Tecnologías del Medio Ambiente

chevron_left
chevron_right
Todo
Apuntes
Ejercicios
Exámenes
Test
chevron_left
chevron_right

apuntes

-

Bloque 3 - Gestión de la contaminación atmosférica

He publicado nuevos apuntes de 3º Tecnologías del Medio Ambiente: Bloque 3 - Gestión de la contaminación atmosférica

T13-Dispersion-de-gases.pdf
T12-Contaminacion-atmosferica.pdf
T14-Contaminacion-por-particulas.pdf
T15-Contaminantes-gaseosos.pdf
Boletin-T13.pdf

He publicado nuevos apuntes de 3º Tecnologías del Medio Ambiente: EJERCICIOS-BLOQUE-3-TMA.pdf

19 páginas
Anónimo

@Anónimo

RECOPILACION DE PREGUNTAS TIPO TEST PARA EL PARCIAL 3

12 páginas
Anónimo

@Anónimo

Todo la teoría a saber para el tema 16 de materiales

6 páginas
Anónimo

@Anónimo

Las soluciones vienen al final del documento

3 páginas
Anónimo

@Anónimo

HE SUBIDO UNA COLECCIÓN DE TIPO TEST DEL 3 PARCIAL DE TMA

8 páginas

apuntes

-

TEORIA+FORMULARIOS+BOLETINES BLOQUE 1

He publicado nuevos apuntes de 3º Tecnologías del Medio Ambiente: TEORIA+FORMULARIOS+BOLETINES BLOQUE 1

Tema-1.docx
Tema-2.docx
TEMA-3.pdf
Formulario-BLOQUE-1.pdf.pdf
Boletin-T2.pdf
Ejercicios-Desarenadores.pdf

apuntes

-

Tercer Parcial

He publicado nuevos apuntes de 3º Tecnologías del Medio Ambiente: Tercer Parcial

tema12.pdf
tema13.pdf
tema14.pdf

apuntes

-

Segundo Parcial

He publicado nuevos apuntes de 3º Tecnologías del Medio Ambiente: Segundo Parcial

Resumen-Tema-5.pdf
ResumenTema6.pdf
tema7resumen.pdf
resumenTema9.pdf
Exam-B2-Explicado.pdf

Desde el tema 5 hasta el 11

35 páginas

Resumen tema 14 de la asignatura tecnología del medio ambiente

3 páginas

apuntes

-

TEMA 13

He publicado nuevos apuntes de 3º Tecnologías del Medio Ambiente: TEMA 13

TEMA-13.docx

apuntes

-

1er PARCIAL

FORMULARIO+PROBLEMAS

FORMULARIO-PARCIAL-1.pdf
PROBLEMAS-PARCIAL-1.pdf
boletint2.pdf

apuntes

-

Bloque 2 - Gestión de residuos y reciclaje

He publicado nuevos apuntes de 3º Tecnologías del Medio Ambiente: Bloque 2 - Gestión de residuos y reciclaje

T9-Tratamientos-de-estabilizacion-y-solidificacion.pdf
T8-Valorizacion-de-los-residuos.pdf
T7-Gestion-de-residuos-domesticos.pdf
T6-Residuos-domesticos-y-residuos-peligrosos.pdf
T5-Impactos-ambientales-derivados-de-la-contaminacion-por-residuos.pdf

apuntes

-

BLOQUE 2 (2ºParcial) PROBLEMAS + TEORÍA

He publicado nuevos apuntes de 3º Tecnologías del Medio Ambiente: BLOQUE 2 (2ºParcial) PROBLEMAS + TEORÍA

Tema-5.pdf
TEMA-6.pdf
TEMA-7.pdf
TEMA-8.pdf
TEMA-9.pdf
TEMA-10.pdf

apuntes

-

Bloque 1 - Tratamientos de aguas residuales

He publicado nuevos apuntes de 3º Tecnologías del Medio Ambiente: Bloque 1 - Tratamientos de aguas residuales

T3-Operaciones-y-procesos-para-los-tratamientos-de-aguas.pdf
T2-Caracteristicas-de-las-aguas-residuales.pdf
T1-Introduccion-a-las-tecnologias-del-Medio-Ambiente.pdf

He publicado nuevos apuntes de 3º Tecnologías del Medio Ambiente: EJERCICIOS-BLOQUE-I-TMA.pdf

26 páginas

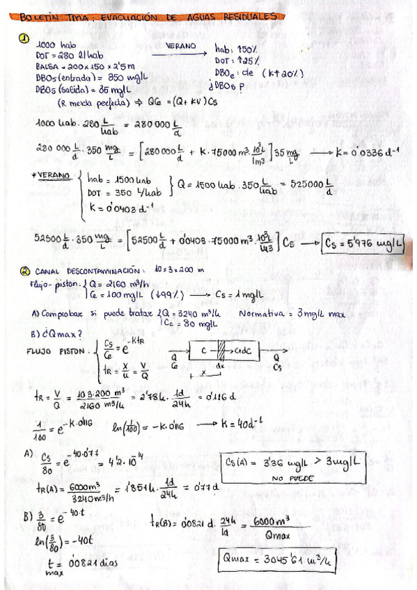
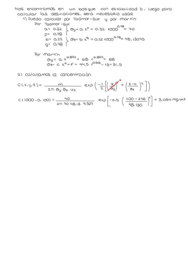
He publicado nuevos ejercicios de 3º Tecnologías del Medio Ambiente: BOLETIN-Evacuacion-de-las-aguas-1.pdf

7 páginas

He publicado nuevos ejercicios de 3º Tecnologías del Medio Ambiente: BOLETIN-Fundamentos.pdf

3 páginas

He publicado nuevos apuntes de 3º Tecnologías del Medio Ambiente: ProblemasTMA.pdf

