Todo
Apuntes
Ejercicios
Exámenes
Trabajos
chevron_left
chevron_right
Anónimo

@Anónimo

examenes

-

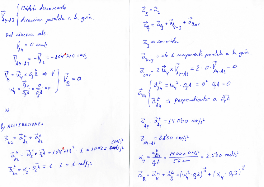
Examen Mecanismos enero 2026

He publicado nuevos examenes de 2º Teoría de Mecanismos: Examen Mecanismos enero 2026

IMG-20260114-WA0122.jpg
IMG-20260114-WA0123.jpg
Anónimo

@Anónimo

He publicado nuevos apuntes de 2º Teoría de Mecanismos: Resumen-teorico-mecanismos.pdf

9 páginas
Anónimo

@Anónimo

He publicado nuevos ejercicios de 2º Teoría de Mecanismos: Ejercicios-equilibrado.pdf

6 páginas
Anónimo

@Anónimo

He publicado nuevos ejercicios de 2º Teoría de Mecanismos: Trenes de engranajes-Parte2.pdf

20 páginas
Anónimo

@Anónimo

He publicado nuevos ejercicios de 2º Teoría de Mecanismos: Trenes de engranajes-Parte1.pdf

17 páginas
Anónimo

@Anónimo

He publicado nuevos ejercicios de 2º Teoría de Mecanismos: Problemas-cinematica-examenes-P2.pdf

12 páginas
Anónimo

@Anónimo

He publicado nuevos ejercicios de 2º Teoría de Mecanismos: Problemas-cinematica-examenes-P1.pdf

17 páginas

He publicado nuevos trabajos de 2º Teoría de Mecanismos: Trabajo-mecanismo-de-6-barras-de-Watt.pdf

13 páginas

apuntes

-

resúmenes teoría

He publicado nuevos apuntes de 2º Teoría de Mecanismos: resúmenes teoría

1.-Mecanismos.-Conceptos-Basicos.pdf
3.-Dinamica.pdf
4.-Trabajo-y-energia.pdf
5.-Equilibrado.pdf
6.-Introduccion-a-la-sintesis-de-mecanismos.pdf
7.-Teoria-de-engranajes.pdf

He publicado nuevos apuntes de 2º Teoría de Mecanismos: TRABAJO-MECANISMO-DE-KLANN.pdf

15 páginas
Anónimo

@Anónimo

examenes

-

EXAMENES 2013 HASTA 2022

He publicado nuevos examenes de 2º Teoría de Mecanismos: EXAMENES 2013 HASTA 2022

EXAMEN-FEBRERO-2014-RESUELTO.pdf
EXAMEN-SEPTIEMBRE-2015-CON-SOLUCIONES.pdf
EXAMEN-SEPTIEMBRE-2013.pdf
EXAMEN-ENERO-2021.pdf
EXAMEN-FEBRERO-2018-RESUELTO.pdf
EXAMEN-FEBRERO-2015-CON-SOLUCIONES.pdf

He publicado nuevos examenes de 2º Teoría de Mecanismos: Examen-Mecaninos-Enero-20-21.pdf

3 páginas

ejercicios

-

EJERCICIOS POR MÉTODO CINEMÁTICO

He publicado nuevos ejercicios de 2º Teoría de Mecanismos: EJERCICIOS POR MÉTODO CINEMÁTICO

VELOCIDAD-RELATIVA-COMPLICADO
EJERCICIO-CON-ESLABON-TERNARIO
EJERCICIO-SENCILLO
VELOCIDAD-RELATIVA-SENCILLO
Anónimo

@Anónimo

ejercicios

-

EJER MATRIZ MASAS Y VECTOR FUERZAS

He publicado nuevos ejercicios de 2º Teoría de Mecanismos: EJER MATRIZ MASAS Y VECTOR FUERZAS

Ejer-m-de-masas-y-v-de-fuerzas-2.pdf
Ejer-m-de-masas-y-v-de-fuerzas-1.pdf
Ejer-m-de-masas-y-v-de-fuerzas-6.pdf
Ejer-m-de-masas-y-v-de-fuerzas-3-4-y-5.pdf
https://www.wuolah.com/apuntes-teoria-de-mecanismos/apuntes/grado-en-ingenieria-electrica/ual-escuela-superior-de-ingenieria/2
Anónimo

