Todo
Apuntes
Ejercicios
Exámenes
Otros
Prácticas
Trabajos
chevron_left
chevron_right
Anónimo

@Anónimo

He publicado nuevos trabajos de 2º Teoría de Mecanismos: sixbarsmechanism.pdf

27 páginas

He publicado nuevos apuntes de 1º Teoría de Mecanismos: Ejercicios-resueltos-tema-4.pdf

18 páginas

He publicado nuevos apuntes de 1º Teoría de Mecanismos: Ejercicios-resueltos-tema-3.pdf

21 páginas

He publicado nuevos apuntes de 1º Teoría de Mecanismos: Ejercicios-resueltos-tema-2.pdf

13 páginas

He publicado nuevos apuntes de 1º Teoría de Mecanismos: Ejercicios-resueltos-tema-1.pdf

8 páginas

apuntes

-

Cinemática

He publicado nuevos apuntes de 2º Teoría de Mecanismos: Cinemática

Cinematica-analitica.pdf
Cinematica-grafica.pdf

He publicado nuevos apuntes de 2º Teoría de Mecanismos: 31-de-enero-2023.pdf

9 páginas

He publicado nuevos apuntes de 2º Teoría de Mecanismos: enero-30-2018.pdf

14 páginas

He publicado nuevos apuntes de 2º Teoría de Mecanismos: septiembre-7-2018.pdf

11 páginas

He publicado nuevos apuntes de 2º Teoría de Mecanismos: apartado-4.pdf

8 páginas

He publicado nuevos apuntes de 2º Teoría de Mecanismos: Enero-14-2022.pdf

11 páginas

He publicado nuevos apuntes de 2º Teoría de Mecanismos: Resumenes-completos-mecanismos.pdf

14 páginas

Ejercicios+examenes resueltos

21 páginas
Anónimo

@Anónimo

Ejercicios+examenes resueltos

65 páginas
Anónimo

@Anónimo

Teoria+ejercicios

56 páginas

He publicado nuevos examenes de 2º Teoría de Mecanismos: Exercici-examen-2020.pdf

1 página
Anónimo

@Anónimo

otros

-

3.Mechanical vibrations

Teoria+ejercicios

Miniatura no disponible
Chap3Mechanical-vibrationsExercises.pdf
Topic3Vibrations-2324.pdf
Anónimo

@Anónimo

otros

-

2.Analytical mechanics

Teoria+ejercicios

Chap2ExercisesAnalytical-Mechanics-2023-24.pdf
Topic2TheoryAnalytical-Mechanics-2324.pdf
Anónimo

@Anónimo

apuntes

-

1.Kinematics and kinetics of mechanisms

He publicado nuevos apuntes de 3º Teoría de Mecanismos: 1.Kinematics and kinetics of mechanisms

Designofmechanismsexercises.pdf
Miniatura no disponible
ExercisesTopic-1Kinematics-and-kinetics-of-mechanisms23-24.pdf
Miniatura no disponible
Topic1Kinematics-and-Kinetics-of-Mechanisms20232024.pdf
Anónimo

@Anónimo

He publicado nuevos apuntes de 2º Teoría de Mecanismos: Resumen-teorico-mecanismos.pdf

9 páginas

examenes

-

Examen 2023 Resuelto

He publicado nuevos examenes de 2º Teoría de Mecanismos: Examen 2023 Resuelto

2022-23Ordinaria.pdf
2022-23OrdinariaRESUELTO.pdf
2022-23TMMExtraordinaria.pdf
2022-23TMMExtraordinariaSolucion.pdf
Anónimo

@Anónimo

He publicado nuevos ejercicios de 2º Teoría de Mecanismos: Ejercicios-equilibrado.pdf

6 páginas

apuntes

-

TRABAJO TEORÍA DE MECANISMOS

He publicado nuevos apuntes de 2º Teoría de Mecanismos: TRABAJO TEORÍA DE MECANISMOS

Trabajo-Teoria-de-Mecanismos-Isabel.pdf
Anónimo

@Anónimo

He publicado nuevos ejercicios de 2º Teoría de Mecanismos: Trenes de engranajes-Parte2.pdf

20 páginas
Anónimo

@Anónimo

He publicado nuevos ejercicios de 2º Teoría de Mecanismos: Trenes de engranajes-Parte1.pdf

17 páginas
Anónimo

@Anónimo

He publicado nuevos ejercicios de 2º Teoría de Mecanismos: Problemas-cinematica-examenes-P2.pdf

12 páginas
Anónimo

@Anónimo

He publicado nuevos ejercicios de 2º Teoría de Mecanismos: Problemas-cinematica-examenes-P1.pdf