15 páginas

He publicado nuevos apuntes de 3º Tecnologías del Medio Ambiente: ProblemasTMA1.pdf

14 páginas

He publicado nuevos apuntes de 3º Tecnologías del Medio Ambiente: ApuntesTMA.pdf

61 páginas

He publicado nuevos apuntes de 3º Tecnologías del Medio Ambiente: ApuntesTMA1.pdf

60 páginas

enunciados no disponibles, siguen el criterio del archivo subido por la asignatura en el curso 24/25

2 páginas
Anónimo

@Anónimo

He publicado nuevos apuntes de 3º Tecnologías del Medio Ambiente: POSIBLES-PREGUNTAS.pdf

4 páginas
Anónimo

@Anónimo

He publicado nuevos apuntes de 3º Tecnologías del Medio Ambiente: TODOS-LOS-PROBLEMAS-DE-TODOS-LOS-TEMAS.pdf

19 páginas
Anónimo

@Anónimo

He publicado nuevos test de 3º Tecnologías del Medio Ambiente: PREGUNTAS-COMUNES-TIPO-TEST-CON-SOMUCION.pdf

5 páginas

He publicado nuevos ejercicios de 3º Tecnologías del Medio Ambiente: Problemas-Bloque-4-TMA.pdf

2 páginas

He publicado nuevos apuntes de 3º Tecnologías del Medio Ambiente: Formulario-TMA.pdf

4 páginas

He publicado nuevos apuntes de 3º Tecnologías del Medio Ambiente: Bloque-I-completo.pdf

57 páginas

He publicado nuevos apuntes de 3º Tecnologías del Medio Ambiente: Bloque-I-problemas-tipo.pdf

7 páginas

He publicado nuevos apuntes de 3º Tecnologías del Medio Ambiente: Preguntas-tipo-3-bloque-I.pdf

6 páginas

He publicado nuevos ejercicios de 3º Tecnologías del Medio Ambiente: Preguntas-Tipo-Bloque-4.pdf

7 páginas

He publicado nuevos ejercicios de 3º Tecnologías del Medio Ambiente: Problemas-Tema-12.pdf

10 páginas

He publicado nuevos apuntes de 3º Tecnologías del Medio Ambiente: Preguntas-tipo-bloque-2-y-posibles-preguntas-examen.pdf

11 páginas

He publicado nuevos apuntes de 3º Tecnologías del Medio Ambiente: Preguntas-tipo-Bloque-3-y-posibles-preguntas-examen.pdf

7 páginas

He publicado nuevos apuntes de 3º Tecnologías del Medio Ambiente: Preguntas-tipo-bloque-4-resueltas-y-posibles-preguntas-examen.pdf

6 páginas

He publicado nuevos ejercicios de 3º Tecnologías del Medio Ambiente: ProblemasBloque1.pdf

14 páginas

He publicado nuevos apuntes de 3º Tecnologías del Medio Ambiente: EsquemasBloque4.pdf

3 páginas

He publicado nuevos apuntes de 3º Tecnologías del Medio Ambiente: EsquemasBloque2.pdf

3 páginas

He publicado nuevos apuntes de 3º Tecnologías del Medio Ambiente: EsquemaT10.pdf

1 página

He publicado nuevos ejercicios de 3º Tecnologías del Medio Ambiente: bloque1problemascortos.pdf

4 páginas

He publicado nuevos ejercicios de 3º Tecnologías del Medio Ambiente: TMAEjerciciosBloque3.pdf

6 páginas

He publicado nuevos ejercicios de 3º Tecnologías del Medio Ambiente: EjerciciosTipoBloque2.pdf

4 páginas

He publicado nuevos ejercicios de 3º Tecnologías del Medio Ambiente: EjerciciosTipoBloque4.pdf

3 páginas
Anónimo

@Anónimo

He publicado nuevos ejercicios de 3º Tecnologías del Medio Ambiente: Preguntas-cortas-y-problemas-tipo-RESUELTAS.pdf

8 páginas

He publicado nuevos apuntes de 3º Tecnologías del Medio Ambiente: Toda-la-teoria-TMA-4-bloques.pdf

82 páginas

He publicado nuevos apuntes de 3º Tecnologías del Medio Ambiente: Tema-14.pdf

11 páginas

Resúmenes teóricos del cuarto bloque a ordenador.

9 páginas

He publicado nuevos test de 3º Tecnologías del Medio Ambiente: REPASO-TEMA-10-12.pdf

5 páginas

He publicado nuevos apuntes de 3º Tecnologías del Medio Ambiente: formulas-importantes.pdf

2 páginas

He publicado nuevos test de 3º Tecnologías del Medio Ambiente: preguntas-tipo-Bloque-3-test.pdf

3 páginas

He publicado nuevos apuntes de 3º Tecnologías del Medio Ambiente: formulario-tema-12.pdf

1 página

He publicado nuevos apuntes de 3º Tecnologías del Medio Ambiente: formulario-tema-11.pdf

1 página

He publicado nuevos ejercicios de 3º Tecnologías del Medio Ambiente: ejercicio-tema-12.pdf

12 páginas

He publicado nuevos ejercicios de 3º Tecnologías del Medio Ambiente: ejercicios-tema-11.pdf

9 páginas

He publicado nuevos apuntes de 3º Tecnologías del Medio Ambiente: Tema-10.pdf

3 páginas

He publicado nuevos apuntes de 3º Tecnologías del Medio Ambiente: Tema-12.pdf

7 páginas

He publicado nuevos apuntes de 3º Tecnologías del Medio Ambiente: Tema-11.pdf

4 páginas

He publicado nuevos apuntes de 3º Tecnologías del Medio Ambiente: PROBLEMAS-TEMA-12.pdf

4 páginas