@Anónimo

ejercicios

-

EJER MECANISMOS METODOS NUMERICOS

He publicado nuevos ejercicios de 2º Teoría de Mecanismos: EJER MECANISMOS METODOS NUMERICOS

Ejer-mecanismos-metodos-numericos-2.pdf
Ejer-mecanismos-metodos-numericos-1.pdf
https://www.wuolah.com/apuntes-teoria-de-mecanismos/apuntes/grado-en-ingenieria-electrica/ual-escuela-superior-de-ingenieria/2
Anónimo

@Anónimo

ejercicios

-

EJER MOVIMIENTO RELATIVO

He publicado nuevos ejercicios de 2º Teoría de Mecanismos: EJER MOVIMIENTO RELATIVO

MOVIMIENTO-RELATIVO-ejemplo-3.pdf
MOVIMIENTO-RELATIVO-ejemplo-2.pdf
Movimiento-relativo-apuntes-y-ejemplos.pdf
MOVIMIENTO-RELATIVO-formulas-y-ejemplo-1.pdf
MOVIMIENTO-RELATIVO-ejemplo-6.pdf
https://www.wuolah.com/apuntes-teoria-de-mecanismos/apuntes/grado-en-ingenieria-electrica/ual-escuela-superior-de-ingenieria/2
Anónimo

@Anónimo

ejercicios

-

EJERCICIOS CIRs RESUELTOS

He publicado nuevos ejercicios de 2º Teoría de Mecanismos: EJERCICIOS CIRs RESUELTOS

Ejercicios-CIRs-RESUELTOS.pdf
https://www.wuolah.com/apuntes-teoria-de-mecanismos/apuntes/grado-en-ingenieria-electrica/ual-escuela-superior-de-ingenieria/2
Anónimo

@Anónimo

ejercicios

-

EJERCICIOS ENGRANAJES RESUELTOS

He publicado nuevos ejercicios de 2º Teoría de Mecanismos: EJERCICIOS ENGRANAJES RESUELTOS

EJERCICIOS-ENGRANAJES-11.pdf
EJERCICIOS-ENGRANAJES-8.pdf
EJERCICIOS-ENGRANAJES-1-y-2.pdf
EJERCICIOS-ENGRANAJES-7.pdf
EJERCICIOS-ENGRANAJES-10.pdf
EJERCICIOS-ENGRANAJES-RESUELTOS.pdf
Anónimo

@Anónimo

ejercicios

-

EJERCICIOS EQUILIBRADO RESUELTOS

He publicado nuevos ejercicios de 2º Teoría de Mecanismos: EJERCICIOS EQUILIBRADO RESUELTOS

EJERCICIOS-EQUILIBRADO-ENUNCIADOS.pdf
EJERCICIOS-EQUILIBRADO-E12.pdf
EJERCICIOS-EQUILIBRADO-RESUELTOS.pdf
EJERCICIOS-EQUILIBRADO-E11.pdf
https://www.wuolah.com/apuntes-teoria-de-mecanismos/apuntes/grado-en-ingenieria-electrica/ual-escuela-superior-de-ingenieria/2
Anónimo

@Anónimo

examenes

-

EXAMEN FEBRERO 2015 + SOLUCIONES

He publicado nuevos examenes de 2º Teoría de Mecanismos: EXAMEN FEBRERO 2015 + SOLUCIONES

EXAMEN-FEBRERO-2015-E4.pdf
EXAMEN-FEBRERO-2015-E2.pdf
EXAMEN-FEBRERO-2015-CON-SOLUCIONES.pdf
https://www.wuolah.com/apuntes-teoria-de-mecanismos/apuntes/grado-en-ingenieria-electrica/ual-escuela-superior-de-ingenieria/2
Anónimo

@Anónimo

examenes

-

EXAMEN FEBRERO 2014 RESUELTO

He publicado nuevos examenes de 2º Teoría de Mecanismos: EXAMEN FEBRERO 2014 RESUELTO

EXAMEN-FEBRERO-2014-RESUELTO.pdf
EXAMEN-FEBRERO-2014-E3.pdf
EXAMEN-FEBRERO-2014-E5.pdf
EXAMEN-FEBRERO-2014-E2.pdf
EXAMEN-FEBRERO-2014-E4.pdf
https://www.wuolah.com/apuntes-teoria-de-mecanismos/apuntes/grado-en-ingenieria-electrica/ual-escuela-superior-de-ingenieria/2
Anónimo