17 páginas

He publicado nuevos trabajos de 2º Teoría de Mecanismos: Trabajo-mecanismo-de-6-barras-de-Watt.pdf

13 páginas

He publicado nuevos otros de 2º Teoría de Mecanismos: Metodos-de-prueba-estandar-y-definiciones-para-pruebas-mecanicas-de-productos-de-acero.pdf

50 páginas

apuntes

-

resúmenes teoría

He publicado nuevos apuntes de 2º Teoría de Mecanismos: resúmenes teoría

1.-Mecanismos.-Conceptos-Basicos.pdf
3.-Dinamica.pdf
4.-Trabajo-y-energia.pdf
5.-Equilibrado.pdf
6.-Introduccion-a-la-sintesis-de-mecanismos.pdf
7.-Teoria-de-engranajes.pdf
Anónimo

@Anónimo

He publicado nuevos apuntes de 2º Teoría de Mecanismos: Tipo-test-examen-1.pdf

18 páginas
Anónimo

@Anónimo

He publicado nuevos apuntes de 2º Teoría de Mecanismos: Tipo-test-examen.pdf

7 páginas

He publicado nuevos apuntes de 2º Teoría de Mecanismos: NuevoDocumento-2019-01-09-12.pdf

16 páginas

He publicado nuevos examenes de 2º Teoría de Mecanismos: POSIBLES PREGUNTAS TEORÍA

5 páginas

He publicado nuevos apuntes de 2º Teoría de Mecanismos: TRABAJO-MECANISMO-DE-KLANN.pdf

15 páginas
Anónimo

@Anónimo

He publicado nuevos apuntes de 2º Teoría de Mecanismos: Teoria-De-Mecanismos.pdf

pdf

He publicado nuevos apuntes de 2º Teoría de Mecanismos: Formulario-y-Resumen-de-todo.pdf

pdf
Anónimo

@Anónimo

examenes

-

EXAMENES 2013 HASTA 2022

He publicado nuevos examenes de 2º Teoría de Mecanismos: EXAMENES 2013 HASTA 2022

EXAMEN-FEBRERO-2017-RESUELTO.pdf
EXAMEN-FEBRERO-2018-RESUELTO.pdf
EXAMEN-FEBRERO-2015-CON-SOLUCIONES.pdf
EXAMEN-SEPTIEMBRE-2015-CON-SOLUCIONES.pdf
EXAMEN-FEBRERO-2016-RESUELTO.pdf
EXAMEN-ENERO-2021.pdf
Anónimo

@Anónimo

examenes

-

EXAMENES 2013 HASTA 2022

He publicado nuevos examenes de 2º Teoría de Mecanismos: EXAMENES 2013 HASTA 2022

EXAMEN-SEPTIEMBRE-2015-CON-SOLUCIONES.pdf
EXAMEN-FEBRERO-2017-RESUELTO.pdf
EXAMEN-FEBRERO-2014-RESUELTO.pdf
EXAMEN-FEBRERO-2017-RESUELTO.pdf
EXAMEN-FEBRERO-2016-RESUELTO.pdf
EXAMEN-SEPTIEMBRE-2015-CON-SOLUCIONES.pdf
Anónimo

@Anónimo

examenes

-

EXAMENES 2013 HASTA 2022

He publicado nuevos examenes de 2º Teoría de Mecanismos: EXAMENES 2013 HASTA 2022

EXAMEN-FEBRERO-2018-RESUELTO.pdf
EXAMEN-SEPTIEMBRE-2015-CON-SOLUCIONES.pdf
EXAMEN-FEBRERO-2019-CON-SOLUCIONES.pdf
EXAMEN-FEBRERO-2015-CON-SOLUCIONES.pdf
EXAMEN-FEBRERO-2017-RESUELTO.pdf
EXAMEN-SEPTIEMBRE-2013.pdf
Anónimo

@Anónimo

examenes

-

EXAMENES 2013 HASTA 2022

He publicado nuevos examenes de 2º Teoría de Mecanismos: EXAMENES 2013 HASTA 2022

EXAMEN-FEBRERO-2014-RESUELTO.pdf
EXAMEN-SEPTIEMBRE-2015-CON-SOLUCIONES.pdf
EXAMEN-SEPTIEMBRE-2013.pdf
EXAMEN-ENERO-2021.pdf
EXAMEN-FEBRERO-2018-RESUELTO.pdf
EXAMEN-FEBRERO-2015-CON-SOLUCIONES.pdf

apuntes

-

Resumenes mecanismos

He publicado nuevos apuntes de 2º Teoría de Mecanismos: Resumenes mecanismos

T1-Concep-Basicos-resumen.pdf
Tema-3-Dinamicaresumen.pdf
T7-Engranajesresumen.pdf
Tema-2resumen.pdf
T9-Elementos-de-maquinasresumen.pdf
T8-Trenes-engranajesresumen.pdf

