Tecnología Farmacéutica II

Todo
Apuntes
Exámenes
Test
chevron_left
chevron_right

apuntes

-

tecnofar II

He publicado nuevos apuntes de 4º Tecnología Farmacéutica II: tecnofar II

Tema-2.pdf
Tema-3.pdf
Tema-4.pdf
Tema-5.pdf
Tema-6.pdf
Tema-7.pdf
Anónimo

@Anónimo

examenes

-

examenes

He publicado nuevos examenes de 4º Tecnología Farmacéutica II: examenes

TEKNO-II-preguntas-examen-con-respuestas.pdf
EXAMEN-TEKNOFAR2-PRAKTIKAS-2025.pdf
TEKNOFAR-II-OHIKO-2025.pdf

apuntes

-

Temas tecnología II

He publicado nuevos apuntes de 4º Tecnología Farmacéutica II: Temas tecnología II

TECNOLOGIA-FARMACEUTICA-II-temas-1-8.pdf
TECNOLOGIA-FARMACEUTICA-II-tema-9-19-Documentos-de-Google.pdf

apuntes

-

Apuntes completos

He publicado nuevos apuntes de 4º Tecnología Farmacéutica II: Apuntes completos

TEMA-1.-Introduccion.pdf
TEMA-2.-Capsulas-duras.pdf
TEMA-3.-Capsulas-blandas.pdf
TEMA-4.-Introduccion-a-los-comprimidos.pdf
TEMA-5.-Metodos-de-obtencion-de-comprimidos.pdf
TEMA-6.-Comprimidos-recubiertos.pdf

tecno II

5 páginas

apuntes

-

Tecnología Farmacéutica II

He publicado nuevos apuntes de 4º Tecnología Farmacéutica II: Tecnología Farmacéutica II

Tema-1Tecnologia-farmaceutica-II.pdf
Tema-2Capsulas-duras.pdf
Tema-3Capsulas-blandas.pdf
Tema-4Introduccion-a-los-comprimidos.pdf
Tema-5Metodos-de-obtencion-de-comprimidos.pdf
Tema-6Comprimidos-recubiertos.pdf

apuntes

-

Tecnología farmacéutica II

He publicado nuevos apuntes de 4º Tecnología Farmacéutica II: Tecnología farmacéutica II

Tema-1.-Introduccion.pdf
Tema-2.-Capsulas-duras.pdf
Tema-3.-Capsulas-blandas.pdf
Tema-4.-Comprimidos.pdf
Tema-5.-Metodos-de-obtencion-de-comprimidos.pdf
Tema-6.-Comprimidos-recubiertos.pdf

apuntes

-

Tecnología Farmacéutica II

He publicado nuevos apuntes de 4º Tecnología Farmacéutica II: Tecnología Farmacéutica II

Bloque-I.pdf
Bloque-II.pdf
Bloque-III.pdf
Bloque-IV.pdf
Bloque-V.pdf
Bloque-VI.pdf

He publicado nuevos apuntes de 4º Tecnología Farmacéutica II: Practicas-de-laboratorio-1-7.pdf

19 páginas

He publicado nuevos examenes de 4º Tecnología Farmacéutica II: EXAMENES-TECNO-II.pdf

