chevron_left
chevron_right
Todo
Apuntes
Ejercicios
Exámenes
Test
chevron_left
chevron_right
Anónimo

@Anónimo

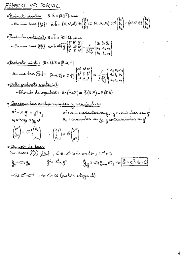
He publicado nuevos apuntes de 2º Teoría de Campos: Formulario-T3.pdf

1 página

examenes

-

Ordinario 2024/2025

Examen Ordinario de Teoría de Campos (2024/2025), junto con los errores más habituales del mismo.

Ordinario_Campos_2025.pdf
Errores_Ordinario_Campos_2025.pdf
Anónimo

@Anónimo

He publicado nuevos apuntes de 2º Teoría de Campos: Formulario-T2-Campos.pdf

1 página
Anónimo

@Anónimo

He publicado nuevos apuntes de 2º Teoría de Campos: Formulario-T1-Campos.pdf

1 página

He publicado nuevos test de 2º Teoría de Campos: test-2-13112025.pdf

8 páginas

“Tensores ortogonales” y “Tensores simétricos y representación espectral” (secciones 2.10 y 2.12 de los apuntes del Tema 1) + Tema 2 hasta e incluyendo el “Operador divergencia” (hasta e incluyendo sección 3.6 de los apuntes del Tema 2).

21 páginas

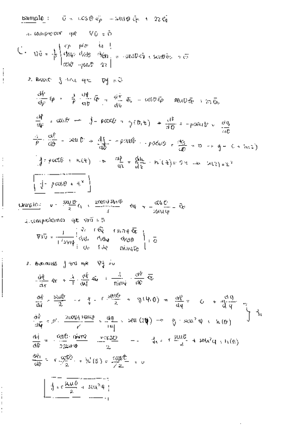
Son los ejercicios del PDF que van actualizando según se van desarrollando las clases semana a semana.

27 páginas

El temario cubierto por el Test 1 corresponde a todo el Tema 1 (Álgebra tensorial), excepto "Tensores ortogonales" y "Tensores simétricos y representación espectral"

22 páginas

He publicado nuevos test de 2º Teoría de Campos: test12025.pdf

2 páginas

apuntes

-

test campos

He publicado nuevos apuntes de 2º Teoría de Campos: test campos

test-2-2022-rep.pdf
test-2-2023.pdf
test-1-2023.pdf
test-1-2022.pdf

EXTRAORDINARIO JUNIO 2025

10 páginas

He publicado nuevos apuntes de 2º Teoría de Campos: Teoria-Campos.pdf

14 páginas

He publicado nuevos apuntes de 2º Teoría de Campos: Apuntes-Teoria-de-Campos.pdf

81 páginas

apuntes

-

Examenes 2022-2024

He publicado nuevos apuntes de 2º Teoría de Campos: Examenes 2022-2024

extra2024.pdf
ord2024.pdf
extra2023.pdf
ord2023.pdf
extra2022.pdf
ord2022.pdf

He publicado nuevos examenes de 2º Teoría de Campos: test-2-13-11-2024.pdf

4 páginas

He publicado nuevos examenes de 2º Teoría de Campos: test-1-09-10-2024.pdf

4 páginas

He publicado nuevos examenes de 2º Teoría de Campos: test-2-15-11-2023.pdf

4 páginas

He publicado nuevos examenes de 2º Teoría de Campos: test-1-11-10-2023.pdf

4 páginas

apuntes

-

Teoría de Campos

He publicado nuevos apuntes de 2º Teoría de Campos: Teoría de Campos

Capitulo-1.pdf
Capitulo2.pdf
Capitulo-3.pdf
Capitulo-4.pdf

He publicado nuevos apuntes de 2º Teoría de Campos: T3-Apuntes-y-ejercicios.pdf

82 páginas

He publicado nuevos apuntes de 2º Teoría de Campos: T2-Apuntes-y-ejercicios.pdf

60 páginas

He publicado nuevos apuntes de 2º Teoría de Campos: T4-Potencial-Vectorial-y-escalar-ejercicios-y-apuntes.pdf

12 páginas

He publicado nuevos apuntes de 2º Teoría de Campos: Resumenes-y-coleccion-grande.pdf

76 páginas

apuntes

-

T1 ALGEBRA TENSORIAL

He publicado nuevos apuntes de 2º Teoría de Campos: T1 ALGEBRA TENSORIAL

Teoria-T1-Algebra-Tensorial.pdf
EJ-T1-Algebra-Tensorial.pdf

He publicado nuevos apuntes de 2º Teoría de Campos: Teoria-de-Campos.pdf

21 páginas

He publicado nuevos apuntes de 2º Teoría de Campos: Tema-3-Teorema-integrales.pdf

