chevron_left
chevron_right
Todo
Apuntes
Ejercicios
Exámenes
Prácticas
Test
Trabajos
chevron_left
chevron_right

examenes

-

Preguntas RESUELTAS

Aproximadamente 120 preguntas de examen

Preguntas-Parte-1-TE.pdf
Preguntas-Parte-2-TE.pdf

apuntes

-

Tema a tema con anotaciones enfocadas en examen

He publicado nuevos apuntes de 1º Tecnología Energética: Tema a tema con anotaciones enfocadas en examen

T1-Introduccion-Repaso.pdf
T2-Centrales-de-potencia-de-vapor.pdf
Tema-3-Turbinas-de-gas.pdf
Tema-3-Ciclos-de-vapor-de-recuperacion.pdf
T5-Combustibles-fosiles.pdf
T6-Biomasa.pdf

He publicado nuevos test de 1º Tecnología Energética: Cuestionario-del-Tema-4-cursos-anteriores.pdf

7 páginas

He publicado nuevos test de 1º Tecnología Energética: Cuestionario-del-Tema-3-cursos-anteriores.pdf

2 páginas

He publicado nuevos test de 1º Tecnología Energética: Cuestionario-del-Tema-1-cursos-anteriores.pdf

4 páginas

He publicado nuevos test de 1º Tecnología Energética: Cuestionario-del-Tema-2-cursos-anteriores.pdf

5 páginas

He publicado nuevos examenes de 1º Tecnología Energética: Examen-de-prueba-del-Tema-5.pdf

4 páginas

He publicado nuevos examenes de 1º Tecnología Energética: Examen-de-prueba-del-Tema-4.pdf

4 páginas

He publicado nuevos examenes de 1º Tecnología Energética: Examen-de-prueba-de-los-Temas-1-2-y-3.pdf

5 páginas

He publicado nuevos examenes de 1º Tecnología Energética: Primer-parcial-de-Tecnologia-Energetica.pdf

3 páginas

He publicado nuevos examenes de 1º Tecnología Energética: Segundo-parcial-de-Tecnologia-Energetica.pdf

2 páginas

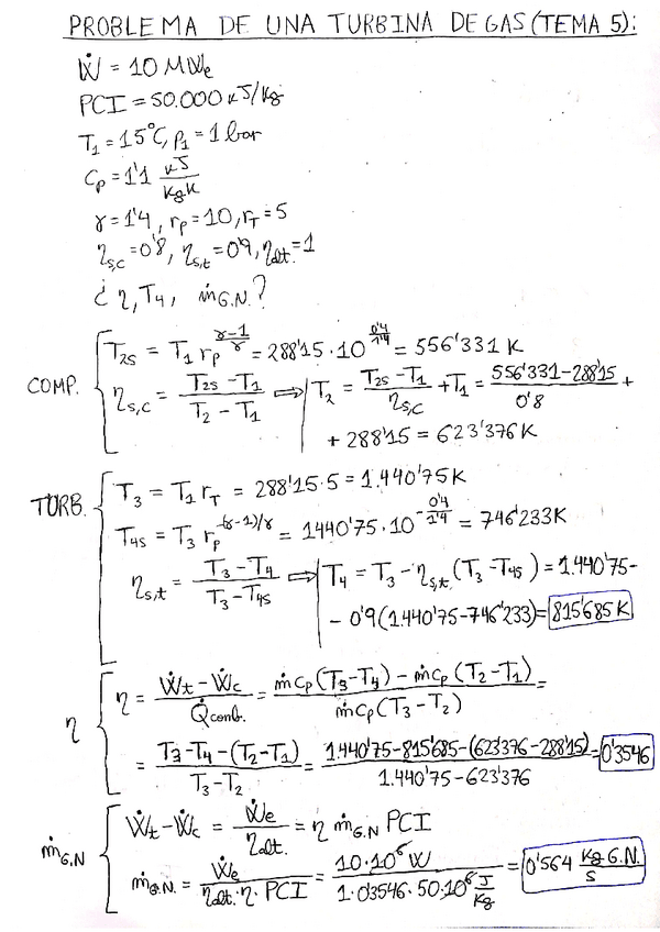
He publicado nuevos ejercicios de 1º Tecnología Energética: Problema-de-una-turbina-de-gas-Tema-5.pdf

1 página

He publicado nuevos ejercicios de 1º Tecnología Energética: Problema-de-emisiones-Tema-4.pdf

1 página

He publicado nuevos trabajos de 1º Tecnología Energética: Cuestionario-sobre-la-fabricacion-de-la-cerveza.pdf

3 páginas

He publicado nuevos trabajos de 1º Tecnología Energética: Fabricacion-de-la-cerveza-proceso-del-trabajo.pdf

2 páginas

He publicado nuevos trabajos de 1º Tecnología Energética: Propuesta-de-generacion-fotovoltaica-para-La-Zaragozana.pdf

48 páginas

He publicado nuevos practicas de 1º Tecnología Energética: Practica-2-Estimacion-basica-de-la-produccion-fotovoltaica.pdf

3 páginas

He publicado nuevos practicas de 1º Tecnología Energética: Practica-1-Cogeneracion.pdf

4 páginas

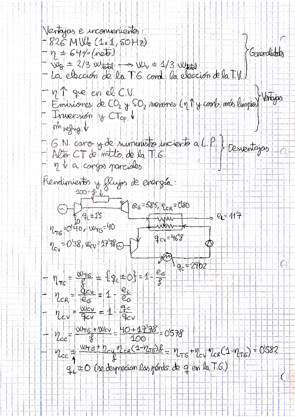
He publicado nuevos apuntes de 1º Tecnología Energética: Tema-5-Centrales-de-potencia-de-ciclo-combinado.pdf

17 páginas

He publicado nuevos apuntes de 1º Tecnología Energética: Tema-4-Centrales-de-potencia-con-ciclo-de-vapor.pdf

14 páginas

He publicado nuevos apuntes de 1º Tecnología Energética: Tema-3.3-Energia-de-la-biomasa.pdf

3 páginas

He publicado nuevos apuntes de 1º Tecnología Energética: Tema-3.1-Energia-solar.pdf

5 páginas

He publicado nuevos apuntes de 1º Tecnología Energética: Tema-3.2-Energia-eolica.pdf

2 páginas

He publicado nuevos apuntes de 1º Tecnología Energética: Tema-2-Combustibles-fosiles.pdf

6 páginas

He publicado nuevos apuntes de 1º Tecnología Energética: Tema-1-Introduccion.pdf

2 páginas
Anónimo

@Anónimo

He publicado nuevos trabajos de 1º Tecnología Energética: TRABAJO-TE.pdf

19 páginas
¡Estás al día!

¡Estás al día!

Has visto todos los archivos