Teoria de la Comunicació

chevron_left
chevron_right
Todo
Apuntes
Exámenes
chevron_left
chevron_right

He publicado nuevos apuntes de 3º Teoria de la Comunicació: APUNTS TC: 1r Parcial.pdf

20 páginas

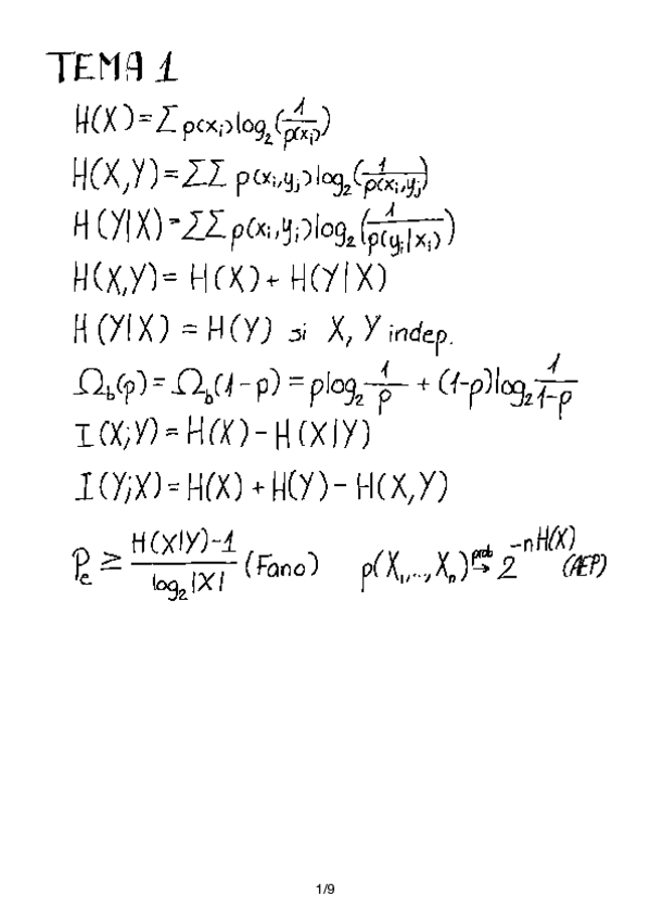
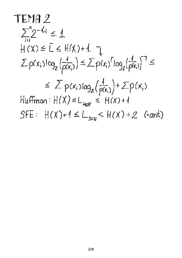
He publicado nuevos apuntes de 3º Teoria de la Comunicació: Formulas-TC.pdf

9 páginas

Contingut examen TDC part Alfons

8 páginas
Anónimo

@Anónimo

examenes

-

ColeccionParciales

He publicado nuevos examenes de 3º Teoria de la Comunicació: ColeccionParciales

coleccionParcial1.pdf
coleccionParcial2.pdf

He publicado nuevos apuntes de 3º Teoria de la Comunicació: PreparacionexamenpracticasTC.zip

Miniatura no disponible
zip

He publicado nuevos apuntes de 1º Teoria de la Comunicació: APUNTS-TEORIA-DE-LA-COMUNICACIO.pdf

19 páginas

He publicado nuevos apuntes de 1º Teoria de la Comunicació: Apunts-examen-GUZMAN.pdf

70 páginas

He publicado nuevos apuntes de 1º Teoria de la Comunicació: TEORIA-DE-LA-COMUNICACIO-ALFONS.pdf

32 páginas

apuntes

-

Apunts Teoria comunicació

He publicado nuevos apuntes de 1º Teoria de la Comunicació: Apunts Teoria comunicació

Apunts-teoria-de-la-comunicacio-2.pdf
APUNTS-Teoria-comunicacio-1.pdf

He publicado nuevos apuntes de 1º Teoria de la Comunicació: APUNTS-T.pdf

21 páginas
Anónimo

@Anónimo

He publicado nuevos examenes de 1º Teoria de la Comunicació: EXAMEN-VERSIO-A-MATINS.docx

word
Anónimo

@Anónimo

He publicado nuevos apuntes de 1º Teoria de la Comunicació: ESQUEMA-COM.png

Imagen

apuntes

-

Teoria de la Comunicació COMPLETA

He publicado nuevos apuntes de 2º Teoria de la Comunicació: Teoria de la Comunicació COMPLETA

T3-Glosario.pdf
T2-Respuestas-actividades.pdf
T1-Respuestas-actividades.pdf
T2-Glosario.pdf
T4-Glosario.pdf
T5-Respuestas-actividades.pdf

He publicado nuevos apuntes de 3º Teoria de la Comunicació: SCAN.pdf

76 páginas
¡Estás al día!

¡Estás al día!

Has visto todos los archivos