Teoría de Máquinas y Mecanismos

chevron_left
chevron_right
Todo
Apuntes
Ejercicios
Exámenes
Otros
Prácticas
publication
chevron_left
chevron_right

apuntes

-

Resúmenes por temas

Os dejo unos apuntes con información conjunta de las diapositivas, apuntes de clase y el libro de texto Fundamentos de Mecanismos y Máquinas para Ingenieros hechos en XMind.

TEMA-1.-Introduccion-a-la-Teoria-de-Maquinas-y-Mecanismos.pdf

apuntes

-

Exámenes tipo test con solución

Os dejo unos exámenes generados por IA tras sintetizar varios de mis apuntes de la asignatura. Lo tenéis clasificados por temas y por niveles de dificultad.

Tema1-TestDe30PreguntasLevelEasy.pdf

He publicado nuevos apuntes de 3º Teoría de Máquinas y Mecanismos: Ejercicios-segundo-parcial-resueltos.pdf

38 páginas

He publicado nuevos apuntes de 3º Teoría de Máquinas y Mecanismos: Problemas-resueltos.pdf

28 páginas

He publicado nuevos apuntes de 3º Teoría de Máquinas y Mecanismos: Problemas-Cinematica.pdf

20 páginas

He publicado nuevos apuntes de 3º Teoría de Máquinas y Mecanismos: Resumen-tema-1.pdf

6 páginas

He publicado nuevos apuntes de 3º Teoría de Máquinas y Mecanismos: 2017-Junio-Sintesis.pdf

2 páginas

He publicado nuevos apuntes de 3º Teoría de Máquinas y Mecanismos: 2017-Junio-Engranajes-Solucion.pdf

2 páginas

He publicado nuevos apuntes de 3º Teoría de Máquinas y Mecanismos: 2017-Junio-CyD.pdf

1 página

He publicado nuevos apuntes de 3º Teoría de Máquinas y Mecanismos: 2017-Junio-CyD-Solucion.pdf

2 páginas

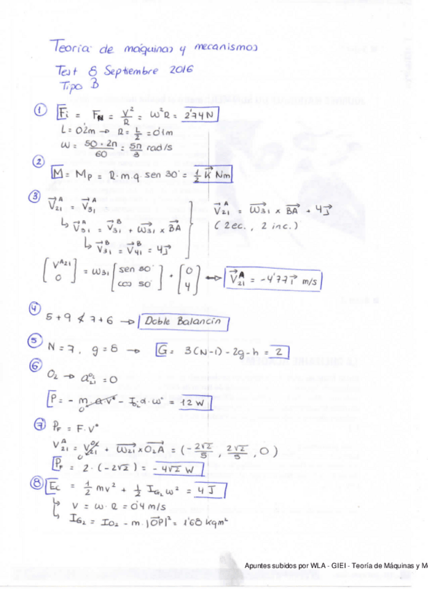
He publicado nuevos apuntes de 3º Teoría de Máquinas y Mecanismos: 2016-Septiembre-Test.pdf

3 páginas

He publicado nuevos apuntes de 3º Teoría de Máquinas y Mecanismos: 2016-Septiembre-Test-Solucion.pdf

2 páginas

He publicado nuevos apuntes de 3º Teoría de Máquinas y Mecanismos: 2016-Septiembre-Levas.pdf

3 páginas

He publicado nuevos apuntes de 3º Teoría de Máquinas y Mecanismos: 2016-Septiembre-Levas-Solucion.pdf

1 página

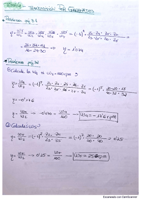
He publicado nuevos apuntes de 3º Teoría de Máquinas y Mecanismos: 2016-Septiembre-Engranajes.pdf

4 páginas

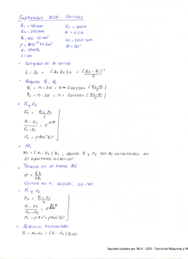
He publicado nuevos apuntes de 3º Teoría de Máquinas y Mecanismos: 2016-Septiembre-Correas.pdf

3 páginas

He publicado nuevos apuntes de 3º Teoría de Máquinas y Mecanismos: 2016-Septiembre-Correas-Solucion.pdf

1 página

He publicado nuevos apuntes de 3º Teoría de Máquinas y Mecanismos: Trucos-Engranajes.pdf

1 página

He publicado nuevos apuntes de 3º Teoría de Máquinas y Mecanismos: RESUMEN.pdf

2 páginas

He publicado nuevos apuntes de 3º Teoría de Máquinas y Mecanismos: Practica-2.-Ley-de-Grashof-y-Angulo-de-Transmision.pdf

2 páginas

He publicado nuevos apuntes de 3º Teoría de Máquinas y Mecanismos: 2017-Septiembre-Test.pdf

4 páginas

He publicado nuevos apuntes de 3º Teoría de Máquinas y Mecanismos: 2017-Septiembre-Sintesis.pdf