@Anónimo

ejercicios

-

PROBLEMAS DE MECANISMOS RESUELTOS

He publicado nuevos ejercicios de 2º Teoría de Mecanismos: PROBLEMAS DE MECANISMOS RESUELTOS

PROBLEMAS-DE-MECANISMOS-E10-E11yE12-m-numericos.pdf
PROBLEMAS-DE-MECANISMOS-E13-y-E14-m-numericos.pdf
PROBLEMAS-DE-MECANISMOS-E12-m-numericos.pdf
PROBLEMAS-DE-MECANISMOS-E7-y-E9-m-numericos.pdf
PROBLEMAS-DE-MECANISMOS-ENUNCIADOS.pdf
PROBLEMAS-DE-MECANISMOS-SOLUCIONES-M-NUMERICOS.pdf
Anónimo

@Anónimo

examenes

-

EXAMEN SEPTIEMBRE 2014 + SOLUCIONES

He publicado nuevos examenes de 2º Teoría de Mecanismos: EXAMEN SEPTIEMBRE 2014 + SOLUCIONES

EXAMEN-SEPTIEMBRE-2014-CON-SOLUCIONES.pdf
EXAMEN-SEPTIEMBRE-2014-E2.pdf
https://www.wuolah.com/apuntes-teoria-de-mecanismos/apuntes/grado-en-ingenieria-electrica/ual-escuela-superior-de-ingenieria/2
Anónimo

@Anónimo

examenes

-

EXAMEN SEPTIEMBRE 2015 + SOLUCIONES

He publicado nuevos examenes de 2º Teoría de Mecanismos: EXAMEN SEPTIEMBRE 2015 + SOLUCIONES

EXAMEN-SEPTIEMBRE-2015-E4.pdf
EXAMEN-SEPTIEMBRE-2015-CON-SOLUCIONES.pdf
https://www.wuolah.com/apuntes-teoria-de-mecanismos/apuntes/grado-en-ingenieria-electrica/ual-escuela-superior-de-ingenieria/2
Anónimo

@Anónimo

examenes

-

EXAMEN SEPTIEMBRE 2016 + SOLUCIONES

He publicado nuevos examenes de 2º Teoría de Mecanismos: EXAMEN SEPTIEMBRE 2016 + SOLUCIONES

EXAMEN-SEPTIEMBRE-2016-E2.pdf
EXAMEN-SEPTIEMBRE-2016-CON-SOLUCIONES.pdf
https://www.wuolah.com/apuntes-teoria-de-mecanismos/apuntes/grado-en-ingenieria-electrica/ual-escuela-superior-de-ingenieria/2
Anónimo

@Anónimo

examenes

-

EXAMEN FEBRERO 2017 RESUELTO

He publicado nuevos examenes de 2º Teoría de Mecanismos: EXAMEN FEBRERO 2017 RESUELTO

EXAMEN-FEBRERO-2017-RESUELTO.pdf
EXAMEN-FEBRERO-2017-E3-y-E4.pdf
EXAMEN-FEBRERO-2017-E1b.pdf
EXAMEN-FEBRERO-2017-E2.pdf
https://www.wuolah.com/apuntes-teoria-de-mecanismos/apuntes/grado-en-ingenieria-electrica/ual-escuela-superior-de-ingenieria/2
Anónimo

@Anónimo

examenes

-

EXAMEN SEPTIEMBRE 2018 RESUELTO

He publicado nuevos examenes de 2º Teoría de Mecanismos: EXAMEN SEPTIEMBRE 2018 RESUELTO

EXAMEN-SEPTIEMBRE-2018-E2.pdf
EXAMEN-SEPTIEMBRE-2018-E1d.pdf
EXAMEN-SEPTIEMBRE-2018-E4.pdf
EXAMEN-SEPTIEMBRE-2018-E3.pdf
EXAMEN-SEPTIEMBRE-2018-RESUELTO.pdf
https://www.wuolah.com/apuntes-teoria-de-mecanismos/apuntes/grado-en-ingenieria-electrica/ual-escuela-superior-de-ingenieria/2
Anónimo

