chevron_left
chevron_right
Todo
Apuntes
Ejercicios
Otros
chevron_left
chevron_right

He publicado nuevos ejercicios de 3º Teoría de la Probabilidad: PROBLEMAS-RESUELTOS.pdf

27 páginas

apuntes

-

APUNTES COMPLETOS de TODOS los temas

Se incluyen todas las demostraciones que se han hecho en clase, así como algunas aclaraciones dadas por el profesor.

Apuntes-Tema-1-Vectores-Aleatorios.-Funcion-de-Distribucionwatermarked.pdf
Apuntes-Tema-2-Clasificacion-de-vectores-aleatorios.-Distribucion-condicionadas-e-independenciawatermarked.pdf
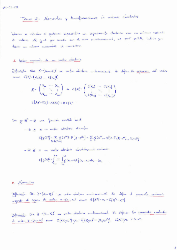
Apuntes-Tema-3-Momentos-y-transformaciones-de-vectores-aleatorioswatermarked.pdf
Apuntes-Tema-4-Esperanza-condicionada.-Regresion-y-correlacionwatermarked.pdf
Apuntes-Tema-5-Algunas-distribuciones-multidimensionaleswatermarked.pdf

He publicado nuevos ejercicios de 3º Teoría de la Probabilidad: TP-Problemas-resueltos.pdf

30 páginas

apuntes

-

Apuntes completos

He publicado nuevos apuntes de 3º Teoría de la Probabilidad: Apuntes completos

TP-Apuntes-Tema-1.pdf
TP-Apuntes-Tema-2.pdf
TP-Apuntes-Tema-3.pdf
TP-Apuntes-Tema-4.pdf
TP-Apuntes-Tema-5.pdf

He publicado nuevos otros de 3º Teoría de la Probabilidad: Chris-Delcourt.png

Imagen
¡Estás al día!

¡Estás al día!

Has visto todos los archivos