chevron_left
chevron_right
Todo
Apuntes
Ejercicios
chevron_left
chevron_right

He publicado nuevos apuntes de 2º Teoría de la Comunicación: APUNTES-TEMA-2.pdf

15 páginas

He publicado nuevos apuntes de 2º Teoría de la Comunicación: TEORIA-REPRESENTACION-DE-SENALES.pdf

6 páginas

He publicado nuevos ejercicios de 2º Teoría de la Comunicación: EJERCICIOS-DE-EXAMENES.pdf

25 páginas

He publicado nuevos ejercicios de 2º Teoría de la Comunicación: Soluciones-TODOS-Ejercicios-Examenes-y-clase.pdf

82 páginas

apuntes

-

Teoría de la comunicación

He publicado nuevos apuntes de 2º Teoría de la Comunicación: Teoría de la comunicación

TC-Tema-1.pdf
TC-Tema-2.pdf

He publicado nuevos apuntes de 2º Teoría de la Comunicación: TeoriaTC.pdf

18 páginas

He publicado nuevos ejercicios de 2º Teoría de la Comunicación: EjerciciosTC1920.pdf

25 páginas

ejercicios

-

Ejercicios y Exámenes para practicar

He publicado nuevos ejercicios de 2º Teoría de la Comunicación: Ejercicios y Exámenes para practicar

T2Ejercicios.pdf
T2EjerciciosSol.pdf
Examen-01.pdf
T5Ejercicios.pdf
T3EjerciciosSol.pdf
T4EjerciciosSol.pdf

apuntes

-

Soluciones Libro Haykin

He publicado nuevos apuntes de 2º Teoría de la Comunicación: Soluciones Libro Haykin

Tema3.pdf
Tema8.pdf
Tema1.pdf
Tema4.pdf
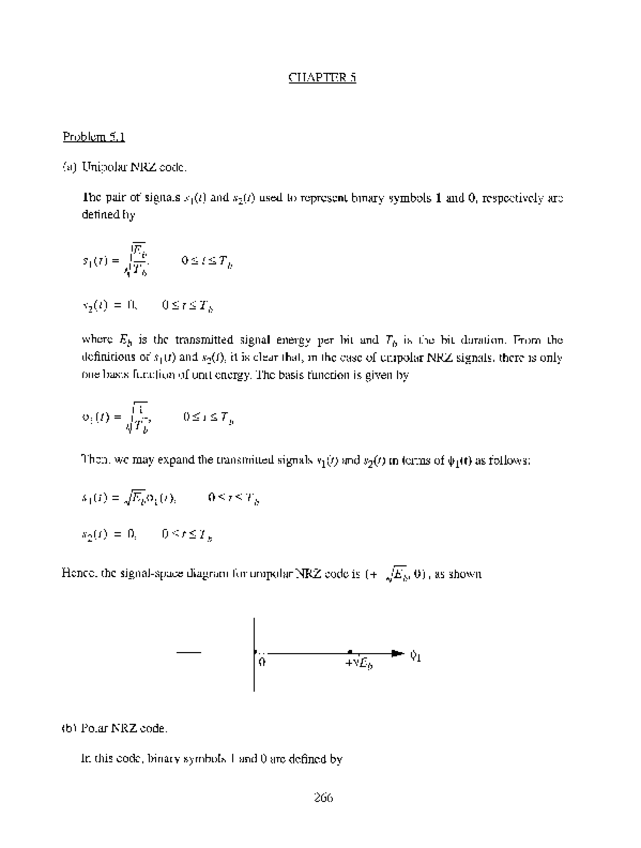
Tema5.pdf
Tema2.pdf

ejercicios

-

Problemas con solución

He publicado nuevos ejercicios de 2º Teoría de la Comunicación: Problemas con solución

ProblemasTema-2solucion.pdf
ProblemasTema4solucion.pdf
ProblemasTema3solucion.pdf

He publicado nuevos apuntes de 2º Teoría de la Comunicación: MiniResumen.pdf

6 páginas
¡Estás al día!

¡Estás al día!

Has visto todos los archivos