Tecnologies d'Informació Quàntica

chevron_left
chevron_right
Todo
Apuntes
Exámenes
Otros
chevron_left
chevron_right

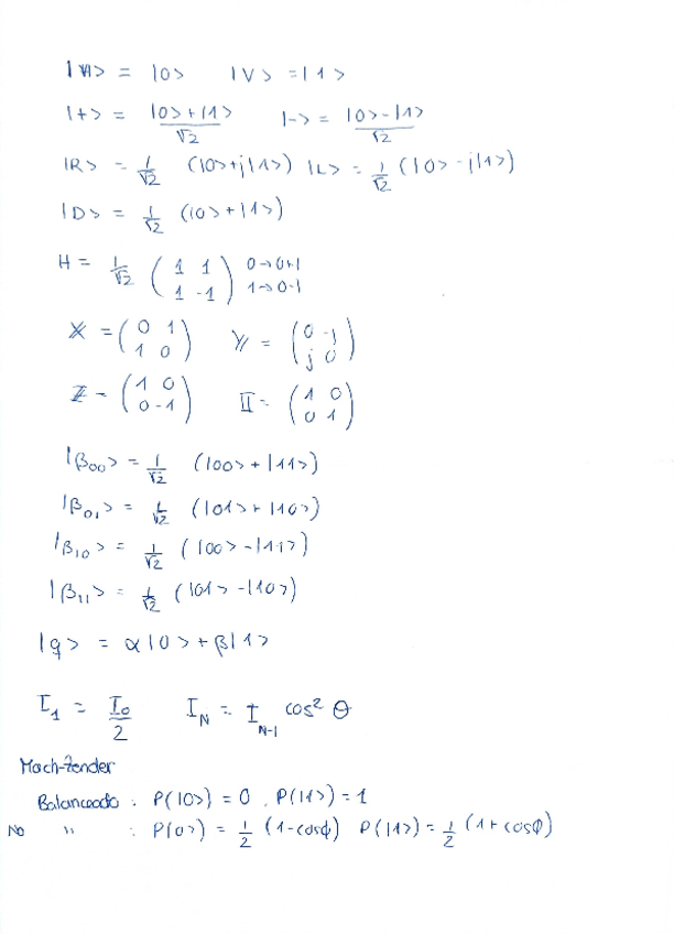
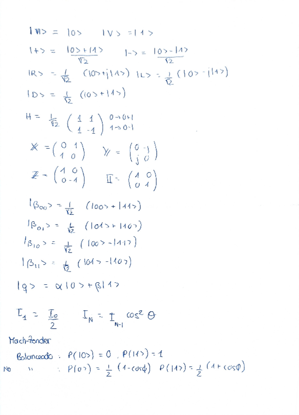
He publicado nuevos apuntes de 4º Tecnologies d'Informació Quàntica: Formulari-TIQ.pdf

2 páginas

He publicado nuevos apuntes de 4º Tecnologies d'Informació Quàntica: U1.-Introduction-to-Quantum-Physics.pdf

11 páginas

He publicado nuevos apuntes de 4º Tecnologies d'Informació Quàntica: U4.-Quantum-Measurement.pdf

9 páginas

He publicado nuevos apuntes de 4º Tecnologies d'Informació Quàntica: U2.-Quantum-Computation.pdf

26 páginas

He publicado nuevos apuntes de 4º Tecnologies d'Informació Quàntica: U7.-Quantum-Communication.pdf

6 páginas

He publicado nuevos apuntes de 4º Tecnologies d'Informació Quàntica: U6.-Quantum-Processors.pdf

5 páginas

He publicado nuevos apuntes de 4º Tecnologies d'Informació Quàntica: Practica-C2-TIQ.pdf

5 páginas

He publicado nuevos apuntes de 4º Tecnologies d'Informació Quàntica: Practica-C1.pdf

10 páginas

He publicado nuevos apuntes de 4º Tecnologies d'Informació Quàntica: Practica-MQ-TIQ.pdf

8 páginas

He publicado nuevos apuntes de 4º Tecnologies d'Informació Quàntica: Practica-FQ-TIQ.pdf

21 páginas
Anónimo

@Anónimo

He publicado nuevos examenes de 4º Tecnologies d'Informació Quàntica: Enunciado-Control-2-2323-Q2.pdf

2 páginas
Anónimo

@Anónimo

He publicado nuevos examenes de 4º Tecnologies d'Informació Quàntica: Enunciado-FQ-2324-Q2.pdf

2 páginas
Anónimo

@Anónimo

He publicado nuevos examenes de 4º Tecnologies d'Informació Quàntica: Enunciado-MQ-2324-Q2.pdf

2 páginas
Anónimo

@Anónimo

He publicado nuevos otros de 4º Tecnologies d'Informació Quàntica: Formulario-MQ.pdf

2 páginas
Anónimo

@Anónimo

He publicado nuevos otros de 4º Tecnologies d'Informació Quàntica: Formulario-FQ.pdf

2 páginas
¡Estás al día!

¡Estás al día!

Has visto todos los archivos