Teoria de Circuitos y Maquinas Electricas

chevron_left
chevron_right
Todo
Apuntes
Ejercicios
Exámenes
Prácticas
chevron_left
chevron_right

Preguntas de teoría que han caído en exámenes de años anteriores.

9 páginas

He publicado nuevos apuntes de 2º Teoria de Circuitos y Maquinas Electricas: Resumen fórmulas.pdf

6 páginas

ejercicio trifasica resuelto

2 páginas

examenes

-

Problemas trifásica años anteriores

Problemas largos de trifásica resueltos.

Trifasica-2010-FEB.pdf
Trifasica-2010-NOV.pdf
Trifasica-2011-SEPT.pdf
Trifasica-2012-FEB.pdf
Trifasica-2013-FEB.pdf
Trifasica-2013-SEPT.pdf

examenes

-

Cuestiones años anteriores

Cuestiones breves de monofásica, transformadores, máquinas eléctricas y circuitos magnéticos resueltas.

Cuestiones-2010-FEB.pdf
Cuestiones-2010-NOV.pdf
Cuestiones-2010-SEPT.pdf
Cuestiones-2011-FEB.pdf
Cuestiones-2011-SEPT.pdf
Cuestiones-2012-FEB.pdf
Anónimo

@Anónimo

Ejercicios trifásica parte 5: ¡¡tipo examen!!

Miniatura no disponible
https://wuolah.com/apuntes/teoria-de-circuitos-y-maquinas-electricas/ejs-trifasica-parte-5-231227-120316-pdf-11418742?utm_source=wuolah&utm_medium=referral&utm_campaign=file-sharefile&referral=__b__805
Anónimo

@Anónimo

Ejercicios trifásica parte 4: ¡¡tipo examen!!

Miniatura no disponible
https://wuolah.com/apuntes/teoria-de-circuitos-y-maquinas-electricas/ejs-trifasica-parte-4-pdf-9544345?utm_source=wuolah&utm_medium=referral&utm_campaign=file-sharefile&referral=__b__805
Anónimo

@Anónimo

Ejercicios trifásica parte 3: ¡¡tipo examen!!

Miniatura no disponible
https://wuolah.com/apuntes/teoria-de-circuitos-y-maquinas-electricas/ejs-trifasica-parte-3-pdf-9464347?utm_source=wuolah&utm_medium=referral&utm_campaign=file-sharefile&referral=__b__805
Anónimo

@Anónimo

Ejercicios trifásica parte 2: ¡¡tipo examen!!

Miniatura no disponible
https://wuolah.com/apuntes/teoria-de-circuitos-y-maquinas-electricas/ejs-trifasica-parte-2-pdf-9397787?utm_source=wuolah&utm_medium=referral&utm_campaign=file-sharefile&referral=__b__805
Anónimo

@Anónimo

Ejercicios trifásica parte 1: ¡¡tipo examen!!

Miniatura no disponible
https://wuolah.com/apuntes/teoria-de-circuitos-y-maquinas-electricas/ejs-trifasica-parte-1-pdf-9396611?utm_source=wuolah&utm_medium=referral&utm_campaign=file-sharefile&referral=__b__805
Anónimo

@Anónimo

Ejs trafos monofásicos exámenes

Miniatura no disponible
https://wuolah.com/apuntes/teoria-de-circuitos-y-maquinas-electricas/ejs-trafos-monofasicos-pdf-9669132?utm_source=wuolah&utm_medium=referral&utm_campaign=file-sharefile&referral=__b__805
Anónimo

@Anónimo

Teoría sobre circuitos magnéticos: pregunta corta de teoría

Miniatura no disponible
https://wuolah.com/apuntes/teoria-de-circuitos-y-maquinas-electricas/circuitos-magneticos-pdf-9712957?utm_source=wuolah&utm_medium=referral&utm_campaign=file-sharefile&referral=__b__805
Anónimo

@Anónimo

Ejercicios trafos trifásicos tipo examen

Miniatura no disponible
https://wuolah.com/apuntes/teoria-de-circuitos-y-maquinas-electricas/ejs-trafos-trifasicos-pdf-11418753?utm_source=wuolah&utm_medium=referral&utm_campaign=file-sharefile&referral=__b__805

