chevron_left
chevron_right
Todo
Apuntes
Ejercicios
Exámenes
Prácticas
Trabajos
chevron_left
chevron_right

He publicado nuevos apuntes de 2º Teoría de Máquinas: Teoria de Maquinas Ejercicios.pdf.pdf

21 páginas

Apuntes pasados a limpio con ejercicios de clase resueltos

65 páginas

He publicado nuevos ejercicios de 2º Teoría de Máquinas: Ejercicios-segundo-parcial-unido.pdf

31 páginas
Anónimo

@Anónimo

apuntes

-

Teoría

He publicado nuevos apuntes de 2º Teoría de Máquinas: Teoría

Portada.pdf
Indice.pdf
T1.pdf
T2.pdf
T3.pdf
T4.pdf

examenes

-

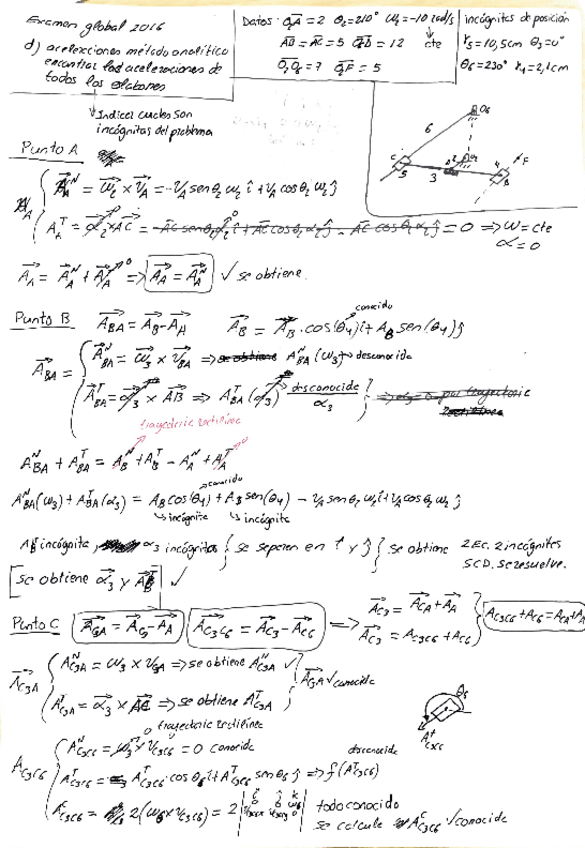
Examen global 2016

He publicado nuevos examenes de 2º Teoría de Máquinas: Examen global 2016

Examen-Global-2016-Ejercicio-1.pdf
Examen-global-2016-velocidades-grafico.pdf
Examen-global-2016-Velocidad-analitico.pdf
examen-global-2016-Apartado-aceleracion.pdf
Examen-global-2016-Raven.pdf
Examen-Global-2016-Fuerzas.pdf

apuntes

-

Ejercicios Engranajes

He publicado nuevos apuntes de 2º Teoría de Máquinas: Ejercicios Engranajes

P1.pdf
P3.pdf

examenes

-

Examenes resueltos PDF

He publicado nuevos examenes de 2º Teoría de Máquinas: Examenes resueltos PDF

Examen2P2020GITISolucion.pdf

examenes

-

Ejercicios sueltos examen años anteriores

He publicado nuevos examenes de 2º Teoría de Máquinas: Ejercicios sueltos examen años anteriores

Parcial-Abril-2018-GITI.pdf
Primer-parcial-2017-GIEL.pdf

apuntes

-

EJERCICIOS DEL CAMPUS RESUELTOS

He publicado nuevos apuntes de 2º Teoría de Máquinas: EJERCICIOS DEL CAMPUS RESUELTOS

RELACION-DE-EJERCICIOS-TEMA-2.pdf
RELACION-DE-EJERCICIOS-TEMA-3.pdf

ejercicios

-

ENTREGAS EJERCICIOS PROPUESTOS

He publicado nuevos ejercicios de 2º Teoría de Máquinas: ENTREGAS EJERCICIOS PROPUESTOS