He publicado nuevos examenes de 2º Teoría de Mecanismos: Examen-Mecaninos-Enero-20-21.pdf

3 páginas

ejercicios

-

EJERCICIOS POR MÉTODO CINEMÁTICO

He publicado nuevos ejercicios de 2º Teoría de Mecanismos: EJERCICIOS POR MÉTODO CINEMÁTICO

VELOCIDAD-RELATIVA-SENCILLO
EJERCICIO-SENCILLO
EJERCICIO-CON-ESLABON-TERNARIO
VELOCIDAD-RELATIVA-COMPLICADO

He publicado nuevos examenes de 2º Teoría de Mecanismos: Examen-Mecaninos-Enero-20-21.pdf

3 páginas

ejercicios

-

EJERCICIOS POR MÉTODO CINEMÁTICO

He publicado nuevos ejercicios de 2º Teoría de Mecanismos: EJERCICIOS POR MÉTODO CINEMÁTICO

VELOCIDAD-RELATIVA-COMPLICADO
EJERCICIO-CON-ESLABON-TERNARIO
EJERCICIO-SENCILLO
VELOCIDAD-RELATIVA-SENCILLO

He publicado nuevos examenes de 2º Teoría de Mecanismos: Examen-Mecaninos-Enero-20-21.pdf

3 páginas

ejercicios

-

EJERCICIOS POR MÉTODO CINÉMATICO

He publicado nuevos ejercicios de 2º Teoría de Mecanismos: EJERCICIOS POR MÉTODO CINÉMATICO

VELOCIDAD-RELATIVA-SENCILLO
EJERCICIO-SENCILLO
VELOCIDAD-RELATIVA-COMPLICADO
EJERCICIO-CON-ESLABON-TERNARIO

He publicado nuevos examenes de 2º Teoría de Mecanismos: Examen-Mecaninos-Enero-20-21.pdf

3 páginas

ejercicios

-

EJERCICIOS POR MÉTODO CINEMÁTICO

He publicado nuevos ejercicios de 2º Teoría de Mecanismos: EJERCICIOS POR MÉTODO CINEMÁTICO

VELOCIDAD RELATIVA SENCILLO
VELOCIDAD RELATIVA COMPLICADO
EJERCICIO CON ESLABÓN TERNARIO
EJERCICIO SENCILLO

He publicado nuevos trabajos de 2º Teoría de Mecanismos: TRABAJO-PRACTICAS-MECANISMOS.pdf

16 páginas
Anónimo

@Anónimo

He publicado nuevos ejercicios de 2º Teoría de Mecanismos: ProbT2.pdf

2 páginas

He publicado nuevos ejercicios de 2º Teoría de Mecanismos: Mecanismos-Problemas-T2.pdf

5 páginas

examenes

-

Teoria de mecanismos

He publicado nuevos examenes de 2º Teoría de Mecanismos: Teoria de mecanismos

2020TM29.pdf
examencinematico.pdf
2020TMEEA41-1.pdf
examen.pdf
2020TM18.pdf
2020TMmecG1PAR.pdf
Anónimo

@Anónimo

examenes

-

EXAMEN SEPTIEMBRE 2016 + SOLUCIONES

He publicado nuevos examenes de 2º Teoría de Mecanismos: EXAMEN SEPTIEMBRE 2016 + SOLUCIONES

EXAMEN-SEPTIEMBRE-2016-E2.pdf
EXAMEN-SEPTIEMBRE-2016-CON-SOLUCIONES.pdf
https://www.wuolah.com/apuntes-teoria-de-mecanismos/apuntes/grado-en-ingenieria-electrica/ual-escuela-superior-de-ingenieria/2
Anónimo

@Anónimo

ejercicios

-

EJER DIBUJAR MECANISMOS

He publicado nuevos ejercicios de 2º Teoría de Mecanismos: EJER DIBUJAR MECANISMOS

ENUNCIADOS-DE-MECANISMOS.pdf
SOLUCIONES-DE-MECANISMOS.pdf
https://www.wuolah.com/apuntes-teoria-de-mecanismos/apuntes/grado-en-ingenieria-electrica/ual-escuela-superior-de-ingenieria/2
https://www.wuolah.com/apuntes-teoria-de-mecanismos/apuntes/grado-en-ingenieria-electrica/ual-escuela-superior-de-ingenieria/2
Anónimo

@Anónimo

ejercicios

-

EJER MECANISMOS METODOS NUMERICOS

He publicado nuevos ejercicios de 2º Teoría de Mecanismos: EJER MECANISMOS METODOS NUMERICOS