He publicado nuevos apuntes de 2º Teoria de Circuitos y Maquinas Electricas: Teoria-junio-2010.pdf

1 página

He publicado nuevos apuntes de 2º Teoria de Circuitos y Maquinas Electricas: Transformadores.pdf

1 página

He publicado nuevos apuntes de 2º Teoria de Circuitos y Maquinas Electricas: Teoria-de-transformadores.pdf

1 página

He publicado nuevos apuntes de 2º Teoria de Circuitos y Maquinas Electricas: Teoria.pdf

1 página

He publicado nuevos apuntes de 2º Teoria de Circuitos y Maquinas Electricas: Septiembre-2020.pdf

1 página

He publicado nuevos apuntes de 2º Teoria de Circuitos y Maquinas Electricas: Septiembre-2010.pdf

1 página

He publicado nuevos apuntes de 2º Teoria de Circuitos y Maquinas Electricas: Septiembre-2015.pdf

1 página

He publicado nuevos apuntes de 2º Teoria de Circuitos y Maquinas Electricas: Septiembre-2009-2019.pdf

1 página

He publicado nuevos apuntes de 2º Teoria de Circuitos y Maquinas Electricas: Recuperacion-2022.pdf

1 página

He publicado nuevos apuntes de 2º Teoria de Circuitos y Maquinas Electricas: Propuesto-tranfotmadores.pdf

1 página

He publicado nuevos apuntes de 2º Teoria de Circuitos y Maquinas Electricas: Problema-1.22-motor-.pdf

1 página

He publicado nuevos apuntes de 2º Teoria de Circuitos y Maquinas Electricas: Prob.-Frayle-mora.pdf

1 página

He publicado nuevos apuntes de 2º Teoria de Circuitos y Maquinas Electricas: Noviembre-2022.pdf

1 página

He publicado nuevos apuntes de 2º Teoria de Circuitos y Maquinas Electricas: Prob-libro-circuitos-13.5-13.7.pdf

1 página

He publicado nuevos apuntes de 2º Teoria de Circuitos y Maquinas Electricas: Noviembre-2022-2.pdf

1 página

He publicado nuevos apuntes de 2º Teoria de Circuitos y Maquinas Electricas: Noviembre-2021.pdf

1 página

He publicado nuevos apuntes de 2º Teoria de Circuitos y Maquinas Electricas: Motor-paso-a-paso-reluctancia-variable.pdf

1 página

He publicado nuevos apuntes de 2º Teoria de Circuitos y Maquinas Electricas: Maquinas-electricas.pdf

1 página

He publicado nuevos apuntes de 2º Teoria de Circuitos y Maquinas Electricas: Frayle-3.51.pdf

1 página

He publicado nuevos apuntes de 2º Teoria de Circuitos y Maquinas Electricas: Frayle-3.47.pdf

1 página

He publicado nuevos apuntes de 2º Teoria de Circuitos y Maquinas Electricas: FOCAULT-Teoria-noviembre-2022.pdf

1 página

He publicado nuevos apuntes de 2º Teoria de Circuitos y Maquinas Electricas: Febrero-2022.pdf

1 página

He publicado nuevos apuntes de 2º Teoria de Circuitos y Maquinas Electricas: Febrero-2019-trifasica.pdf

1 página

He publicado nuevos apuntes de 2º Teoria de Circuitos y Maquinas Electricas: Febrero-2018.pdf

1 página

He publicado nuevos apuntes de 2º Teoria de Circuitos y Maquinas Electricas: Febrero-2018-2.pdf

1 página

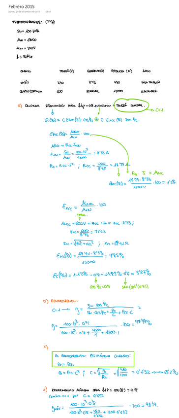
He publicado nuevos apuntes de 2º Teoria de Circuitos y Maquinas Electricas: Febrero-2015.pdf

1 página

He publicado nuevos apuntes de 2º Teoria de Circuitos y Maquinas Electricas: Febrero-2014.pdf

1 página

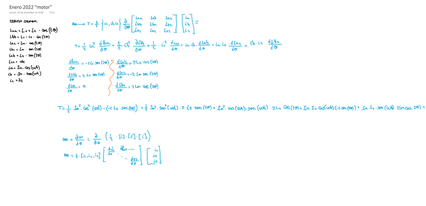
He publicado nuevos apuntes de 2º Teoria de Circuitos y Maquinas Electricas: Enero-2022-motor.pdf

