chevron_left
chevron_right
Todo
Apuntes
Exámenes
chevron_left
chevron_right

He publicado nuevos apuntes de 3º Teoria de la Comunicació: APUNTS TC: 1r Parcial.pdf

20 páginas

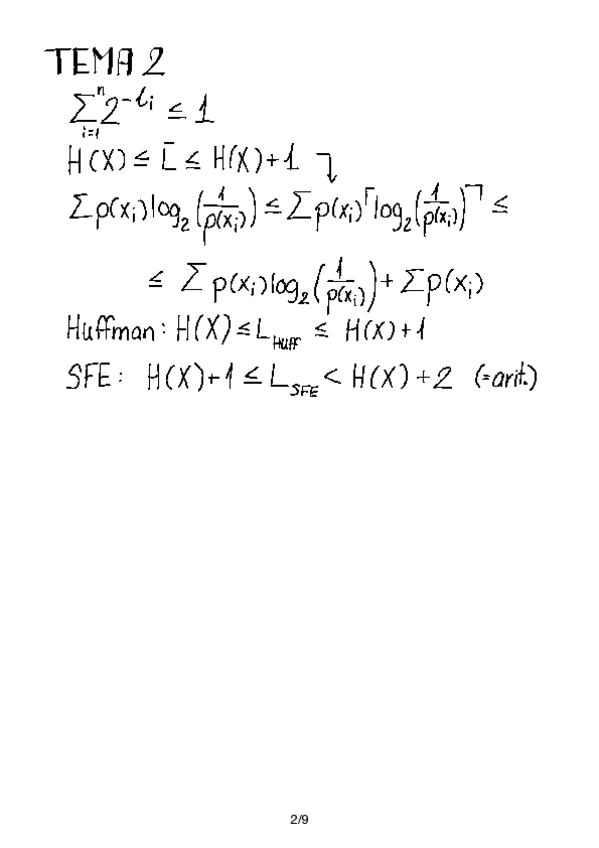
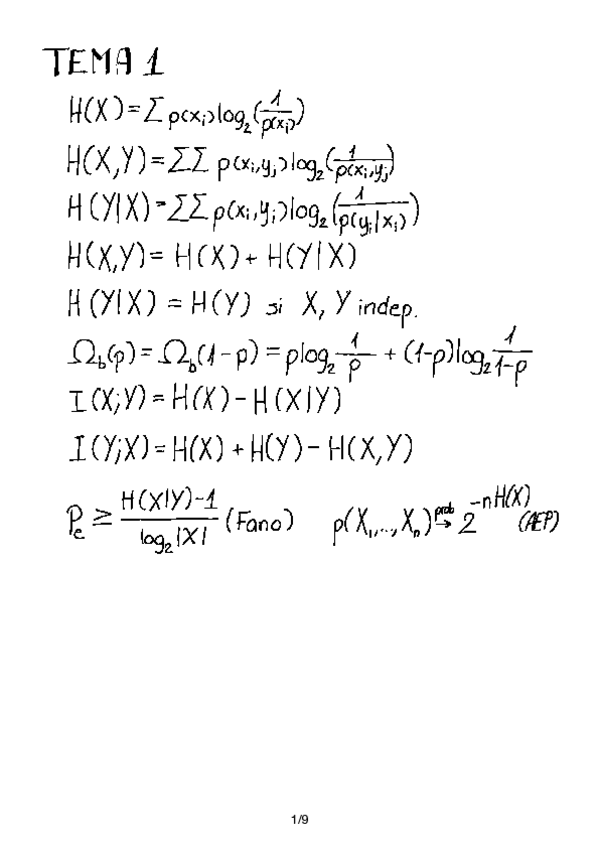
He publicado nuevos apuntes de 3º Teoria de la Comunicació: Formulas-TC.pdf

9 páginas
Anónimo

@Anónimo

examenes

-

ColeccionParciales

He publicado nuevos examenes de 3º Teoria de la Comunicació: ColeccionParciales

coleccionParcial1.pdf
coleccionParcial2.pdf

He publicado nuevos apuntes de 3º Teoria de la Comunicació: PreparacionexamenpracticasTC.zip

Miniatura no disponible
zip

He publicado nuevos apuntes de 3º Teoria de la Comunicació: SCAN.pdf

76 páginas
¡Estás al día!

¡Estás al día!

Has visto todos los archivos