Ejer-mecanismos-metodos-numericos-1.pdf
Ejer-mecanismos-metodos-numericos-2.pdf
https://www.wuolah.com/apuntes-teoria-de-mecanismos/apuntes/grado-en-ingenieria-electrica/ual-escuela-superior-de-ingenieria/2
Anónimo

@Anónimo

ejercicios

-

EJER GRADOS DE LIBERTAD

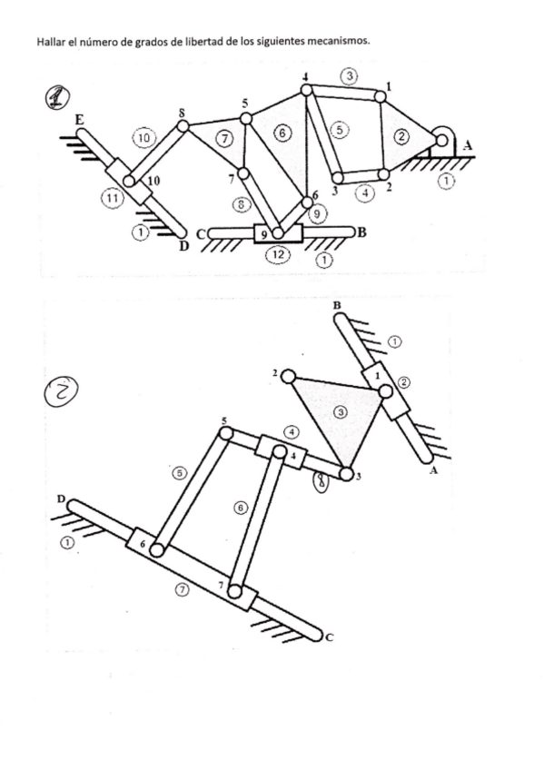
He publicado nuevos ejercicios de 2º Teoría de Mecanismos: EJER GRADOS DE LIBERTAD

EJERCICIOS-GRADOS-DE-LIBERTAD-2.pdf
EJERCICIOS-GRADOS-DE-LIBERTAD-1.pdf
https://www.wuolah.com/apuntes-teoria-de-mecanismos/apuntes/grado-en-ingenieria-electrica/ual-escuela-superior-de-ingenieria/2
Anónimo

@Anónimo

ejercicios

-

EJERCICIOS ENGRANAJES RESUELTOS

He publicado nuevos ejercicios de 2º Teoría de Mecanismos: EJERCICIOS ENGRANAJES RESUELTOS

EJERCICIOS-ENGRANAJES-7.pdf
EJERCICIOS-ENGRANAJES-10.pdf
EJERCICIOS-ENGRANAJES-4-y-5.pdf
EJERCICIOS-ENGRANAJES-6.pdf
EJERCICIOS-ENGRANAJES-RESUELTOS.pdf
EJERCICIOS-ENGRANAJES-3.pdf
Anónimo

@Anónimo

ejercicios

-

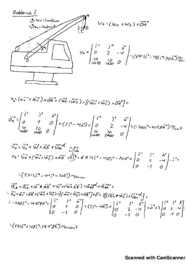
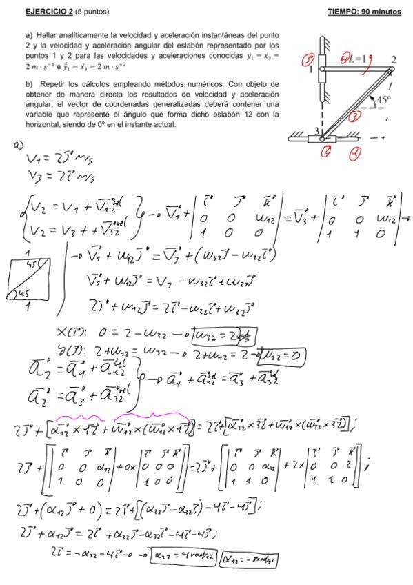
EJER MOVIMIENTO RELATIVO

He publicado nuevos ejercicios de 2º Teoría de Mecanismos: EJER MOVIMIENTO RELATIVO

MOVIMIENTO-RELATIVO-formulas-y-ejemplo-1.pdf
MOVIMIENTO-RELATIVO-ejemplo-2.pdf
MOVIMIENTO-RELATIVO-ejemplo-6.pdf
Movimiento-relativo-apuntes-y-ejemplos.pdf
MOVIMIENTO-RELATIVO-ejemplo-3.pdf
https://www.wuolah.com/apuntes-teoria-de-mecanismos/apuntes/grado-en-ingenieria-electrica/ual-escuela-superior-de-ingenieria/2