2 páginas

He publicado nuevos apuntes de 3º Teoría de Máquinas y Mecanismos: 2017-Septiembre-Levas-y-Correas.pdf

1 página

He publicado nuevos apuntes de 3º Teoría de Máquinas y Mecanismos: 2017-Noviembre-CyD.pdf

3 páginas

He publicado nuevos apuntes de 3º Teoría de Máquinas y Mecanismos: 2017-Junio-Test.pdf

3 páginas

He publicado nuevos apuntes de 3º Teoría de Máquinas y Mecanismos: 2017-Junio-Test-Solucion.pdf

1 página

He publicado nuevos apuntes de 3º Teoría de Máquinas y Mecanismos: 2016-Junio-Test-Solucion.pdf

1 página

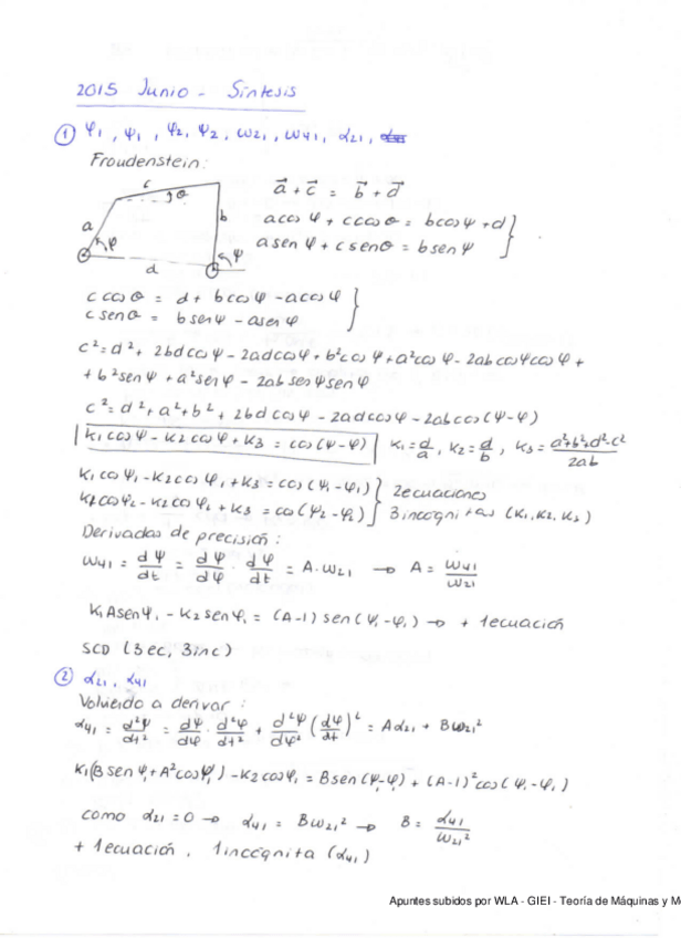
He publicado nuevos apuntes de 3º Teoría de Máquinas y Mecanismos: 2016-Junio-Sintesis.pdf

1 página

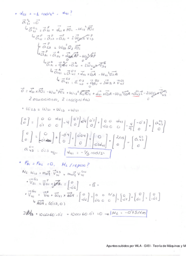
He publicado nuevos apuntes de 3º Teoría de Máquinas y Mecanismos: 2016-Junio-Sintesis-Solucion.pdf

1 página

He publicado nuevos apuntes de 3º Teoría de Máquinas y Mecanismos: 2016-Junio-Levas.pdf

3 páginas

He publicado nuevos apuntes de 3º Teoría de Máquinas y Mecanismos: 2016-Junio-Levas-Solucion.pdf

1 página

He publicado nuevos apuntes de 3º Teoría de Máquinas y Mecanismos: 2016-Junio-Engranajes.pdf

6 páginas

He publicado nuevos apuntes de 3º Teoría de Máquinas y Mecanismos: 2016-Junio-Engranajes-Solucion.pdf

2 páginas

He publicado nuevos apuntes de 3º Teoría de Máquinas y Mecanismos: 2016-Noviembre-Sintesis.pdf

3 páginas

He publicado nuevos apuntes de 3º Teoría de Máquinas y Mecanismos: 2016-Noviembre-Test-Solucion.pdf

1 página

He publicado nuevos apuntes de 3º Teoría de Máquinas y Mecanismos: 2016-Noviembre-Sintesis-Solucion.pdf

2 páginas

He publicado nuevos apuntes de 3º Teoría de Máquinas y Mecanismos: 2016-Noviembre-Levas-y-Correas.pdf

