Todo
Apuntes
Ejercicios
Exámenes
Prácticas
Test
Trabajos
chevron_left
chevron_right

He publicado nuevos apuntes de 2º Tecnología de Materiales: TODAS-las-preguntas-De-Examen-CM.pdf

3 páginas

apuntes

-

apuntes segundo parcial CM

He publicado nuevos apuntes de 2º Tecnología de Materiales: apuntes segundo parcial CM

apuntes-CM-T3.pdf
apuntes-CM-T5.pdf
apuntes-CM-T4-parte-1.pdf
apuntes-CM-T4-parte-2.pdf

He publicado nuevos apuntes de 2º Tecnología de Materiales: Resumen-Celdas.pdf

3 páginas

He publicado nuevos apuntes de 2º Tecnología de Materiales: Tema-2-COMPLETO.pdf

12 páginas

He publicado nuevos examenes de 2º Tecnología de Materiales: Recopilacion-Examenes-Torsion.pdf

15 páginas

He publicado nuevos examenes de 2º Tecnología de Materiales: Recopilacion-Examenes-T8.pdf

32 páginas

He publicado nuevos examenes de 2º Tecnología de Materiales: Recopilacion-Examenes-Flexion.pdf

13 páginas

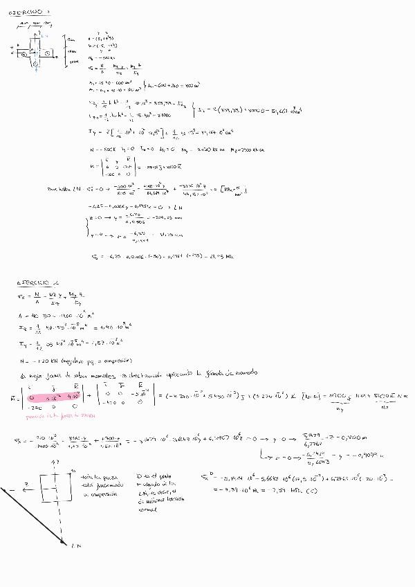
He publicado nuevos ejercicios de 2º Tecnología de Materiales: Ejercicios-Tema-7-RM.pdf

5 páginas

He publicado nuevos ejercicios de 2º Tecnología de Materiales: Ejercicios-Tema-6-RM.pdf

20 páginas

He publicado nuevos ejercicios de 2º Tecnología de Materiales: Ejercicios-De-Barras-Examenes.pdf

28 páginas
Anónimo

@Anónimo

apuntes

-

Apuntes y Ejercicios Tecnología de materiales

He publicado nuevos apuntes de 2º Tecnología de Materiales: Apuntes y Ejercicios Tecnología de materiales

Tema-1-Introduccion-a-la-ciencia-de-materiales.pdf
Tema-2-Comportamiento-mecanico-de-los-materiales.pdf
Tema-3-4-5-Materiales-compuestos-y-comportamiento-en-servicio-de-los-materiales.pdf
Tema-6-Introduccion-a-la-Resistencia-de-Materiales.pdf
Tema-7-Traccion-Compresion.pdf
Tema-8-Momento-flector.pdf
Anónimo

@Anónimo

He publicado nuevos apuntes de 2º Tecnología de Materiales: T3Materialesmetalicos.pdf

16 páginas
Anónimo

@Anónimo

He publicado nuevos apuntes de 2º Tecnología de Materiales: T1EstructurayPropiedadesdelosmateriales.pdf

7 páginas
Anónimo

@Anónimo

He publicado nuevos practicas de 2º Tecnología de Materiales: PracticacelosiasRM.pdf

6 páginas

He publicado nuevos apuntes de 2º Tecnología de Materiales: ENSAYOS-MATERIALES.pdf

4 páginas

He publicado nuevos apuntes de 2º Tecnología de Materiales: PREGUNTAS-TIPO-2PARCIAL.pdf

