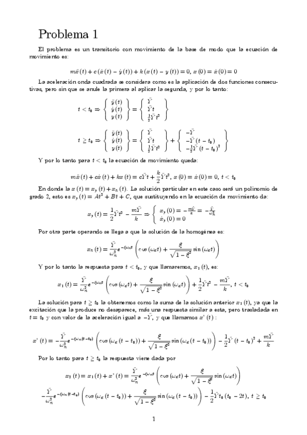
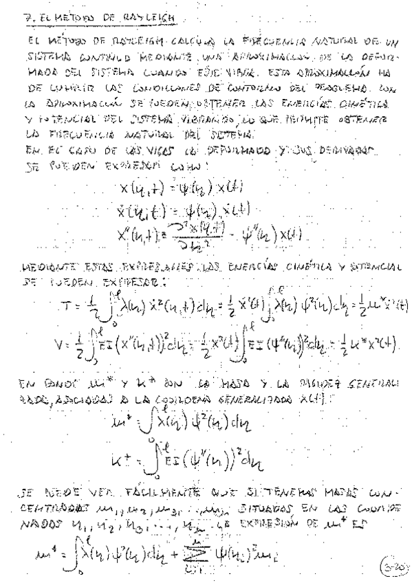
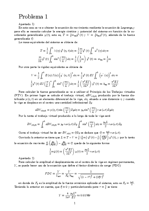
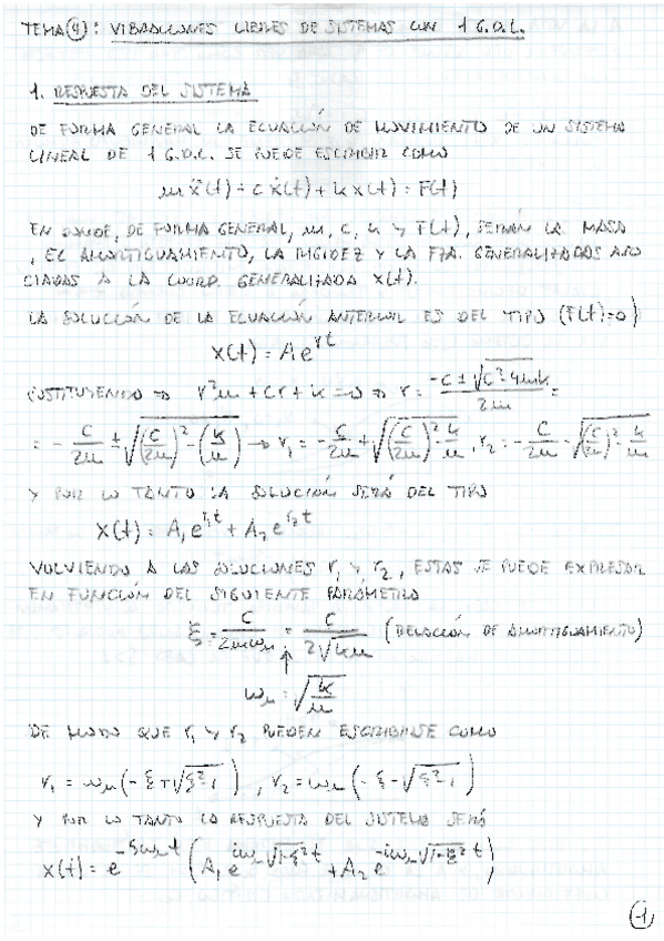
chevron_left
chevron_right
Todo
Apuntes
Ejercicios
Exámenes
Prácticas
Trabajos
chevron_left
chevron_right

examenes

-

PROBLEMAS EXAMEN RESUELTOS

Problemas de examen resueltos por el profesor. Muy recomendado.

P1junio2025merged.pdf
P2junio2025solmerged.pdf
P1-julio2024merged.pdf
P1junio2024merged.pdf
P1octubre2024merged.pdf
P2julio2024merged.pdf

Examen junio 2025 resuelto

6 páginas

Teoría academia

20 páginas

practicas

-

Prácticas 2023/2024

Tuve un 10

Practica1.pdf
Practica2.pdf
Anónimo

@Anónimo

ejercicios de clase

26 páginas

He publicado nuevos apuntes de 3º Tecnología de Máquinas: problema2.pdf

3 páginas

He publicado nuevos apuntes de 3º Tecnología de Máquinas: problema1.pdf

2 páginas

He publicado nuevos apuntes de 3º Tecnología de Máquinas: problema3septiembre2014.pdf

2 páginas

ejercicios

-

Ejercicios tipo Examen Resueltos

He publicado nuevos ejercicios de 3º Tecnología de Máquinas: Ejercicios tipo Examen Resueltos

