Teoría de Máquinas y Mecanismos
He publicado nuevos examenes de 2º Teoría de Máquinas y Mecanismos: Parcial-2025-2026.pdf
He publicado nuevos examenes de 2º Teoría de Máquinas y Mecanismos: Examen-octubre-2025.pdf
examenes
-
Compilación ejercicios examen convocatorias
He publicado nuevos examenes de 2º Teoría de Máquinas y Mecanismos: Compilación ejercicios examen convocatorias
He publicado nuevos apuntes de 2º Teoría de Máquinas y Mecanismos: tema-2-cinematica-maquinas.pdf
He publicado nuevos apuntes de 2º Teoría de Máquinas y Mecanismos: TEMA-1-MAQUINAS.pdf
He publicado nuevos apuntes de 2º Teoría de Máquinas y Mecanismos: TEMA-5-LEVAS.pdf
He publicado nuevos apuntes de 2º Teoría de Máquinas y Mecanismos: TEMA-4-SINTESIS.pdf
He publicado nuevos apuntes de 2º Teoría de Máquinas y Mecanismos: TEMA-3-MAQUINAS.pdf
He publicado nuevos apuntes de 2º Teoría de Máquinas y Mecanismos: Resumenes-TMaquinasyMecanismos.pdf
He publicado nuevos apuntes de 2º Teoría de Máquinas y Mecanismos: Formulario-Completo-Maquinas.pdf
He publicado nuevos apuntes de 2º Teoría de Máquinas y Mecanismos: 1Convocatoria2324.pdf
apuntes
-
EXÁMENES RESUELTOS
He publicado nuevos apuntes de 2º Teoría de Máquinas y Mecanismos: EXÁMENES RESUELTOS
He publicado nuevos apuntes de 2º Teoría de Máquinas y Mecanismos: FORMULARIO-MAQUINAS-COMPLETO.pdf
He publicado nuevos examenes de 2º Teoría de Máquinas y Mecanismos: 3-CONVO-2223.pdf
He publicado nuevos apuntes de 2º Teoría de Máquinas y Mecanismos: Formulario.pdf
He publicado nuevos ejercicios de 2º Teoría de Máquinas y Mecanismos: Ejercico-test-clase-pecera.pdf
He publicado nuevos apuntes de 2º Teoría de Máquinas y Mecanismos: Programa-teoria-de-maquinas-12-132.pdf
He publicado nuevos apuntes de 2º Teoría de Máquinas y Mecanismos: problemas3.pdf
He publicado nuevos apuntes de 2º Teoría de Máquinas y Mecanismos: problemas2.pdf
He publicado nuevos apuntes de 2º Teoría de Máquinas y Mecanismos: problemas1.pdf
He publicado nuevos apuntes de 2º Teoría de Máquinas y Mecanismos: practica4.pdf
He publicado nuevos apuntes de 2º Teoría de Máquinas y Mecanismos: practica3.pdf
He publicado nuevos apuntes de 2º Teoría de Máquinas y Mecanismos: practica2.pdf
He publicado nuevos apuntes de 2º Teoría de Máquinas y Mecanismos: practica1.pdf
He publicado nuevos apuntes de 2º Teoría de Máquinas y Mecanismos: examen-diciembre.pdf
He publicado nuevos apuntes de 2º Teoría de Máquinas y Mecanismos: TODO-lo-necesario-para-aprobar-el-examen.pdf
apuntes
-
COMO HACER TODOS EJS MAQUINAS Y FORMULARIO
He publicado nuevos apuntes de 2º Teoría de Máquinas y Mecanismos: COMO HACER TODOS EJS MAQUINAS Y FORMULARIO
examenes
-
TODOS EXAMENES EXPLICADOS
He publicado nuevos examenes de 2º Teoría de Máquinas y Mecanismos: TODOS EXAMENES EXPLICADOS
apuntes
-
APUNTES ACADEMIA
He publicado nuevos apuntes de 2º Teoría de Máquinas y Mecanismos: APUNTES ACADEMIA
Vendo libro de problemas resueltos de Maquinas
Colección de ejercicios de examen resueltos por temas

He publicado nuevos apuntes de 2º Teoría de Máquinas y Mecanismos: formulario-practicas.-Para-el-test.pdf
He publicado nuevos apuntes de 2º Teoría de Máquinas y Mecanismos: Formulario-imprescindible-de-TODOS-LOS-TEMAS.-Para-ejercicios.pdf
apuntes
-
Apuntes todos los temas (pdf+Libro).Muy completos
He publicado nuevos apuntes de 2º Teoría de Máquinas y Mecanismos: Apuntes todos los temas (pdf+Libro).Muy completos
examenes
-
1ª Convocatoria 2023 Resuelta
He publicado nuevos examenes de 2º Teoría de Máquinas y Mecanismos: 1ª Convocatoria 2023 Resuelta
He publicado nuevos apuntes de 2º Teoría de Máquinas y Mecanismos: Examen-convocatoria-2023.pdf
He publicado nuevos examenes de 2º Teoría de Máquinas y Mecanismos: Examen-1oConv-2023-Resuelto.pdf
apuntes
-
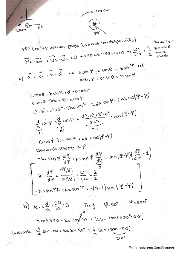
Ejercicios examen dinámica
He publicado nuevos apuntes de 2º Teoría de Máquinas y Mecanismos: Ejercicios examen dinámica
Apuntes y formulario de la asignatura completa Teoría de Máquinas y Mecanismos para el examen de la convocatoria
examenes
-
Ejercicios de examen.
