chevron_left
chevron_right
Todo
Apuntes
Ejercicios
Exámenes
Prácticas
Test
chevron_left
chevron_right

He publicado nuevos practicas de 2º Tecnología del Medio Ambiente: practicaruidodatos.pdf

1 página

He publicado nuevos test de 2º Tecnología del Medio Ambiente: TMATestT1T4.pdf

3 páginas
Anónimo

@Anónimo

apuntes

-

Cuestionarios TMA teoría

He publicado nuevos apuntes de 2º Tecnología del Medio Ambiente: Cuestionarios TMA teoría

Cuestionario-Aguas-1.pdf
Cuestionario-Aguas-2.pdf
Cuestionario-Atmosfera-1.pdf
Cuestionario-Atmosfera-2.pdf
Cuestionario-Residuos-1.pdf
Cuestionario-Residuos-2.pdf
Anónimo

@Anónimo

apuntes

-

Cuestionarios TMA prácticas

He publicado nuevos apuntes de 2º Tecnología del Medio Ambiente: Cuestionarios TMA prácticas

Cuestionario-Practica-1-Aguas.pdf
Cuestionario-Practicas-2-y-3-Aguas.pdf
Cuestionario-Practica-de-Dispersion-de-contaminantes-1.pdf
Cuestionario-Practica-de-Dispersion-de-contaminantes-2.pdf
Cuestionario-Practica-de-Ruido.pdf
Cuestionario-Practica-Residuos.pdf

practicas

-

Cuestionarios practicas

He publicado nuevos practicas de 2º Tecnología del Medio Ambiente: Cuestionarios practicas

Revision-Cuestionario-1-Practica-dispersion-Maite.pdf
Revision-Cuestionario-2-Practica-dispersion-Maite.pdf
Revision-Cuestionario-Practica-1-Vicente.pdf
Revision-Cuestionario-Practica-2-y-3-Vicente.pdf
Revision-Cuestionario-Practica-residuos-jose-luis.pdf
Revision-Cuestionario-Practica-ruido-Maite.pdf

test

-

Cuestionarios temas

He publicado nuevos test de 2º Tecnología del Medio Ambiente: Cuestionarios temas

Revision-Cuestionario-Jose-Luis.pdf
Revision-Cuestionario-Maite.pdf
Revision-Cuestionario-Vicente.pdf
Revision-Cuestionario2-Jose-Luis.pdf
Revision-Cuestionario2-Maite.pdf
Revision-Cuestionario2-Vicente.pdf

He publicado nuevos examenes de 2º Tecnología del Medio Ambiente: CUESTIONES-EXAMENES-OTROS-ANOS-TMA.pdf

53 páginas

He publicado nuevos ejercicios de 2º Tecnología del Medio Ambiente: Ejercicios-balances-resueltos.pdf

15 páginas

He publicado nuevos apuntes de 2º Tecnología del Medio Ambiente: Teoria-y-ejemplos-ruido.pdf

15 páginas

He publicado nuevos apuntes de 2º Tecnología del Medio Ambiente: Teoria-Jose-Luis-TMA.pdf

26 páginas

He publicado nuevos test de 2º Tecnología del Medio Ambiente: CUESTIONES-GESTION-MEDIOAMBIENTAL.pdf

7 páginas
Anónimo

@Anónimo

test

-

Cuestionarios temas

He publicado nuevos test de 2º Tecnología del Medio Ambiente: Cuestionarios temas

Cuestionario-1-Temas-1-y-4.pdf
Cuestionario-2-Temas-1-y-4.pdf
Anónimo

@Anónimo

test

-

Cuestionarios

He publicado nuevos test de 2º Tecnología del Medio Ambiente: Cuestionarios

Cuestionario-Temas-5-y-6-Revision-del-intento.pdf
Cuestionario-Temas-2-7-8-y-9-Revision-del-intento.pdf
Cuestionario-Contaminacion-atmosferica-y-ruido-Revision-del-intento.pdf
Anónimo

@Anónimo

practicas

-

Cuestionarios Prácticas

He publicado nuevos practicas de 2º Tecnología del Medio Ambiente: Cuestionarios Prácticas

Cuestionario-Practica-1.pdf
Test-practica-de-ruido-Revision-del-intento.pdf
Cuestionario-Practicas-Residuos-Revision-del-intento.pdf
Cuestionario-Practica-2-y-3.pdf

He publicado nuevos apuntes de 2º Tecnología del Medio Ambiente: TEORIA-EXAMEN-DEFINITIVO.pdf