16 páginas

He publicado nuevos examenes de 2º Teoría de Campos: junio2023-solucion.pdf

8 páginas

He publicado nuevos apuntes de 2º Teoría de Campos: campos-4.pdf

70 páginas

He publicado nuevos apuntes de 2º Teoría de Campos: Formulario-T.Campos.pdf

1 página
Anónimo

@Anónimo

He publicado nuevos apuntes de 2º Teoría de Campos: TEMA-3-CAMPOS.pdf

21 páginas

He publicado nuevos apuntes de 2º Teoría de Campos: Bloque-2-Campos.pdf

2 páginas

He publicado nuevos apuntes de 2º Teoría de Campos: Bloque-1-Campos.pdf

2 páginas

He publicado nuevos apuntes de 2º Teoría de Campos: Formulario Tema 2. Campos Tensoriales y Operadores Diferenciales.pdf

4 páginas
Anónimo

@Anónimo

He publicado nuevos apuntes de 2º Teoría de Campos: TEMA-2-CAMPOS.pdf

23 páginas
Anónimo

@Anónimo

ejercicios

-

Ejercicios resueltos academia

He publicado nuevos ejercicios de 2º Teoría de Campos: Ejercicios resueltos academia

Clase-1512.pdf
Clase-1810.pdf
Clase-1811.pdf
Clase-Dia-112.pdf
Clase-Dia-0211.pdf
Clase-Dia-410.pdf
Anónimo

@Anónimo

apuntes

-

Cursillo Castiñeira 2022

He publicado nuevos apuntes de 2º Teoría de Campos: Cursillo Castiñeira 2022

cursillocamposcasti.pdf

apuntes

-

Teoría de Campos

He publicado nuevos apuntes de 2º Teoría de Campos: Teoría de Campos

Ejercicios-Campos.pdf
Anónimo

@Anónimo

apuntes

-

Teoría Academia

Castiñeira

Teoria-Campos-Cap1.pdf
Teoria-Campos-Cap2BF.pdf
3-teoria.pdf
Anónimo

@Anónimo

examenes

-

Exámenes 2022

He publicado nuevos examenes de 2º Teoría de Campos: Exámenes 2022

Junio22TC.pdf
Anónimo

@Anónimo

He publicado nuevos apuntes de 2º Teoría de Campos: TEMA-1-CAMPOS.pdf

26 páginas

apuntes

-

Teoria de Campos

Apuntes y Exámenes resueltos 22/23

Teoria-de-Campos.pdf
Examenes.pdf
Examenes-2.pdf

He publicado nuevos ejercicios de 2º Teoría de Campos: EJERS-TEMA-2-CAMPOS.pdf

12 páginas

apuntes

-

TEORÍA CLASE

He publicado nuevos apuntes de 2º Teoría de Campos: TEORÍA CLASE

CAPITULO-1-CAMPOS.pdf
CAPITULO-2-CAMPOS.pdf
CAPITULO-3-CAMPOS.pdf
CAPITULO-4-CAMPOS.pdf

He publicado nuevos examenes de 2º Teoría de Campos: examenjunioresuelto.pdf

11 páginas

He publicado nuevos examenes de 2º Teoría de Campos: enero-2023-soluciones.pdf

10 páginas

He publicado nuevos test de 2º Teoría de Campos: tipo-text-examen-resuelto.pdf

4 páginas

He publicado nuevos examenes de 2º Teoría de Campos: examenresueltoenero2122.pdf

12 páginas

He publicado nuevos test de 2º Teoría de Campos: tipo-text-1-resuelto.pdf

4 páginas

apuntes

-

Toería de Campos Apuntes y Ejercicios

He publicado nuevos apuntes de 2º Teoría de Campos: Toería de Campos Apuntes y Ejercicios

Bloque3Campos.pdf
EjerciciosCampos.pdf
Bloque1Camposmerged.pdf
Bloque2Campos.pdf
TestsCampos1y2.pdf

He publicado nuevos apuntes de 2º Teoría de Campos: Capitulo-3-Integracion-Ta-Campos-Apunt.pdf

16 páginas

He publicado nuevos apuntes de 2º Teoría de Campos: Demostraciones - T. Campos.Demostraciones y formulario examen

3 páginas

Formulario y teoría esquematizada

13 páginas

He publicado nuevos examenes de 2º Teoría de Campos: Test2.pdf

8 páginas

He publicado nuevos examenes de 2º Teoría de Campos: Test1.pdf

8 páginas

He publicado nuevos apuntes de 2º Teoría de Campos: FÓRMULAS COMPLETAS.pdf

14 páginas

He publicado nuevos ejercicios de 2º Teoría de Campos: RECOPILACION.pdf

91 páginas

He publicado nuevos apuntes de 2º Teoría de Campos: Apuntes-Teoria-de-Campos.pdf

76 páginas

He publicado nuevos apuntes de 2º Teoría de Campos: Teoria-de-campos.pdf

96 páginas
Anónimo

@Anónimo

He publicado nuevos examenes de 2º Teoría de Campos: EXAMENES-2013-2017.pdf

96 páginas
Anónimo

@Anónimo

He publicado nuevos examenes de 2º Teoría de Campos: TODOS.pdf

51 páginas