@Anónimo

trabajos

-

TRABAJOS ASIGNATURA

He publicado nuevos trabajos de 2º Teoría de Mecanismos: TRABAJOS ASIGNATURA

Archivos-trabajo-2017-2018-2.rar
Trabajo-2017-2018-2.pdf
Archivos-trabajo-2017-2018-2.rar
Trabajo-2017-2018-2.pdf
Archivos-trabajo-2018-2019-2.rar
Trabajo-2018-2019-2.pdf
Anónimo

@Anónimo

apuntes

-

APUNTES RESUMEN

He publicado nuevos apuntes de 2º Teoría de Mecanismos: APUNTES RESUMEN

Enagranajes-apuntes.pdf
Movimiento-relativo-apuntes-y-ejemplos.pdf
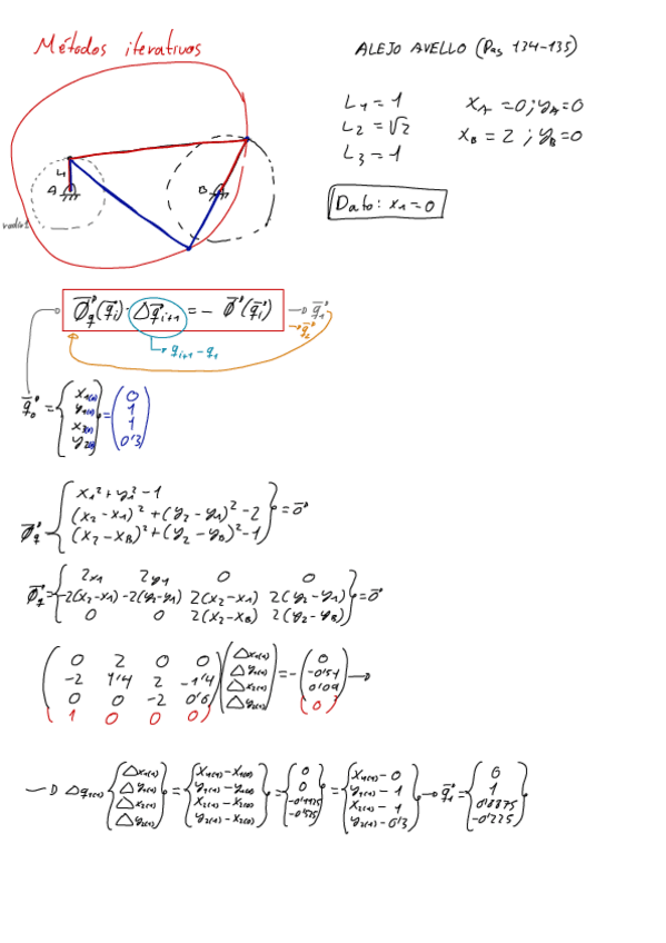
Metodos-iterativos.pdf
Matriz-de-masas-y-vector-de-fuerzas.pdf
RESUMEN-MECANISMOS.pdf
TEORIA-DE-ENGRANAJES.pdf
Anónimo

@Anónimo

He publicado nuevos apuntes de 2º Teoría de Mecanismos: T1-INTRODUCCION-A-LOS-MECANISMOS.pdf

5 páginas
Anónimo

@Anónimo

ejercicios

-

EJER GRADOS DE LIBERTAD

He publicado nuevos ejercicios de 2º Teoría de Mecanismos: EJER GRADOS DE LIBERTAD

EJERCICIOS-GRADOS-DE-LIBERTAD-2.pdf
EJERCICIOS-GRADOS-DE-LIBERTAD-1.pdf
Anónimo

@Anónimo

ejercicios

-

EJER DIBUJAR MECANISMOS

He publicado nuevos ejercicios de 2º Teoría de Mecanismos: EJER DIBUJAR MECANISMOS

SOLUCIONES-DE-MECANISMOS.pdf
ENUNCIADOS-DE-MECANISMOS.pdf

He publicado nuevos examenes de 2º Teoría de Mecanismos: Examen-13-Enero-de-2021.pdf

3 páginas

He publicado nuevos apuntes de 2º Teoría de Mecanismos: DinamicaEjemploCuadrado.pdf

4 páginas

He publicado nuevos examenes de 2º Teoría de Mecanismos: 2018-19FEBresuelto.pdf

11 páginas

He publicado nuevos examenes de 2º Teoría de Mecanismos: 2018-19FEB-solucioncompleto.pdf