Energia-disipada-por-el-amortiguamiento.pdf
Respgeneralsistema.pdf

He publicado nuevos practicas de 3º Tecnología de Máquinas: Memoria-2a-Practica.pdf

8 páginas

He publicado nuevos apuntes de 3º Tecnología de Máquinas: Junio-2023-solucion.pdf

7 páginas

He publicado nuevos apuntes de 3º Tecnología de Máquinas: junio-2023-enunciados.pdf

3 páginas

He publicado nuevos apuntes de 3º Tecnología de Máquinas: Apuntes-resumen-con-formulas.pdf

12 páginas

Apuntes profesor y ejercicios unificado

105 páginas

He publicado nuevos apuntes de 3º Tecnología de Máquinas: Apuntes-Examenes-resueltos-con-enunciados.pdf

67 páginas

He publicado nuevos apuntes de 3º Tecnología de Máquinas: Apuntes-Teoria.pdf

55 páginas
Anónimo

@Anónimo

He publicado nuevos apuntes de 3º Tecnología de Máquinas: null-1.pdf

6 páginas
Anónimo

@Anónimo

He publicado nuevos apuntes de 3º Tecnología de Máquinas: null.pdf

4 páginas

He publicado nuevos apuntes de 3º Tecnología de Máquinas: examensep2021.pdf

8 páginas

He publicado nuevos apuntes de 3º Tecnología de Máquinas: Examen-1C-2021.pdf

8 páginas
Anónimo

@Anónimo

apuntes

-

Apuntes profesor y ejercicios resueltos

He publicado nuevos apuntes de 3º Tecnología de Máquinas: Apuntes profesor y ejercicios resueltos

8-clase-Tecmaq16042020.pdf
5-clase-Tecmaq01y02042020.pdf
3-clase-Tecmaq25032020.pdf
10-clase-Tecmaq23042020.pdf
2-clase-Tecmaq19y25032020.pdf
7-clase-Tecmaq15042020.pdf

apuntes

-

Apuntes de clase

He publicado nuevos apuntes de 3º Tecnología de Máquinas: Apuntes de clase

tema-4.pdf
tema-5.pdf
tema-1.pdf
tema-3.pdf
Tema-6.pdf
tema-2.pdf

trabajos

-

Practica y Trabajo 2020

He publicado nuevos trabajos de 3º Tecnología de Máquinas: Practica y Trabajo 2020

TrabajoMedinaHermosillaEstibenDaniel.pdf
PracticaMedinaHermosillaEstibenDaniel.pdf

He publicado nuevos apuntes de 3º Tecnología de Máquinas: TecnologiaDeMaquinas.pdf

10 páginas

He publicado nuevos examenes de 3º Tecnología de Máquinas: examensep2021.pdf

8 páginas

He publicado nuevos examenes de 3º Tecnología de Máquinas: SolucionJunio2021.pdf

8 páginas

examenes

-

Primera Convocatoria 2021

He publicado nuevos examenes de 3º Tecnología de Máquinas: Primera Convocatoria 2021

Segunda-parte-vibraciones-2021.pdf
Primera-Parte-Vibraciones-2021.pdf

He publicado nuevos apuntes de 3º Tecnología de Máquinas: Cuaderno-de-Tecnologia-de-Maquinas.pdf

65 páginas

He publicado nuevos apuntes de 3º Tecnología de Máquinas: Coleccion-de-Problemas.pdf

72 páginas

He publicado nuevos examenes de 3º Tecnología de Máquinas: plantillaexamen.pdf

3 páginas

examenes

-

Problemas examen Libre y Forzada

He publicado nuevos examenes de 3º Tecnología de Máquinas: Problemas examen Libre y Forzada

Vibracion-Forzada.pdf
VIBRACIONES-LIBRES.pdf

He publicado nuevos examenes de 3º Tecnología de Máquinas: CamScanner-09-02-2020-18.pdf

8 páginas

examenes

-

Problemas resueltos de examen

He publicado nuevos examenes de 3º Tecnología de Máquinas: Problemas resueltos de examen

ProblemaVibracionforzadafeb19resuelto.pdf
plantillaexamen2.pdf
Anónimo

@Anónimo

He publicado nuevos apuntes de 3º Tecnología de Máquinas: resumen-vibraiones-1gdl.pdf

18 páginas

He publicado nuevos apuntes de 3º Tecnología de Máquinas: examen-tecnologia-de-maquinas-2019.pdf