ENTREGAS-EJERCICIOS-PROPUESTOS-CURSO-20232024.pdf
ENTREGAS-EJERCICIOS-PROPUESTOS-CURSO-20242025.pdf

apuntes

-

RESÚMENES TEORÍA POR TEMAS

He publicado nuevos apuntes de 2º Teoría de Máquinas: RESÚMENES TEORÍA POR TEMAS

TEMA-1-INTRODUCCION.pdf
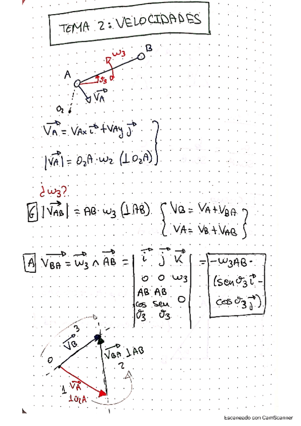
TEMA-2-VELOCIDADES.pdf
TEMA-3-CIR.pdf
TEMA-4-ACELERACIONES.pdf
TEMA-5-RAVEN.pdf
TEMA-9-EQUILIBRADO.pdf

Ejercicio examen de volantes de inercia

3 páginas

La omega 5 sustituida por omega brazo en la ecuación corresponde a la velocidad angular del eje 5 que es el mismo que el del brazo, no confundir con velocidad angular de rotación de la rueda alrededor del eje

3 páginas

Problema examen engranajes planetarios explicado y resuelto

4 páginas

He publicado nuevos ejercicios de 2º Teoría de Máquinas: EntregaTema10Volante.pdf

2 páginas

He publicado nuevos practicas de 2º Teoría de Máquinas: PRACTICA-No-2-EQUILIBRADOSituacion-Particular.pdf

5 páginas

Creo que no es correcto, al menos el sentido el modulo si

13 páginas

He publicado nuevos ejercicios de 2º Teoría de Máquinas: Tarea-Tema-7.-2425.pdf

6 páginas

Hecho a mano y con otro enfoque para ver si se entiende más

14 páginas

He publicado nuevos ejercicios de 2º Teoría de Máquinas: EntregaTema5curso2425.pdf

1 página

He publicado nuevos ejercicios de 2º Teoría de Máquinas: Tarea-4.-Aceleraciones.pdf

4 páginas
Anónimo

@Anónimo

He publicado nuevos ejercicios de 2º Teoría de Máquinas: EntregaTema3curso2425.pdf

1 página
Anónimo

@Anónimo

No sé si es correcto o no, es mi solución

2 páginas
Anónimo

@Anónimo

He publicado nuevos ejercicios de 2º Teoría de Máquinas: EntregaTema2curso2425.pdf

3 páginas

He publicado nuevos ejercicios de 2º Teoría de Máquinas: Ejercicio1Tema2.pdf

4 páginas
Anónimo

@Anónimo

He publicado nuevos ejercicios de 2º Teoría de Máquinas: EntregaTema1curso2425.pdf

2 páginas

He publicado nuevos ejercicios de 2º Teoría de Máquinas: EJERCICIO TEMA 10.pdf

1 página

He publicado nuevos ejercicios de 2º Teoría de Máquinas: EJERCICIO FUERZAS EXAMEN.pdf

2 páginas

He publicado nuevos ejercicios de 2º Teoría de Máquinas: EJERCICIOS BLOQUE II TeoMaq.pdf

10 páginas

He publicado nuevos apuntes de 2º Teoría de Máquinas: Maquinas-academia.pdf

153 páginas

examenes

-

EXAMENES RESUELTOS

He publicado nuevos examenes de 2º Teoría de Máquinas: EXAMENES RESUELTOS

2013-SEPTIEMBRE.pdf
2016-JUNIO-FINAL-DISENO.pdf
2018-2019-PARCIAL-2-GITI.pdf
2019-2020-PARCIAL-2.pdf
2022-FEBRERO-PROBLEMA-ENGRANAJE.pdf
Ejemplo-engranaje-campus.pdf

practicas

-

TAREAS RESUELTAS

He publicado nuevos practicas de 2º Teoría de Máquinas: TAREAS RESUELTAS

Tema3.pdf
Tema1.pdf
Tema2.pdf
Tema10.pdf
Tema7.pdf
Tema4.pdf

He publicado nuevos apuntes de 2º Teoría de Máquinas: Formulario-Equilibrado-de-rotores.pdf

1 página

He publicado nuevos apuntes de 2º Teoría de Máquinas: Formulario-Trenes-de-engranajes.pdf

2 páginas

He publicado nuevos apuntes de 2º Teoría de Máquinas: Formulario-de-Engranajes-ruedas.pdf

2 páginas

He publicado nuevos apuntes de 2º Teoría de Máquinas: Formulario-Volantes-de-Inercia.pdf

2 páginas

He publicado nuevos examenes de 2º Teoría de Máquinas: Teoria-de-Maquinas-Ejemplo-2o-Parcial.pdf

6 páginas

He publicado nuevos ejercicios de 2º Teoría de Máquinas: Problema-a-entregar-Tema-13-Maquinas.pdf