He publicado nuevos examenes de 2º Teoría de Máquinas y Mecanismos: Ejercicios de examen.
apuntes
-
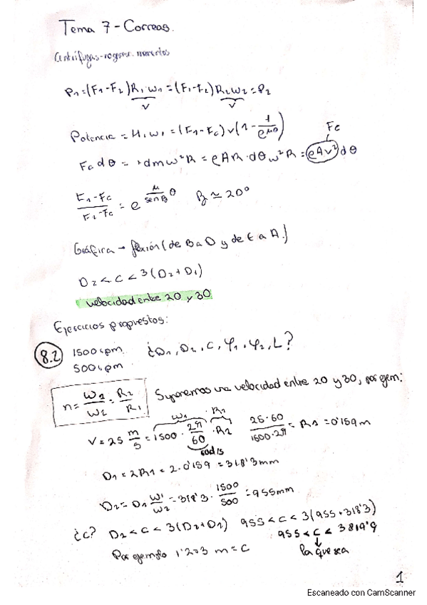
Apuntes levas, engranajes y correas
He publicado nuevos apuntes de 2º Teoría de Máquinas y Mecanismos: Apuntes levas, engranajes y correas
apuntes
-
Formulario temas Máquinas
He publicado nuevos apuntes de 2º Teoría de Máquinas y Mecanismos: Formulario temas Máquinas
He publicado nuevos examenes de 2º Teoría de Máquinas y Mecanismos: Examen-cinematica-resuelto-1-convo-2022.pdf
He publicado nuevos examenes de 2º Teoría de Máquinas y Mecanismos: Examen levas/engranajes/correas resuelto 1º convo 2022.pdf
He publicado nuevos examenes de 2º Teoría de Máquinas y Mecanismos: Examen-sintesis-resuelto-1-convo-2022.pdf
He publicado nuevos examenes de 2º Teoría de Máquinas y Mecanismos: Examen dinámica resuelto 2 convo 2021.pdf
He publicado nuevos apuntes de 2º Teoría de Máquinas y Mecanismos: Apuntes-explicados-leccion-3.pdf
He publicado nuevos apuntes de 2º Teoría de Máquinas y Mecanismos: TEST-2023.pdf
He publicado nuevos apuntes de 2º Teoría de Máquinas y Mecanismos: Test-2023.pdf
He publicado nuevos apuntes de 2º Teoría de Máquinas y Mecanismos: testabril2022resuelto.pdf
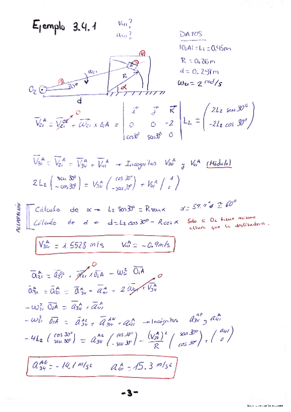
He publicado nuevos apuntes de 2º Teoría de Máquinas y Mecanismos: Cinematica-y-ejercicios.pdf
He publicado nuevos apuntes de 2º Teoría de Máquinas y Mecanismos: Sintesis-ejercicios.pdf
He publicado nuevos apuntes de 2º Teoría de Máquinas y Mecanismos: Dinamica-y-ejercicios.pdf