Todo
Apuntes
Ejercicios
Trabajos
chevron_left
chevron_right

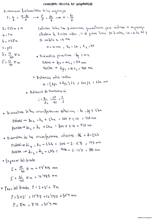
He publicado nuevos ejercicios de 3º Tecnología Mecánica y Montajes: Problemasultimobloque.pdf

4 páginas

He publicado nuevos ejercicios de 3º Tecnología Mecánica y Montajes: Ejercicios.pdf

4 páginas

He publicado nuevos ejercicios de 3º Tecnología Mecánica y Montajes: Ejerciciofresadora.pdf

1 página

He publicado nuevos ejercicios de 3º Tecnología Mecánica y Montajes: Torneado.pdf

3 páginas

He publicado nuevos ejercicios de 3º Tecnología Mecánica y Montajes: Ejerciciotaladro.pdf

1 página

He publicado nuevos ejercicios de 3º Tecnología Mecánica y Montajes: Ejerciciotorneado.pdf

3 páginas

He publicado nuevos ejercicios de 3º Tecnología Mecánica y Montajes: Ejercicioajuste.pdf

2 páginas

He publicado nuevos ejercicios de 3º Tecnología Mecánica y Montajes: Ejercicio-torneado.pdf

4 páginas

He publicado nuevos ejercicios de 3º Tecnología Mecánica y Montajes: Ejercicio.pdf

1 página

He publicado nuevos ejercicios de 3º Tecnología Mecánica y Montajes: Tarea-montajes.pdf

1 página

He publicado nuevos ejercicios de 3º Tecnología Mecánica y Montajes: Ejercicios-Montajes.pdf

7 páginas

He publicado nuevos apuntes de 3º Tecnología Mecánica y Montajes: RESUEMEN-MONTAJES-TERMINADO.pdf

15 páginas

apuntes

-

APUNTES

He publicado nuevos apuntes de 3º Tecnología Mecánica y Montajes: APUNTES

CONFORMADO-Y-LAMINADO.jpg
EJERCICIO-2-EXAMEN.jpg
3.jpg
fresadoras.jpg
FORMULARIO.jpg
4.jpg
Anónimo

@Anónimo

ejercicios

-

EJER DE EXAMENES

He publicado nuevos ejercicios de 3º Tecnología Mecánica y Montajes: EJER DE EXAMENES

ejer-1.pdf
RESUELTO-EJER-2.pdf
Tablas-ISO-286.pdf
ejer-2.pdf
ejer-3.pdf
docdownloader.comajustes-y-tolerancias.pdf

He publicado nuevos trabajos de 3º Tecnología Mecánica y Montajes: Purgadores.pdf

15 páginas
¡Estás al día!

¡Estás al día!

Has visto todos los archivos