25 páginas
Anónimo

@Anónimo

apuntes

-

TEMA 11. Contaminación Atmosférica II

He publicado nuevos apuntes de 2º Tecnología del Medio Ambiente: TEMA 11. Contaminación Atmosférica II

Cuestiones-Contaminacion-atmosferica-II-3.pdf
Cuestiones-Contaminacion-atmosferica-II1.pdf
Contaminacion-atmosferica-II2.pdf
Contaminacion-atmosferica-II4.pdf
Cuestiones-Contaminacion-atmosferica-II4.pdf
Cuestiones-Contaminacion-atmosferica-II2.pdf
Anónimo

@Anónimo

apuntes

-

TEMA 10. Contaminación Atmosférica I

He publicado nuevos apuntes de 2º Tecnología del Medio Ambiente: TEMA 10. Contaminación Atmosférica I

Solucion-Cuestiones-Repaso-Contaminacion-atmosferica-I-1.pdf
Problemas-Contaminacion-Atmosferica-I.pdf
Soluciones-Problemas-Contaminacion-Atmosferica-I-del-ano-pasado.pdf
Cuestiones-Contaminacion-Atmosferica-I2.pdf
Solucion-Cuestiones-Repaso-Contaminacion-atmosferica-I2.pdf
Cuestiones-Contaminacion-atmosferica-I-1.pdf
Anónimo

@Anónimo

apuntes

-

TEMA 09.2. Contaminación Acústica

He publicado nuevos apuntes de 2º Tecnología del Medio Ambiente: TEMA 09.2. Contaminación Acústica

Problemas-contaminacion-acustica.pdf
Problemas-Contaminacion-acustica-Soluciones.pdf
Contaminacion-acustica-2.pdf
Ejercicios-repaso-Contaminacion-acustica.pdf
Contaminacion-acustica-1.pdf
Contaminacion-acustica.pdf
Anónimo

@Anónimo

apuntes

-

TEMA 09.1. Contaminación Energética

He publicado nuevos apuntes de 2º Tecnología del Medio Ambiente: TEMA 09.1. Contaminación Energética

INES-The-international-nuclear-and-radiological-event-scale.pdf
Accidentes-Nucleares-en-Espana-y-otras-curiosidades.pdf
INES-Escala-Internacional-de-Sucesos-Nucleares-y-Radiologicos.pdf
Incidente-de-Palomares.pdf
Tema-9.pdf
Problemas-Tema-9.pdf
Anónimo

@Anónimo

He publicado nuevos apuntes de 2º Tecnología del Medio Ambiente: tema-8.pdf

28 páginas
Anónimo

@Anónimo

apuntes

-

TEMA 07. Contaminación de suelos

He publicado nuevos apuntes de 2º Tecnología del Medio Ambiente: TEMA 07. Contaminación de suelos

7.pdf
tema-7.pdf
7.pdf
tema-7.pdf
7.pdf
7.pdf
Anónimo

@Anónimo

apuntes

-

TEMA 04. Gestión Medioambiental

He publicado nuevos apuntes de 2º Tecnología del Medio Ambiente: TEMA 04. Gestión Medioambiental

Analisis-de-ciclo-de-vida-de-central-termosolar.pdf
Gestion-Medioambiental-2.pdf
ISO-14001-2015.pdf
ISO-14001-2004.pdf
Gestion-Medioambiental-1.pdf
Anónimo

@Anónimo

apuntes

-

TEMA 03. Eval. Impacto Medioambiental

He publicado nuevos apuntes de 2º Tecnología del Medio Ambiente: TEMA 03. Eval. Impacto Medioambiental

Valoracion-de-impactos-ambientales.pdf
La-evaluacion-de-impacto-medioambiental-en-Espanocostes.pdf
Metodologias-de-la-Evaluacion-de-Impacto-Ambiental.pdf
Evaluacion-de-Impacto-Medioambiental-de-la-ampliacion-del-aeropuerto-norte-de-Tenerife.pdf
Directrices-para-la-evaluacion-del-impacto-de-los-parques-eolicos-en-aves-y-murcielagos.pdf
Tema-3.pdf
Anónimo

@Anónimo

apuntes

-

TEMA 02. Bases de Ingeniería Ambiental

He publicado nuevos apuntes de 2º Tecnología del Medio Ambiente: TEMA 02. Bases de Ingeniería Ambiental

Tema-2.pdf
Soluciones-Problemas-Temas-2.pdf
Problemas-Tema-2.pdf
Problemas-de-examenes-de-anos-anteriores.pdf
Tema-2.pdf
Anónimo