7 páginas

He publicado nuevos apuntes de 2º Tecnología de Materiales: PREGUNTAS-TIPO-T1.pdf

13 páginas
Anónimo

@Anónimo

He publicado nuevos apuntes de 2º Tecnología de Materiales: tema-3-Ciencia.pdf

26 páginas
Anónimo

@Anónimo

He publicado nuevos apuntes de 2º Tecnología de Materiales: tema-1-Ciencia.pdf

20 páginas

Resumen completo Tema 3.I CIENCIA

6 páginas

Resumen completo Tema3.II CIENCIA

5 páginas

apuntes

-

Ciencia segundo parcial

He publicado nuevos apuntes de 2º Tecnología de Materiales: Ciencia segundo parcial

Tema-5.2-Materiales-compuestos.docx.pdf
Tema-5.1-Materiales-Polimericos.docx.pdf
Tema-4.2.docx.pdf
Tema-4.1.docx.pdf
T3-Materiales.docx.pdf

apuntes

-

Ciencia primer parcial

He publicado nuevos apuntes de 2º Tecnología de Materiales: Ciencia primer parcial

Ejercicios-Tema-1.pdf
T3-III.pdf
T3-II.pdf
T3-I.pdf
T1-III.pdf
T1-II.pdf

apuntes

-

Examenes 2025

He publicado nuevos apuntes de 2º Tecnología de Materiales: Examenes 2025

CM-EP1-2024-25resolucion.pdf
CM-EP2-2024-25solmoodle.pdf
Anónimo

@Anónimo

He publicado nuevos apuntes de 2º Tecnología de Materiales: ejercicio-practico-segundo-parcual-ciencia.pdf

2 páginas
Anónimo

@Anónimo

He publicado nuevos apuntes de 2º Tecnología de Materiales: Apuntes-tema-5.pdf

12 páginas
Anónimo

@Anónimo

He publicado nuevos apuntes de 2º Tecnología de Materiales: Apuntes-tema-4.pdf

22 páginas
Anónimo

@Anónimo

He publicado nuevos apuntes de 2º Tecnología de Materiales: Apuntes-tema-3-segundo-parcial.pdf

18 páginas

Resumen Ciencia 2º Parcial

11 páginas

Ejercicios de clase resueltos

3 páginas

T6 y T7

2 páginas

Resumen Ciencia 1º Parcial

9 páginas

apuntes

-

Apuntes Ciencia

He publicado nuevos apuntes de 2º Tecnología de Materiales: Apuntes Ciencia

Apuntes-Ciencia-Tema-4.pdf
Apuntes-ciencia-Tema-5.pdf
Apuntes-Ciencia-Temas-1-2-y-3.pdf

He publicado nuevos apuntes de 2º Tecnología de Materiales: Resistencia-Tema-7.pdf

2 páginas

He publicado nuevos apuntes de 2º Tecnología de Materiales: Resistencia-Tema-6.pdf

3 páginas

He publicado nuevos apuntes de 2º Tecnología de Materiales: Ciencia-Tema-5-Materiales-Compuestos.pdf

2 páginas

He publicado nuevos apuntes de 2º Tecnología de Materiales: Ciencia-Tema-3-Metalicos.pdf

5 páginas

He publicado nuevos apuntes de 2º Tecnología de Materiales: T5-MATERIALES-COMPUESTOS.pdf

2 páginas

He publicado nuevos apuntes de 2º Tecnología de Materiales: T4-COMPORTAMIENTO.pdf

6 páginas

He publicado nuevos apuntes de 2º Tecnología de Materiales: T3-MATERIALES-METALICOS.pdf

7 páginas

ALEACIONES FERREAS Y MATERIALES NO METALICOS

16 páginas

He publicado nuevos examenes de 2º Tecnología de Materiales: EXAMENES-RESUELTOS.pdf

10 páginas

He publicado nuevos ejercicios de 2º Tecnología de Materiales: EJERCICIOS-T10-CLASE.pdf