9 páginas

He publicado nuevos apuntes de 3º Tecnología de Máquinas: FORMULARIO.pdf

4 páginas

Máster. Vibración libre. Paso a paso

5 páginas

Paso a paso. Vibración forzada

4 páginas

examenes

-

EXAMEN SEPTIEMBRE 2018

P1,P2 y CUESTIONES

Problema1.pdf
cuestiones.pdf
Problema2.pdf
Anónimo

@Anónimo

He publicado nuevos examenes de 3º Tecnología de Máquinas: Examen tec. máquinas.pdf

3 páginas

He publicado nuevos apuntes de 3º Tecnología de Máquinas: TECNOLOGÍA DE MÁQUINAS Formulario.pdf

8 páginas

apuntes

-

Apuntes Máquinas (Vibraciones) GIA

He publicado nuevos apuntes de 3º Tecnología de Máquinas: Apuntes Máquinas (Vibraciones) GIA

Tema_4.pdf
Tema_5.pdf
Tema_6.pdf
Tema_7.pdf
Tema_8.pdf

apuntes

-

Resúmenes

He publicado nuevos apuntes de 3º Tecnología de Máquinas: Resúmenes

Tema 01 - Introducción.pdf
Tema 02 - Introducción a los sistemas de un grado de libertad.pdf
Tema 03 - Otros métodos para el planteamiento de la ecuación de equilibrio.pdf
Tema 04 - Vibraciones libres de sistemas de un grado de libertad.pdf
Tema 05 - Vibraciones forzadas con excitación armónica.pdf

examenes

-

Exámenes RESUELTOS a mano PASO a PASO

He publicado nuevos examenes de 3º Tecnología de Máquinas: Exámenes RESUELTOS a mano PASO a PASO

2013:07:06 - 02 Convocatoria.pdf
2016:11:29 - 03 Convocatoria.pdf
2016:09 - 02 Convocatoria.pdf
2014:06 - 01 Convocatoria.pdf
2011:02:05 - 01 Convocatoria.pdf
2011:09 - 02 Convocatoria.pdf

apuntes

-

Resúmenes detallados por temas

He publicado nuevos apuntes de 3º Tecnología de Máquinas: Resúmenes detallados por temas

Tema 02 - Introducción a los sistemas de un grado de libertad.pdf
Tema 03 - Otros métodos para el planteamiento de la ecuación de equilibrio.pdf
Tema 04 - Vibraciones libres de sistemas de un grado de libertad.pdf
Tema 05 - Vibraciones forzadas con excitación armónica.pdf

examenes

-

Examen julio y septiembre 2017

He publicado nuevos examenes de 3º Tecnología de Máquinas: Examen julio y septiembre 2017

2017:09:04 - 02 Convocatoria.pdf
Examen 2017:06:19.pdf.pdf

Muy útil para los problemas, con todo lo necesario y MUY ordenado

8 páginas

examenes

-

Exámenes Resueltos

He publicado nuevos examenes de 3º Tecnología de Máquinas: Exámenes Resueltos

Exámenes 2014.pdf
Examen 2013:12:19.pdf
Exámenes 2013:07:06.pdf
Examen 2013:06:06.pdf
Examen 2013:02:01.pdf
Examen 2011:02:05.pdf

examenes

-

Exámenes más recientes RESUELTOS

Resueltos y explicados

01 - Exámenes más reciemtes.pdf
02 - Exámenes más reciemtes.pdf
03 - Exámenes más reciemtes.pdf
04 - Exámenes más reciemtes.pdf
Examen 2017:06:19.pdf.pdf

Se valora bastante. Muy útil.

111 páginas

Tuve máxima nota. Recomendable poner las gráficas bonitas y detalladas con el documento que he dejado en ''prácticas''. Parece ser que eso se valora.

51 páginas

He publicado nuevos apuntes de 3º Tecnología de Máquinas: teoria200115.pdf

205 páginas

He publicado nuevos examenes de 3º Tecnología de Máquinas: P1_9Sept2011.pdf

1 página

He publicado nuevos examenes de 3º Tecnología de Máquinas: problema_2_junio_2015.pdf

1 página

SÓLO 1 archivo pdf para todos los problemas ! A partir de página 166, es de GIA, y sólo entra lo de 1 grado de libertad. Al final del todo está el de Junio 2017.

243 páginas

Útil para saber qué parte de teoría hay que estudiar más.

30 páginas

Solucionado por el profesor

8 páginas

He publicado nuevos examenes de 3º Tecnología de Máquinas: examen_junio_2017.pdf

8 páginas

He publicado nuevos examenes de 3º Tecnología de Máquinas: Examen primera convocatoria 2017.pdf

3 páginas

examenes

-

Examen 2017

He publicado nuevos examenes de 3º Tecnología de Máquinas: Examen 2017

Problema 1.pdf
Problema 2.pdf
Problema 3.pdf