Tecnología Farmacéutica I

chevron_left
chevron_right
Todo
Apuntes
Ejercicios
Exámenes
Otros
chevron_left
chevron_right

He publicado nuevos ejercicios de 4º Tecnología Farmacéutica I: Ejercicios-formulacion.docx

word

He publicado nuevos apuntes de 4º Tecnología Farmacéutica I: EQUIPOS-2-PARCIAL.pdf

6 páginas
Anónimo

@Anónimo

He publicado nuevos apuntes de 4º Tecnología Farmacéutica I: tiempos-de-disgregacion.pdf

1 página
Anónimo

@Anónimo

He publicado nuevos apuntes de 4º Tecnología Farmacéutica I: PROCESOS-DE-FABRICACION.pdf

1 página
Anónimo

@Anónimo

He publicado nuevos apuntes de 4º Tecnología Farmacéutica I: FORMA-FARMACEUTICA.pdf

1 página

He publicado nuevos apuntes de 4º Tecnología Farmacéutica I: PRIMER-PARCIAL-2.0.pdf

7 páginas

He publicado nuevos apuntes de 4º Tecnología Farmacéutica I: TECFAR-I-grageas-CR-peliculares-capsulas.pdf

13 páginas
Anónimo

@Anónimo

apuntes

-

Tecfar I

He publicado nuevos apuntes de 4º Tecnología Farmacéutica I: Tecfar I

Tema-1-INTRIDUCCION-A-LA-TECNOLOGIA-FARMACEUTICA-.pdf
Tema-4-Tamizacion.pdf
Tema-6-granulacion-.pdf
Tema-8-Leofilizacion-.pdf
Tema-7-Secado.pdf
Tema-2.pdf

con ejercicios

16 páginas

apuntes

-

Esquemas proceso de fabricacion

He publicado nuevos apuntes de 4º Tecnología Farmacéutica I: Esquemas proceso de fabricacion

compresion-esquemas.pdf
granulado-esquema.pdf
Polvos-esquema.pdf

He publicado nuevos apuntes de 4º Tecnología Farmacéutica I: TEC-FAR-I.pdf

16 páginas
Anónimo

@Anónimo

apuntes

-

Tablas maquinas

He publicado nuevos apuntes de 4º Tecnología Farmacéutica I: Tablas maquinas

Miniatura no disponible
tabla-equipos-pulverizacion-.zip
Miniatura no disponible
Mezcladores-.zip

apuntes

-

Tecnología Farmacéutica I

He publicado nuevos apuntes de 4º Tecnología Farmacéutica I: Tecnología Farmacéutica I

TEMA1INTRODUCCINALATECNOLOGAFARMACUTICA.pdf
TEMA8LIOFILIZACIN.pdf
TEMA5MEZCLADO.pdf
TEMA3PULVERIZACIN.pdf
TEMA2PREFORMULACINFARMACUTICA.pdf
TEMA7DESECACIN.pdf

apuntes

-

Esquemas

Son esquemas útiles del primer parcial

Validacion.pdf
Esquema formas farmacéuticas.pdf
Calidad- acondicionamiento y excipientes.pdf
Anónimo

@Anónimo

He publicado nuevos apuntes de 4º Tecnología Farmacéutica I: TECFARM1.pdf

51 páginas

apuntes

-

Apuntes Completos

He publicado nuevos apuntes de 4º Tecnología Farmacéutica I: Apuntes Completos

Tema 2 (Preformulación farmacéutica).pdf
Tema 4 (Operaciones básicas-Tamización).pdf
Tema 8 (Operaciones básicas-Liofilización).pdf
Tema 9 (Polvos y granulados).pdf
Tema 1 (Introdución de la tecnología farmacéutica).pdf
Tema 6 (Operaciones básicas-Granulación).pdf

He publicado nuevos apuntes de 4º Tecnología Farmacéutica I: TEMA 10 pdf.pdf

3 páginas

He publicado nuevos apuntes de 4º Tecnología Farmacéutica I: TEMA 9 pdf.pdf

4 páginas

apuntes

-

TECNOLOGÍA FARMACÉUTICA I

He publicado nuevos apuntes de 4º Tecnología Farmacéutica I: TECNOLOGÍA FARMACÉUTICA I

TEMA 1 pdf.pdf
TEMA 2 pdf.pdf
TEMA 3 pdf.pdf
TEMA 4 pdf.pdf
TEMA 5 pdf.pdf
TEMA 6 pdf.pdf

apuntes

-

Parcial

He publicado nuevos apuntes de 4º Tecnología Farmacéutica I: Parcial

Tema 1.pdf
Tema 2.pdf
Tema 3.pdf
Tema 4.pdf
Tema 5.pdf
Tema 6.pdf

He publicado nuevos apuntes de 4º Tecnología Farmacéutica I: Tema 1.pdf

2 páginas

apuntes

-

Temas 1-17

He publicado nuevos apuntes de 4º Tecnología Farmacéutica I: Temas 1-17

TEMA 1 y 2.pdf
TEMA 3.pdf
TEMA 4.pdf
TEMA 5.pdf
TEMA 6.pdf
TEMA 7.pdf
Anónimo

@Anónimo

He publicado nuevos examenes de 4º Tecnología Farmacéutica I: EXAMEN TECNO I.pdf

1 página

ejercicios

-

Ejercicios Excipientes

He publicado nuevos ejercicios de 4º Tecnología Farmacéutica I: Ejercicios Excipientes

EJERCICIOS .pdf
EJERCICIOS COMPRIMIDOS.pdf

apuntes

-

Tecnología Farmacéutica

He publicado nuevos apuntes de 4º Tecnología Farmacéutica I: Tecnología Farmacéutica

1. Introducción.pdf
2. Preformulación farmacéutica.pdf
3. Pulverización.pdf
4. Tamización.pdf
5. Mezclado.pdf
6. Granulación.pdf

He publicado nuevos ejercicios de 4º Tecnología Farmacéutica I: Ejercicios.pdf

23 páginas

apuntes

-

Tecnología Farmacéutica (2)

He publicado nuevos apuntes de 4º Tecnología Farmacéutica I: Tecnología Farmacéutica (2)

12. Comprimidos recubiertos.pdf
13. Cápsulas duras.pdf
14. Cápsulas blandas.pdf
15. Micropartículas.pdf
16. Envases y materiales de acondicionamiento 1º.pdf
17. Otros materiales y envases. Material de acondicionamiento 2º.pdf

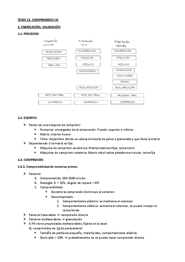
He publicado nuevos apuntes de 4º Tecnología Farmacéutica I: 11. Comprimidos (II).pdf

5 páginas

He publicado nuevos otros de 4º Tecnología Farmacéutica I: Preguntas.pdf

3 páginas

He publicado nuevos otros de 4º Tecnología Farmacéutica I: Lista excipientes.pdf

3 páginas
¡Estás al día!

¡Estás al día!

Has visto todos los archivos