4 páginas

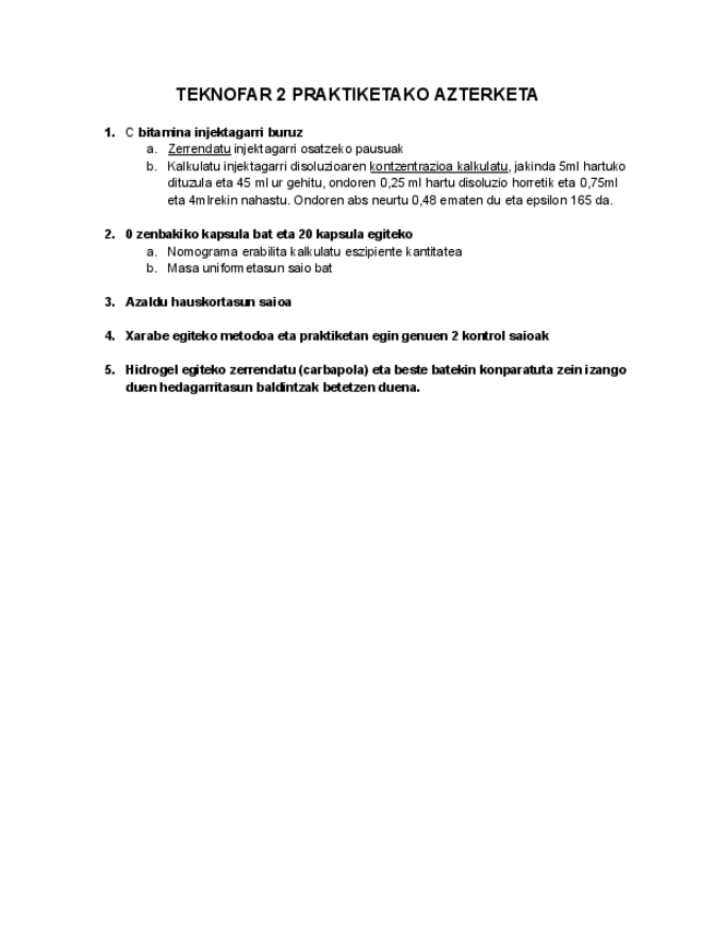
He publicado nuevos examenes de 4º Tecnología Farmacéutica II: Examen-tecno-II.pdf

1 página

test

-

Tecno II

He publicado nuevos test de 4º Tecnología Farmacéutica II: Tecno II

Test-1.pdf
Test-2.pdf
Test-3.pdf
Examen-tecno-II-mayo-2023.pdf
EXAMENES-TECNO-II.pdf
EXAMEN-JULIO-2023.pdf

He publicado nuevos apuntes de 4º Tecnología Farmacéutica II: TECNO-II-PARTE-9-DE-10.pdf

10 páginas

He publicado nuevos apuntes de 4º Tecnología Farmacéutica II: TECNO-II-PARTE-10-DE-10.pdf

6 páginas

He publicado nuevos apuntes de 4º Tecnología Farmacéutica II: TECNO-II-PARTE-8-DE-10.pdf

5 páginas

He publicado nuevos apuntes de 4º Tecnología Farmacéutica II: TECNO-II-PARTE-5-DE-10.pdf

13 páginas

He publicado nuevos apuntes de 4º Tecnología Farmacéutica II: TECNO-II-PARTE-6-DE-10.pdf

6 páginas

He publicado nuevos apuntes de 4º Tecnología Farmacéutica II: TECNO-II-PARTE-7-DE-10.pdf

10 páginas

He publicado nuevos apuntes de 4º Tecnología Farmacéutica II: TECNO-II-PARTE-3-DE-10.pdf

8 páginas

He publicado nuevos apuntes de 4º Tecnología Farmacéutica II: TECNO-II-PARTE-4-DE-10.pdf

6 páginas

He publicado nuevos apuntes de 4º Tecnología Farmacéutica II: TECNO-II-PARTE-2-DE-10.pdf

7 páginas

He publicado nuevos apuntes de 4º Tecnología Farmacéutica II: TECNO-II-PARTE-1-DE-10.pdf

10 páginas

apuntes

-

Tecnología Farmacéutica II

He publicado nuevos apuntes de 4º Tecnología Farmacéutica II: Tecnología Farmacéutica II

Tema-10.pdf
Tema-04.pdf
Tema-07.pdf
Tema-2.pdf
Tema-05.pdf
Tema-9.pdf
¡Estás al día!

¡Estás al día!

Has visto todos los archivos