@Anónimo

apuntes

-

TEMA 01. Intro Ingeniería Ambiental

He publicado nuevos apuntes de 2º Tecnología del Medio Ambiente: TEMA 01. Intro Ingeniería Ambiental

Tema-0.pdf
Tema-1.pdf
Unidades-de-ppm-ppb-y-ppt-en-volumen.pdf
Anónimo

@Anónimo

apuntes

-

Material para exámenes

He publicado nuevos apuntes de 2º Tecnología del Medio Ambiente: Material para exámenes

TABLAPERIODICA.pdf
Anexo-1-ley-21-2013.pdf
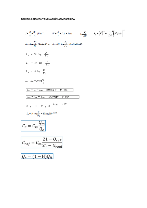
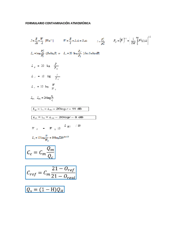
FORMULARIO-CONTAMINACION-ATMOSFERICA.pdf
Formulario-Residuos.pdf
Anexo-I-y-II-ley-4-2007.pdf
Anejo-1-Real-Decreto-Legislativo-1-2016.pdf
Anónimo

@Anónimo

examenes

-

Solución exámenes desde 2011

He publicado nuevos examenes de 2º Tecnología del Medio Ambiente: Solución exámenes desde 2011

Solucion-examen-20-mayo-2014-Maite.pdf
Solucion-examen-25-Junio-2014-Jose-Luis.pdf
examen-parcial-Residuos-julio-2012.pdf
Solucion-examen-20-mayo-2014-Jose-Luis.pdf
examen-parcial-Residuos-junio-2012.pdf
Solucion-examen-20-mayo-2014-Vicente.pdf
Anónimo

@Anónimo

He publicado nuevos test de 2º Tecnología del Medio Ambiente: todas-soluciones-tma-definitivo.pdf

62 páginas
Anónimo

@Anónimo

examenes

-

Exámenes

He publicado nuevos examenes de 2º Tecnología del Medio Ambiente: Exámenes

examen-2oparcial-2013.pdf
examen-parcial-2014.pdf
examen-2o-parcial-2014.pdf
examen-parcial-2012.pdf
examen-parcial-2013.pdf
Anónimo

@Anónimo

He publicado nuevos test de 2º Tecnología del Medio Ambiente: CUESTIONES-TMA.pdf

81 páginas
Anónimo

@Anónimo

He publicado nuevos test de 2º Tecnología del Medio Ambiente: Cuestionario-Parte-de-Vicente.pdf

15 páginas
Anónimo

@Anónimo

He publicado nuevos apuntes de 2º Tecnología del Medio Ambiente: Cuestionario-Practicas-2-y-3.pdf

14 páginas

ejercicios

-

Ejercicios

He publicado nuevos ejercicios de 2º Tecnología del Medio Ambiente: Ejercicios

Ejercicios-Balance-de-materia-sin-reaccion.pdf

apuntes

-

Resumenes Practicas

He publicado nuevos apuntes de 2º Tecnología del Medio Ambiente: Resumenes Practicas

Resumen-Practica-de-Ruido.pdf
Anónimo

@Anónimo

He publicado nuevos examenes de 2º Tecnología del Medio Ambiente: EXAMEN-ORDINARIO-TMA-ONLINE-2020-EJERCICIOS.pdf

4 páginas
Anónimo

@Anónimo

He publicado nuevos examenes de 2º Tecnología del Medio Ambiente: EXAMEN-ORDINARIO-TMA-ONLINE-2020.pdf

9 páginas

He publicado nuevos apuntes de 2º Tecnología del Medio Ambiente: EJERCICIOS-todo-el-curso.pdf

33 páginas

He publicado nuevos apuntes de 2º Tecnología del Medio Ambiente: Final.pdf

9 páginas
Anónimo

@Anónimo

examenes

-

Exámenes de prácticas

He publicado nuevos examenes de 2º Tecnología del Medio Ambiente: Exámenes de prácticas

Examen-practica-aguas.pdf
Examen-de-pracica-de-residuos.pdf
Dispersion-de-contaminantes.pdf
Test-practica-de-ruido.pdf
Anónimo

@Anónimo

test

-

Cuestionarios casos de estudio

He publicado nuevos test de 2º Tecnología del Medio Ambiente: Cuestionarios casos de estudio

Caso-de-estudio-1.pdf
Caso-de-estudio-2.pdf
Caso-de-estudio-3.pdf
Caso-de-estudio-4.pdf