1 página

He publicado nuevos apuntes de 2º Teoria de Circuitos y Maquinas Electricas: Febrero-2013.pdf

1 página

He publicado nuevos apuntes de 2º Teoria de Circuitos y Maquinas Electricas: Energia-y-coenergia-magnetica.pdf

1 página

He publicado nuevos apuntes de 2º Teoria de Circuitos y Maquinas Electricas: Ejercicio-propuesto.pdf

1 página

He publicado nuevos examenes de 2º Teoria de Circuitos y Maquinas Electricas: Demostrar-que-es-y-de-donde-viene.pdf

1 página

He publicado nuevos apuntes de 2º Teoria de Circuitos y Maquinas Electricas: Aclaracion-aaron-y-relacion-maquinas-electricas.pdf

1 página

He publicado nuevos examenes de 2º Teoria de Circuitos y Maquinas Electricas: 3.42-Frayle.pdf

1 página

He publicado nuevos examenes de 2º Teoria de Circuitos y Maquinas Electricas: 3.44-frayle.pdf

1 página
Anónimo

@Anónimo

He publicado nuevos ejercicios de 2º Teoria de Circuitos y Maquinas Electricas: Ejs-alterna-monofasica-parte-2.pdf

10 páginas
Anónimo

@Anónimo

He publicado nuevos ejercicios de 2º Teoria de Circuitos y Maquinas Electricas: Ejs-alterna-monofasica-parte-1.pdf

17 páginas

apuntes

-

APUNTES TCyME

He publicado nuevos apuntes de 2º Teoria de Circuitos y Maquinas Electricas: APUNTES TCyME

Resumen-de-contenidos-y-formulas.pdf
PREGUNTAS-TEORIA-DE-CIRCUITOS-Y-MAQUINAS-ELECTRICAS.pdf
FORMULARIO-CIRCUITOS.pdf
Calculo-de-tensiones-e-Intensidades-en-trifasica.pdf
APUNTES-TRIFASICA-OTROS.pdf
APUNTES-TCyME.pdf

practicas

-

PRACTICAS

He publicado nuevos practicas de 2º Teoria de Circuitos y Maquinas Electricas: PRACTICAS

verificacion-analitica-vacio.pdf
verificacion-analitica-cortocircuito.pdf
Practica-5.pdf
Practica-4.pdf
Practica-3.pdf
Practica-2.pdf

examenes

-

ENUNCIADOS EXAMENES

He publicado nuevos examenes de 2º Teoria de Circuitos y Maquinas Electricas: ENUNCIADOS EXAMENES

EXAMEN-SEPTIEMBRE-2019-1.pdf
EXAMEN-SEPTIEMBRE-2018-3.pdf
EXAMEN-SEPTIEMBRE-2017-4.pdf
EXAMEN-SEPTIEMBRE-2015-3.pdf
EXAMEN-SEPTIEMBRE-2014-2.pdf
EXAMEN-SEPTIEMBRE-2013-5.pdf

examenes

-

PROBLEMAS DE EXAMEN

He publicado nuevos examenes de 2º Teoria de Circuitos y Maquinas Electricas: PROBLEMAS DE EXAMEN

P22-1-RP-Dic17Sep09Sep19.pdf
P21-4-Sep17-falta-c-Motor-triangulo-y-estrella.pdf
P21-3-Sep17-falta-c-Motor-triangulo-y-estrella.pdf
P21-2-Sep17-falta-c-Motor-triangulo-y-estrella.pdf
P21-1-Sep17-falta-c-Motor-triangulo-y-estrella.pdf
P20-1-Sep18.pdf

examenes

-

EJER Y CUESTIONES EXAM

He publicado nuevos examenes de 2º Teoria de Circuitos y Maquinas Electricas: EJER Y CUESTIONES EXAM

Teoria-Nov221.pdf
Teoria-1-Sep17.pdf
E35-3-Feb16-calculo-parametros.pdf
E35-2-Feb16-calculo-parametros.pdf
E35-1-Feb16-calculo-parametros.pdf
E34-3-Feb19-Superposicion.pdf