN-JUNIO-2015-TEST-PRACTICAS-RESUELTO.pdf
Anónimo

@Anónimo

examenes

-

examenes anteriores

He publicado nuevos examenes de 1º Tecnologia de la fabricacion: examenes anteriores

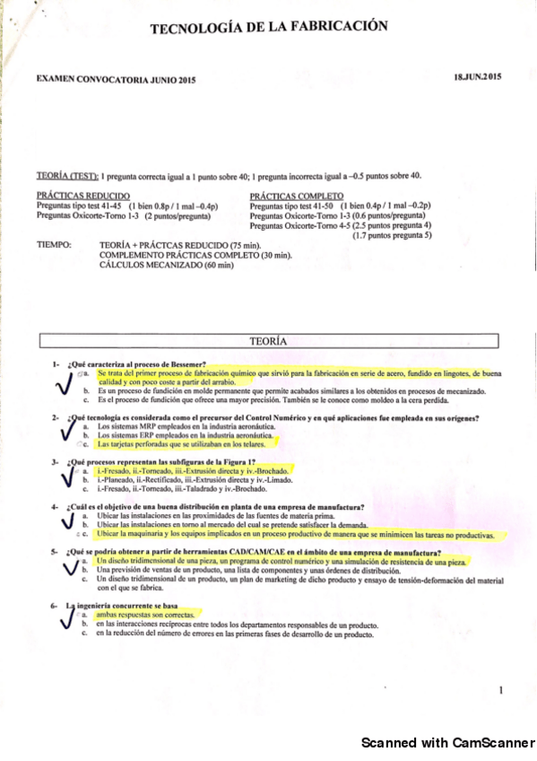
EXAMEN-JUNIO-2013-TEORIA.pdf
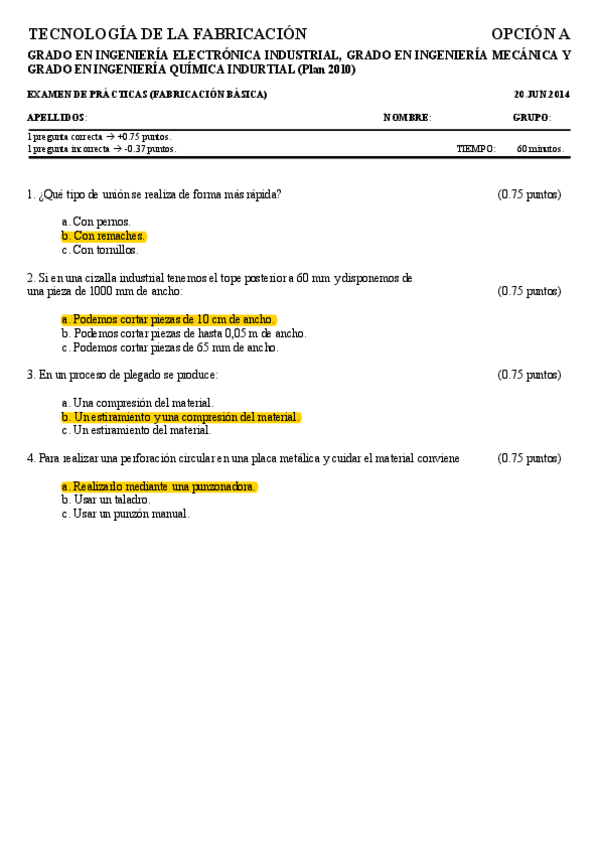
EXAMEN-JUNIO-2014-A.pdf
EXAMEN-JUNIO-2014-B.pdf

He publicado nuevos apuntes de 1º Tecnologia de la fabricacion: cuestionarios.pdf

4 páginas

apuntes

-

Examenes

He publicado nuevos apuntes de 1º Tecnologia de la fabricacion: Examenes

TF-Examen-junio-2014-Practicas-Cortas-oxi-torno-A.pdf
TF-Examen-juniowww-2014-Practicas-Cortas-Test-B.pdf
TF-Examen-junio-2013.pdf
TF-Examen-junio-2014-Practicas-Cortas-Test-B.pdf
TF-Examen-junio-2014-Practicas-Cortas-Test-A.pdf
TF-Examen-junio-2014-Teoria-A.pdf

Preguntas tipo test sobre fresadora, impresión 3d, robots, etc.

4 páginas

He publicado nuevos apuntes de 1º Tecnologia de la fabricacion: oxicorte-y-torno-EJEMPLOS.pdf

3 páginas

He publicado nuevos apuntes de 1º Tecnologia de la fabricacion: circulo-de-fuerzas.pdf

1 página

examenes

-

EXÁMENES RESUELTOS

He publicado nuevos examenes de 1º Tecnologia de la fabricacion: EXÁMENES RESUELTOS

Examen-Sept-2016-tipo-A.pdf
Septiembre-2015-teoria.pdf
junio-2016-EXAMEN-PRACTICAS-COMPLETO.pdf
Examen-Sept-2016-tipo-B.pdf
Septiembre-2015-practicas.pdf
Junio-2015-practica.pdf

apuntes

-

Practicas de TF 2018-19

He publicado nuevos apuntes de 1º Tecnologia de la fabricacion: Practicas de TF 2018-19

ActividadOxicorteGrupoTF31.pdf
TF31-B1-ActividadP7.pdf
AtividadTornoGrupoTF31.pdf
TF-Grupo-31-Cerradura-T6.pdf

He publicado nuevos apuntes de 1º Tecnologia de la fabricacion: oxicortecodigoG.pdf

2 páginas
Anónimo

@Anónimo

He publicado nuevos apuntes de 1º Tecnologia de la fabricacion: Trabajo-Final-Fisica-2.pdf

51 páginas

apuntes

-

Temas

He publicado nuevos apuntes de 1º Tecnologia de la fabricacion: Temas

TEMA 3.pdf
TEMA 6.pdf
TEMA 2 .pdf
TEMA 1 .pdf
TEMA 5 .pdf
TEMA 4 .pdf

He publicado nuevos apuntes de 1º Tecnologia de la fabricacion: TF - Examen junio 2014 Prácticas Cortas (Test) A.pdf

1 página

He publicado nuevos apuntes de 1º Tecnologia de la fabricacion: TF - Examen junio 2014 COSTES RESUELTO.pdf

6 páginas

He publicado nuevos apuntes de 1º Tecnologia de la fabricacion: TF - Examen junio 2015.pdf

8 páginas

He publicado nuevos apuntes de 1º Tecnologia de la fabricacion: TF - Examen septiembre 2015.pdf

6 páginas
¡Estás al día!

¡Estás al día!

Has visto todos los archivos