Tecnologías de Fabricación

chevron_left
chevron_right
Todo
Apuntes
Ejercicios
Exámenes
Prácticas
Trabajos
chevron_left
chevron_right
Anónimo

@Anónimo

He publicado nuevos trabajos de 3º Tecnologías de Fabricación: Trabajo-Monografico-TF-PNCM-24-25-A.pdf

17 páginas

Apuntes, ejercicios propuestos y exámenes resueltos.

29 páginas

ejercicios

-

Ejercicios TF 2025

He publicado nuevos ejercicios de 3º Tecnologías de Fabricación: Ejercicios TF 2025

Ejercicios-Metrologia.-Ajustes-y-Tolerancias-A.pdf
Ejercicios-Fundicion-A.pdf
Ejercicios-Deformacion-Plastica.pdf
Ejercicios-Cadena-Cinematica-A.pdf

He publicado nuevos apuntes de 3º Tecnologías de Fabricación: CNC-y-Mecanizado.pdf

13 páginas

He publicado nuevos apuntes de 3º Tecnologías de Fabricación: Ejercicios-Examenes.pdf

6 páginas

He publicado nuevos ejercicios de 3º Tecnologías de Fabricación: Ejercicios-PCEM230620123041.pdf

26 páginas

He publicado nuevos ejercicios de 3º Tecnologías de Fabricación: Ejercicios-fundicion230620115934.pdf

15 páginas

He publicado nuevos ejercicios de 3º Tecnologías de Fabricación: Ejercicios-deformacion-plastica-230520210845.pdf

12 páginas

He publicado nuevos ejercicios de 3º Tecnologías de Fabricación: Ejercicios-cadena-cinematica230617170125.pdf

14 páginas

He publicado nuevos examenes de 3º Tecnologías de Fabricación: RecopPreguntasCortas.pdf

6 páginas

He publicado nuevos apuntes de 3º Tecnologías de Fabricación: FormularioTF.pdf

5 páginas

He publicado nuevos trabajos de 3º Tecnologías de Fabricación: Trabajo-Monografico.pdf

10 páginas

He publicado nuevos trabajos de 3º Tecnologías de Fabricación: Cadena-cinematica-2023.docx.pdf

11 páginas

ejercicios

-

Problemas

He publicado nuevos ejercicios de 3º Tecnologías de Fabricación: Problemas

Problemas-cadena-cinematica.pdf
Problemas-Bloque-3.pdf
Ejercicios-sobre-mecanizado.pdf

apuntes

-

Apuntes de la asignatura

He publicado nuevos apuntes de 3º Tecnologías de Fabricación: Apuntes de la asignatura

Tema-2.pdf
Tema-2.pdf
Tema-1.pdf
Anexo-Bloque-1-Mecanismos-de-Transmision-y-Transformacion.pdf
Tema-3.pdf
Tema-2.pdf
Anónimo

@Anónimo

apuntes

-

Problemas TF

He publicado nuevos apuntes de 3º Tecnologías de Fabricación: Problemas TF

Problemas-Cadena-Cinematica.pdf
Problemas-Propuestos-Mecanizado-Enrique-Sanchez-Banda.pdf
EjerciciospropuestosPCCM.pdf

He publicado nuevos examenes de 3º Tecnologías de Fabricación: Examen-junio-05-07-2021.pdf

1 página

ejercicios

-

Ejercicios entregables

He publicado nuevos ejercicios de 3º Tecnologías de Fabricación: Ejercicios entregables

p-deformacion-plastica.pdf
p-fundicion.pdf
Problemas-aparatos-divisor.pdf
ejercicios-cadena-cinematica.pdf
Ejercicios-Propuestos-de-Programacion-CNC.pdf
problemas-mecanizado.pdf

practicas

-

PRÁCTICAS

Prácticas realizadas con Francisco Javier Puerta y evaluadas con un 7,1 y un 6,8

PRACTICA-3.pdf
PRACTICA-1-Y-2-FABRI.pdf

He publicado nuevos trabajos de 3º Tecnologías de Fabricación: Formato-Trabajo-Monografico-2020-2021.doc

word

He publicado nuevos practicas de 3º Tecnologías de Fabricación: MemoriaPractica4JuliaRivera.pdf

11 páginas

He publicado nuevos practicas de 3º Tecnologías de Fabricación: JuliaRiveraVeraD4.pdf

30 páginas

He publicado nuevos practicas de 3º Tecnologías de Fabricación: JuliaRiveraVeraPractica3.pdf

17 páginas

He publicado nuevos trabajos de 3º Tecnologías de Fabricación: Trabajo-monografico-Julia-Rivera.pdf

23 páginas

ejercicios

-

Problemas cnc y mecanizado

He publicado nuevos ejercicios de 3º Tecnologías de Fabricación: Problemas cnc y mecanizado

JuliaRiveraVeramecanizado.pdf
JuliaRiveraVeraproblemascnc.pdf

ejercicios

-

Problemas fundición y deformación

He publicado nuevos ejercicios de 3º Tecnologías de Fabricación: Problemas fundición y deformación

problemasfundicionjuliarivera.pdf
problemasdeformacionjuliarivera.pdf

He publicado nuevos apuntes de 3º Tecnologías de Fabricación: EJERCICIOS-DEFORMACION-PLASTICA.pdf

8 páginas

He publicado nuevos ejercicios de 3º Tecnologías de Fabricación: Ejercicios-Propuestos-Fundicion.pdf