5 páginas

He publicado nuevos ejercicios de 2º Tecnología de Materiales: EJERICICIOS-T9-CLASE.pdf

1 página

He publicado nuevos ejercicios de 2º Tecnología de Materiales: EJERCICIOS-T8-CLASE.pdf

6 páginas

He publicado nuevos ejercicios de 2º Tecnología de Materiales: EJERCICIOS-T7-CLASE.pdf

7 páginas

He publicado nuevos ejercicios de 2º Tecnología de Materiales: EJERCICIOS-T6-CLASE.pdf

10 páginas

apuntes

-

apuntes ciencia

He publicado nuevos apuntes de 2º Tecnología de Materiales: apuntes ciencia

TEMA-1-CIENCIA.pdf
TEMA-3.1-CIENCIA.pdf
Tema-3.2-CIENCIA.pdf
Tema-4-CIENCIA-MATERIALES.pdf
Tema-5-ciencia.pdf

He publicado nuevos apuntes de 2º Tecnología de Materiales: PREGUNTAS-TIPO-EXAMEN-2o-PARCIAL-CIENCIA-2024.pdf

3 páginas

ejercicios

-

TODOS LOS EJERCICIOS

He publicado nuevos ejercicios de 2º Tecnología de Materiales: TODOS LOS EJERCICIOS

PARTE-3.pdf
PARTE-4.pdf
PARTE-2.pdf
PARTE-1.pdf

He publicado nuevos apuntes de 2º Tecnología de Materiales: TEORIA-CIENCIA-DE-LOS-MATERIALES.pdf

6 páginas

examenes

-

examenes 2024 ciencia

He publicado nuevos examenes de 2º Tecnología de Materiales: examenes 2024 ciencia

Solucion-examen-2EP-GITM.pdf
Resolucion-1EP-GITM.pdf

examenes

-

Exámenes 2024 Ciencia+Resistencia

He publicado nuevos examenes de 2º Tecnología de Materiales: Exámenes 2024 Ciencia+Resistencia

Solucion-primer-parcial-2024-RESISTENCIA.pdf
Solucion-parcial-2-ciencia.pdf
Segundo-parcial-CM-Junio-2024-Resuelto.pdf
Primer-parcial-CM-Junio-2024-Resuelto.pdf

He publicado nuevos apuntes de 2º Tecnología de Materiales: Formulario-P2.pdf

1 página

examenes

-

Exámenes

He publicado nuevos examenes de 2º Tecnología de Materiales: Exámenes

1a-PRUEBA-EV-CONTINUA-GIE-2019-corregido.pdf
Examenes-P2-de-materiales-GIE.pdf
EXAMENESMetododeFlexibilidad-flexion-isostatica.pdf

apuntes

-

Diapos clase con apuntes

He publicado nuevos apuntes de 2º Tecnología de Materiales: Diapos clase con apuntes

Tema-00-TecMatGIERepasoElasticidad.pdf
TM-GIE-T07-Traccion-Compresion-Parte1.pdf
TM-GIE-T07-Traccion-Compresion-Parte2.pdf
TM-GIE-T07-Traccion-Compresion-Parte3.pdf
TM-GIE2-T08-Sesion1-MomentoFlector1.pdf
TM-GIE2-T08-Sesion3-MomentoFlector2.pdf

He publicado nuevos apuntes de 2º Tecnología de Materiales: Resumen T6,7-nudos-y-estructuras-articuladas-en-una-cara.pdf

1 página

He publicado nuevos apuntes de 2º Tecnología de Materiales: ResumenTema-2Materiales-ceramicos-cristalinos-y-amorfos.pdf

7 páginas

Los profes han añadido como un 5% temario en el curso 2024/25, pero para el 95% restante os sirven estos apuntes =)

16 páginas

He publicado nuevos examenes de 2º Tecnología de Materiales: Solucion-examen-2EP-GIE-mayo-2024.pdf

3 páginas