chevron_left
chevron_right
Todo
Apuntes
Ejercicios
Exámenes
Prácticas
Test
chevron_left
chevron_right

He publicado nuevos apuntes de 2º Termodinámica: Formulario.pdf

15 páginas
Anónimo

@Anónimo

examenes

-

EX-ORDINARIO-2025/26

Examen de enero

EX-ORDINARIO-202526.jpeg

He publicado nuevos apuntes de 2º Termodinámica: Apuntes-toda-termodinamica.pdf

15 páginas
Anónimo

@Anónimo

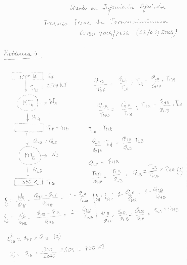
He publicado nuevos examenes de 2º Termodinámica: Examen-Ordinario-15012025.TERMO.pdf

8 páginas
Anónimo

@Anónimo

He publicado nuevos ejercicios de 2º Termodinámica: PROBLEMASTERMODINAMICAINGAGRICOLA.pdf

7 páginas
Anónimo

@Anónimo

He publicado nuevos examenes de 2º Termodinámica: examenPARCIAL-resolucion-2024.pdf

10 páginas
Anónimo

@Anónimo

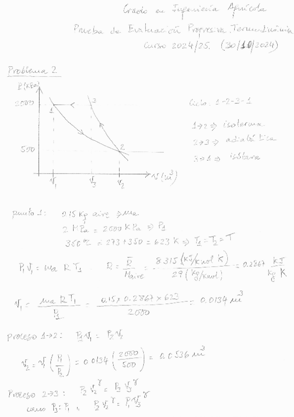
He publicado nuevos examenes de 2º Termodinámica: FINAL-2024.pdf

14 páginas

He publicado nuevos practicas de 2º Termodinámica: PRACTICA-DE-REFRIGERACION-LETICIA-LANTERO-VILAJOANA.pdf

5 páginas
Anónimo

@Anónimo

He publicado nuevos examenes de 2º Termodinámica: examenparcialresuelto20232024.pdf

9 páginas
Anónimo

@Anónimo

He publicado nuevos examenes de 2º Termodinámica: examenparcialenunciado20232024.pdf

2 páginas

He publicado nuevos apuntes de 2º Termodinámica: Formulario-Termodinamica.pdf

1 página

He publicado nuevos examenes de 2º Termodinámica: examenesresueltostermo.pdf

15 páginas
Anónimo

@Anónimo

He publicado nuevos examenes de 2º Termodinámica: 2016-enero.pdf

1 página
Anónimo

@Anónimo

He publicado nuevos examenes de 2º Termodinámica: 2016-julio.pdf

1 página
Anónimo

@Anónimo

He publicado nuevos examenes de 2º Termodinámica: Examenes-termodinamica.pdf

5 páginas
Anónimo

@Anónimo

He publicado nuevos ejercicios de 2º Termodinámica: Soluciones-ejercicos.pdf

20 páginas
Anónimo

@Anónimo

He publicado nuevos ejercicios de 2º Termodinámica: Soluciones-ejercicios-tem-13.pdf

7 páginas
Anónimo

@Anónimo

He publicado nuevos test de 2º Termodinámica: Test-posterior-a-la-practica-Elementos-del-Motor-en-la-Nave.pdf

27 páginas
Anónimo

@Anónimo

He publicado nuevos practicas de 2º Termodinámica: Practica-1-Simulacion-computacional-de-un-proceso-de-esterilizacion-termica-2014.pdf

4 páginas
Anónimo

@Anónimo

He publicado nuevos practicas de 2º Termodinámica: Practica-2-Galletas-y-magdalenas-2015.pdf

5 páginas
Anónimo

@Anónimo

He publicado nuevos practicas de 2º Termodinámica: Practica-2-Galletas-y-magdalenas-2014.pdf

5 páginas
Anónimo

@Anónimo

He publicado nuevos examenes de 2º Termodinámica: solucion-examen-14-de-noviembre-2016.pdf

6 páginas
¡Estás al día!

¡Estás al día!

Has visto todos los archivos