12 páginas

He publicado nuevos ejercicios de 3º Tecnologías de Fabricación: Ejercicios-propuestos-mecanizado.pdf

10 páginas

He publicado nuevos apuntes de 3º Tecnologías de Fabricación: 2020-05-06093929.pdf

6 páginas

He publicado nuevos apuntes de 3º Tecnologías de Fabricación: EJERCICIOS-CNC.pdf

15 páginas

He publicado nuevos apuntes de 3º Tecnologías de Fabricación: EJERCICIOS-PROPUESTOS-MECANIZADO.pdf

15 páginas

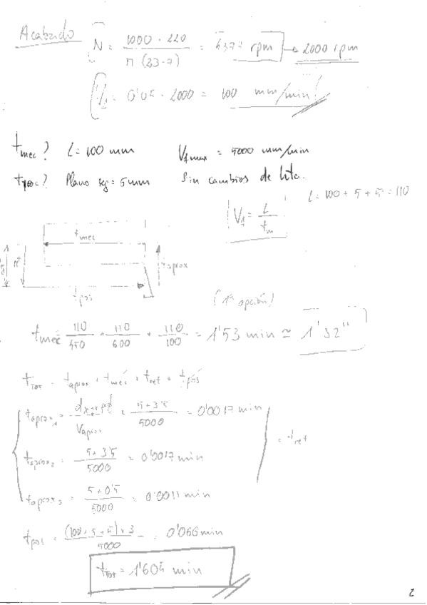
En el ejercicio 1 de torneado, la N en la pasada de acabado es 2500, la máxima de la gama de velocidades. Se me fue y puse 2000 y arrastro el error.

16 páginas
Anónimo

@Anónimo

He publicado nuevos ejercicios de 3º Tecnologías de Fabricación: CNC.pdf

6 páginas
Anónimo

@Anónimo

He publicado nuevos examenes de 3º Tecnologías de Fabricación: EXAMEN-RESUELTO.pdf

4 páginas
Anónimo

@Anónimo

He publicado nuevos apuntes de 3º Tecnologías de Fabricación: FORMULARIO.pdf

4 páginas

ejercicios

-

EJERCICIOS PROPUESTOS TODOS LOS BLOQUES

He publicado nuevos ejercicios de 3º Tecnologías de Fabricación: EJERCICIOS PROPUESTOS TODOS LOS BLOQUES

PROPUESTOS-DEFORMACION-PLASTICA-CARMEN-PEREZ-GARCIA.pdf
PROPUESTOS-CNC-CARMEN-PEREZ-GARCIA.pdf
PROPUESTOS-APARATO-DIVISOR-CARMEN-PEREZ-GARCIA.pdf

He publicado nuevos practicas de 3º Tecnologías de Fabricación: PRACTICA3.pdf

10 páginas

He publicado nuevos practicas de 3º Tecnologías de Fabricación: PRACTICA2.pdf

8 páginas

He publicado nuevos practicas de 3º Tecnologías de Fabricación: PRACTICA1.pdf

11 páginas

apuntes

-

Resumen y Problemas resueltos

He publicado nuevos apuntes de 3º Tecnologías de Fabricación: Resumen y Problemas resueltos

problemas-tema-4.pdf
formulas-mecanizado.pdf
test-examen.pdf
Resumen-procesos-fabricacion.pdf
boletines-resueltos.pdf

apuntes

-

Problemas y preguntas exámenes

He publicado nuevos apuntes de 3º Tecnologías de Fabricación: Problemas y preguntas exámenes

problemas-soldadura.pdf
Preguntas-2-parcial.pdf
Formulario-Verificacion-de-roscas-y-medidas-de-angulos.pdf
Problemas-Medida-de-angulos-y-verificacion-Resueltos.pdf
Formulario-Soldadura.pdf
Problemas-Verificacion-roscas-y-ruedas-dentadas.pdf

apuntes

-

teoria completa examen

He publicado nuevos apuntes de 3º Tecnologías de Fabricación: teoria completa examen

resumen-bloque-4--formulario-20190823133122.pdf
condiciones-iniciales-cnc-20190823133506.pdf
deformacion-plastica-20190823132805.pdf
teoria-soldadura-20190823132634.pdf
sist.pdf
bloque-5.pdf

He publicado nuevos apuntes de 3º Tecnologías de Fabricación: cnc.pdf

9 páginas

He publicado nuevos apuntes de 3º Tecnologías de Fabricación: Nuevo-doc-2019-08-23-13.pdf

38 páginas

apuntes

-

Resumen de teoría por bloques

He publicado nuevos apuntes de 3º Tecnologías de Fabricación: Resumen de teoría por bloques

Bloque-4.pdf
Bloque-3.pdf
Bloque-2.pdf
Bloque-1.pdf

apuntes

-

libro de teoria y ejercicios

He publicado nuevos apuntes de 3º Tecnologías de Fabricación: libro de teoria y ejercicios

Mechanical_Technology-revisado.pdf
SPF (Libro de ejercicios).pdf

He publicado nuevos apuntes de 3º Tecnologías de Fabricación: Formato Trabajo Monográfico 2015-2016.pdf

4 páginas

apuntes

-

Practicas

He publicado nuevos apuntes de 3º Tecnologías de Fabricación: Practicas

practica 1.pdf
practica 3.pdf
practica 2.pdf
¡Estás al día!

¡Estás al día!

Has visto todos los archivos