4 páginas

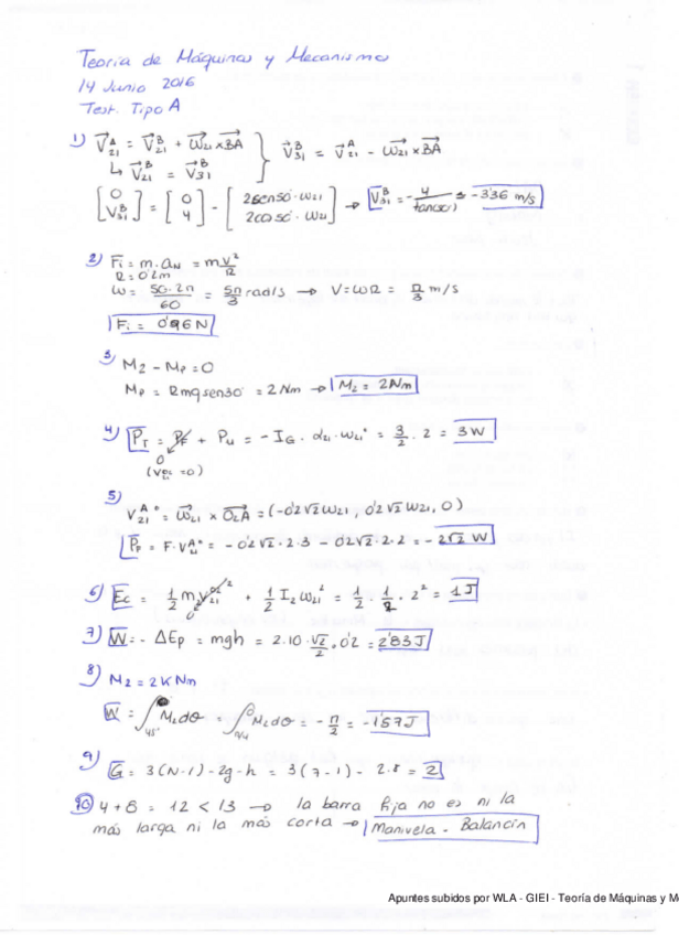
He publicado nuevos apuntes de 3º Teoría de Máquinas y Mecanismos: 2016-Junio-Test.pdf

3 páginas

He publicado nuevos apuntes de 3º Teoría de Máquinas y Mecanismos: 2015-Junio-Levas-Solucion.pdf

1 página

He publicado nuevos apuntes de 3º Teoría de Máquinas y Mecanismos: 2015-Junio-Engranajes.pdf

4 páginas

He publicado nuevos apuntes de 3º Teoría de Máquinas y Mecanismos: 2015-Junio-CyD.pdf

4 páginas

He publicado nuevos apuntes de 3º Teoría de Máquinas y Mecanismos: 2014-Septiembre-Sintesis.pdf

4 páginas

He publicado nuevos apuntes de 3º Teoría de Máquinas y Mecanismos: 2014-Septiembre-Sintesis-Solucion.pdf

1 página

He publicado nuevos apuntes de 3º Teoría de Máquinas y Mecanismos: 2014-Septiembre-Engranajes.pdf

1 página

He publicado nuevos apuntes de 3º Teoría de Máquinas y Mecanismos: 2014-Noviembre-Levas.pdf

1 página

He publicado nuevos apuntes de 3º Teoría de Máquinas y Mecanismos: 2014-Septiembre-Engranajes-Solucion.pdf

2 páginas

He publicado nuevos apuntes de 3º Teoría de Máquinas y Mecanismos: 2014-Noviembre-Levas-Solucion.pdf

1 página

He publicado nuevos apuntes de 3º Teoría de Máquinas y Mecanismos: 2014-Noviembre-Engranajes.pdf

4 páginas

He publicado nuevos apuntes de 3º Teoría de Máquinas y Mecanismos: 2014-Noviembre-CyD.pdf

4 páginas

He publicado nuevos apuntes de 3º Teoría de Máquinas y Mecanismos: 2014-Noviembre-CyD-Solucion.pdf

3 páginas

He publicado nuevos apuntes de 3º Teoría de Máquinas y Mecanismos: 2015-Junio-Levas.pdf

1 página

He publicado nuevos apuntes de 3º Teoría de Máquinas y Mecanismos: 2015-Junio-Sintesis-Solucion.pdf

1 página

He publicado nuevos apuntes de 3º Teoría de Máquinas y Mecanismos: 2015-Septiembre-Correas-Solucion.pdf

1 página

He publicado nuevos apuntes de 3º Teoría de Máquinas y Mecanismos: 2015-Noviembre-Sintesis.pdf

1 página

He publicado nuevos apuntes de 3º Teoría de Máquinas y Mecanismos: 2015-Noviembre-Sintesis-Solucion.pdf

1 página

He publicado nuevos apuntes de 3º Teoría de Máquinas y Mecanismos: 2015-Noviembre-Engranajes.pdf

5 páginas

He publicado nuevos apuntes de 3º Teoría de Máquinas y Mecanismos: 2015-Noviembre-CyD.pdf

1 página

He publicado nuevos apuntes de 3º Teoría de Máquinas y Mecanismos: 2015-Noviembre-Correas.pdf

3 páginas

He publicado nuevos apuntes de 3º Teoría de Máquinas y Mecanismos: 2015-Noviembre-Correas-Solucion.pdf

1 página

He publicado nuevos apuntes de 3º Teoría de Máquinas y Mecanismos: 2015-Junio-Sintesis.pdf

1 página