1 página

He publicado nuevos ejercicios de 2º Teoría de Máquinas: Problema-a-entregar-Tema-12-Maquinas.pdf

2 páginas

He publicado nuevos ejercicios de 2º Teoría de Máquinas: Problema-a-entregar-Tema-10-Maquinas.pdf

2 páginas

He publicado nuevos ejercicios de 2º Teoría de Máquinas: Problema-a-entregar-Tema-6-Maquinas.pdf

3 páginas

He publicado nuevos ejercicios de 2º Teoría de Máquinas: Problema-a-entregar-Tema-9-Maquinas.pdf

3 páginas

He publicado nuevos ejercicios de 2º Teoría de Máquinas: Problema-a-entregar-Tema-5-Maquinas.pdf

4 páginas

He publicado nuevos ejercicios de 2º Teoría de Máquinas: Problema-a-entregar-Tema-4-Maquinas.pdf

3 páginas

He publicado nuevos ejercicios de 2º Teoría de Máquinas: Problema-a-entregar-Tema-3-Maquinas.pdf

4 páginas

He publicado nuevos ejercicios de 2º Teoría de Máquinas: Problema-a-entregar-Tema-1-Maquinas.pdf

4 páginas

He publicado nuevos ejercicios de 2º Teoría de Máquinas: Problema-a-entregar-Tema-2-Maquinas.pdf

5 páginas

He publicado nuevos ejercicios de 2º Teoría de Máquinas: Ejercicios-de-volantes-de-inercia.pdf

3 páginas

He publicado nuevos examenes de 2º Teoría de Máquinas: Examen-Febrero-2020-Maquinas.pdf

2 páginas

He publicado nuevos apuntes de 2º Teoría de Máquinas: Conceptos-de-teoria-segundo-parcial-Maquinas.pdf

2 páginas

He publicado nuevos ejercicios de 2º Teoría de Máquinas: T9-Ejercicio-Propuesto.pdf

4 páginas

apuntes

-

Ejercicios Propuestos Resueltos

He publicado nuevos apuntes de 2º Teoría de Máquinas: Ejercicios Propuestos Resueltos

Ejercicio-Tema-03-Analisis-de-Velocidad-CIR.pdf
Ejercicio-Tema-06-Analisis-Estatico.pdf
Ejercicio-Tema-04-Analisis-de-Aceleraciones.pdf
Ejercicio-Tema-13-Trenes-de-Engranajes.pdf
Ejercicio-Tema-09-Equilibrado-de-Maquinas.pdf
Ejercicio-Tema-10-Volante-de-Inercia.pdf

trabajos

-

Tareas Teoría Máquinas

He publicado nuevos trabajos de 2º Teoría de Máquinas: Tareas Teoría Máquinas

Tarea-2-Teoria-Maquinas.pdf
Tarea-6-EquilibradoRotores-Teoria-Maquinas.pdf
Tarea-7-CinematicaEngranajes-Teoria-Maquinas.pdf
Tarea-1-Teoria-Maquinas.pdf
Tarea-3-Teoria-Maquinas.pdf
Tarea-4-Teoria-Maquinas.pdf

He publicado nuevos examenes de 2º Teoría de Máquinas: EXAMENES-RESUELTOS-DESLIZADERAS.pdf

46 páginas

He publicado nuevos examenes de 2º Teoría de Máquinas: EXAMENES-RESUELTOS-VARIANTE-DESLIZADERA.pdf

47 páginas

ejercicios

-

De exámenes de la segunda parte

He publicado nuevos ejercicios de 2º Teoría de Máquinas: De exámenes de la segunda parte

Ejercicios-de-equilibrado-de-masas.pdf
Ejercicios-de-trenes.pdf
Ejercicios-de-volante-de-inercia.pdf

examenes

-

Exámenes de la primera parte Resueltos

He publicado nuevos examenes de 2º Teoría de Máquinas: Exámenes de la primera parte Resueltos

Ejercicios-de-fuerzas.pdf
EXAMENES-RESUELTOS-DESLIZADERAS.pdf
EXAMENES-RESUELTOS-VARIANTE-DESLIZADERA.pdf

He publicado nuevos examenes de 2º Teoría de Máquinas: Ejercicios-de-volante-de-inercia.pdf

21 páginas

He publicado nuevos examenes de 2º Teoría de Máquinas: Ejercicios-de-trenes.pdf

21 páginas

He publicado nuevos examenes de 2º Teoría de Máquinas: Ejercicios-de-fuerzas.pdf

18 páginas