chevron_left
chevron_right
Todo
Apuntes
Ejercicios
Trabajos
chevron_left
chevron_right

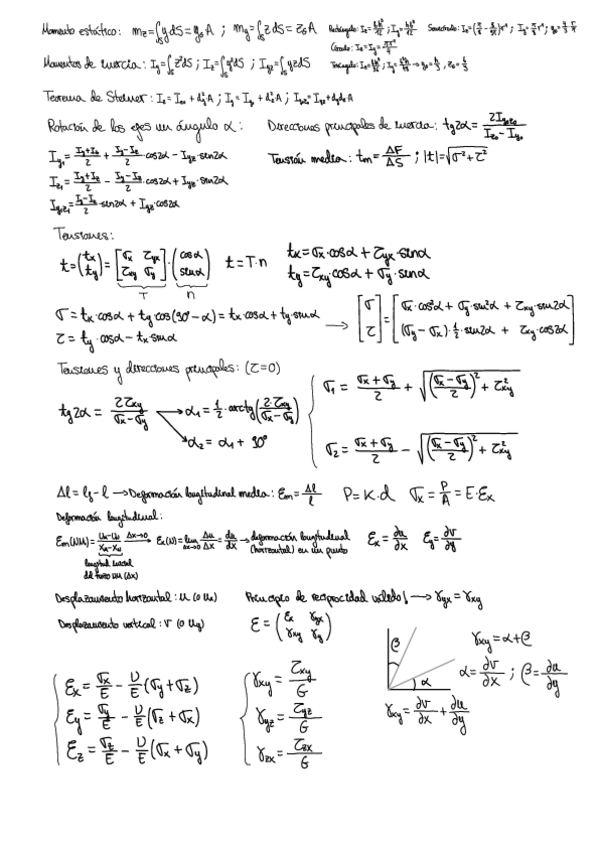
He publicado nuevos apuntes de 3º Teoria d'Estructures: Formulario-Control-1-ERM.pdf

1 página
Anónimo

@Anónimo

ejercicios

-

Ejercicios resueltos

He publicado nuevos ejercicios de 3º Teoria d'Estructures: Ejercicios resueltos

C12020-2021Q1.pdf
Selectedsolutions.pdf
SolTut1.pdf
TutorialS10-S11.pdf

He publicado nuevos trabajos de 3º Teoria d'Estructures: Treball-de-curs-2.pdf

18 páginas

He publicado nuevos trabajos de 3º Teoria d'Estructures: Treball-de-curs1.pdf

8 páginas
¡Estás al día!

¡Estás al día!

Has visto todos los archivos