12 páginas

He publicado nuevos examenes de 2º Teoría de Mecanismos: 2017-18SEPresuelto.pdf

5 páginas

He publicado nuevos examenes de 2º Teoría de Mecanismos: 2017-18SEPresuelto.pdf

5 páginas

He publicado nuevos examenes de 2º Teoría de Mecanismos: 2017-18FEBrestuelto.pdf

8 páginas

He publicado nuevos examenes de 2º Teoría de Mecanismos: 2016-17SEP.pdf

2 páginas

He publicado nuevos examenes de 2º Teoría de Mecanismos: 2016-17FEBResuelto.pdf

6 páginas

He publicado nuevos examenes de 2º Teoría de Mecanismos: 2015-16SEPResuelto.pdf

5 páginas

He publicado nuevos examenes de 2º Teoría de Mecanismos: 2015-16FEBResuelto.pdf

14 páginas

He publicado nuevos examenes de 2º Teoría de Mecanismos: 2014-15SEPRESUELTO.pdf

10 páginas

He publicado nuevos examenes de 2º Teoría de Mecanismos: 2014-1511FEBresuelto.pdf

14 páginas

He publicado nuevos examenes de 2º Teoría de Mecanismos: 2013-1409SEPTeorMecenunciado.pdf

3 páginas

He publicado nuevos examenes de 2º Teoría de Mecanismos: 2013-1402FEBenunciadoysolucion.pdf

19 páginas

He publicado nuevos apuntes de 2º Teoría de Mecanismos: 2012-13ExamenResolucion-P1.pdf

3 páginas

He publicado nuevos examenes de 2º Teoría de Mecanismos: 2012-1309SEPTeorMecenunciado.pdf

3 páginas

He publicado nuevos apuntes de 2º Teoría de Mecanismos: Teoria-de-maquinas-Clases.pdf

1 página

apuntes

-

Problemas y exámenes resueltos

He publicado nuevos apuntes de 2º Teoría de Mecanismos: Problemas y exámenes resueltos

problemas-resueltos-cinematica-de-maquinas.pdf
resumen-sintesis.pdf
ejemplosproblemas-.pdf
Formulario-completo.pdf
problemas-examenes-y-libro-resueltos.pdf
resumen-engranajes-.pdf

He publicado nuevos apuntes de 2º Teoría de Mecanismos: Resumen.pdf

3 páginas

He publicado nuevos apuntes de 2º Teoría de Mecanismos: Analisis-cinematico-metodos-numericos.pdf

6 páginas

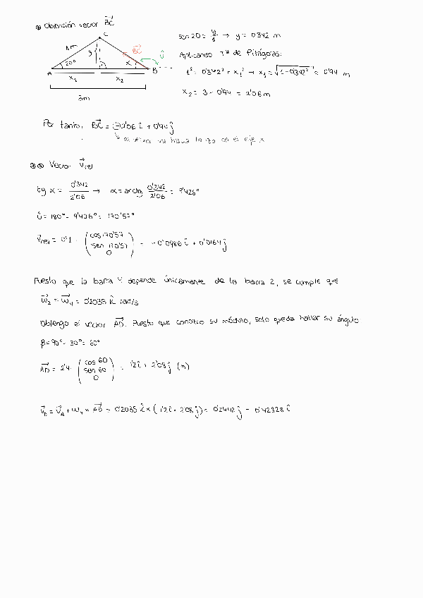
He publicado nuevos ejercicios de 2º Teoría de Mecanismos: Ej-Trenes-epicicloidales.pdf

4 páginas

He publicado nuevos ejercicios de 2º Teoría de Mecanismos: Ejercicios-engranajes.pdf

6 páginas

He publicado nuevos apuntes de 2º Teoría de Mecanismos: Engranajes.pdf

2 páginas

examenes

-

EXÁMENES RESUELTOS

He publicado nuevos examenes de 2º Teoría de Mecanismos: EXÁMENES RESUELTOS

Febrero-2017.pdf
Sept-2014-Teoria.pdf
Septiembre-2016.pdf
Septiembre-2015.pdf
Febrero-2014.pdf
Febrero-2016.pdf
¡Estás al día!

¡Estás al día!

Has visto todos los archivos