Termodinámica del No Equilibrio

chevron_left
chevron_right
Todo
Apuntes
Ejercicios
Exámenes
Otros
Trabajos
chevron_left
chevron_right

apuntes

-

TEMAS EXPLICADOS

He publicado nuevos apuntes de 3º Termodinámica del No Equilibrio: TEMAS EXPLICADOS

T3-ESTADOS-ESTACIONARIOS.pdf
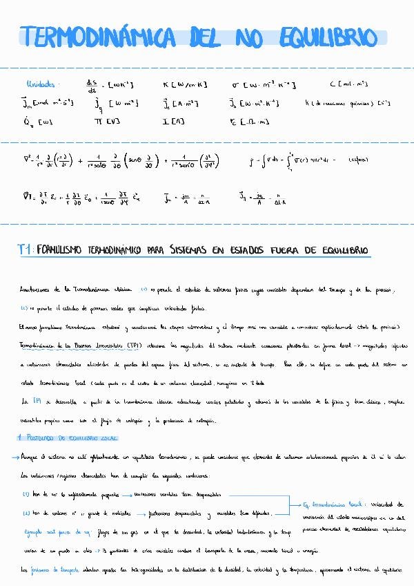
T1-FORMULISMO-TERMODINAMICO-SISTEMAS-TNE.pdf
T2-REGIMEN-LINEAL.pdf
T4-PROCESOS-SIMPLES.pdf
T5-PROCESOS-ACOPLADOS.pdf

He publicado nuevos ejercicios de 3º Termodinámica del No Equilibrio: Entregable-III-TNE.pdf

18 páginas

He publicado nuevos apuntes de 3º Termodinámica del No Equilibrio: Apuntes-resumidos-completos.pdf

33 páginas

apuntes

-

Apuntes

He publicado nuevos apuntes de 3º Termodinámica del No Equilibrio: Apuntes

Tema-1.pdf
Tema-2.pdf
Tema-4.pdf
Tema-5.pdf
Tema-6.pdf

ejercicios

-

Problemas

He publicado nuevos ejercicios de 3º Termodinámica del No Equilibrio: Problemas

Problemas-TNE-Q1-8.pdf
Problemas-TNE-Q9-26.pdf
Problemas-TNE-Q27-40.pdf

examenes

-

Exámenes

He publicado nuevos examenes de 3º Termodinámica del No Equilibrio: Exámenes

Junio24-Resuelto.pdf
Junio24.pdf
Mayo24-Resuelto.pdf

ejercicios

-

Ejercicios Resueltos 2024-2025

He publicado nuevos ejercicios de 3º Termodinámica del No Equilibrio: Ejercicios Resueltos 2024-2025

Tema-1.pdf
Tema-2.pdf
Tema-4.pdf
Tema-5.pdf
Tema-6.pdf

apuntes

-

Apuntes 2024-2025

He publicado nuevos apuntes de 3º Termodinámica del No Equilibrio: Apuntes 2024-2025

Tema-1.1.pdf
Tema-1.2.pdf
Tema-2.pdf
Tema-3.pdf
Tema-4.pdf
Tema-5.pdf

ejercicios

-

EjerciciosPorTemas-TermoNOE

He publicado nuevos ejercicios de 3º Termodinámica del No Equilibrio: EjerciciosPorTemas-TermoNOE

TermoNOE-EjerciciosT2.pdf
TermoNOE-EjerciciosT3.pdf
TermoNOE-EjerciciosT4y5.pdf
TermoNOE-EjerciciosT6.pdf
TermoNOE-EjerciciosT7y8.pdf

apuntes

-

ApuntesCompletos-TermoNOE

He publicado nuevos apuntes de 3º Termodinámica del No Equilibrio: ApuntesCompletos-TermoNOE

TermoNOE-ApuntesT1.pdf
TermoNOE-ApuntesT2.pdf
TermoNOE-ApuntesT3.pdf
TermoNOE-ApuntesT4y5.pdf
TermoNOE-ApuntesT6.pdf
TermoNOE-ApuntesT7y8.pdf

He publicado nuevos apuntes de 3º Termodinámica del No Equilibrio: resumen-completo-termo-del-no.pdf

18 páginas

Entrega

9 páginas

Entrega

13 páginas

He publicado nuevos trabajos de 3º Termodinámica del No Equilibrio: Entrega-1-2425.pdf

8 páginas

Apuntes/Formulario TNE

46 páginas

ejercicios

-

TODOS los Ejercicios TNE

He publicado nuevos ejercicios de 3º Termodinámica del No Equilibrio: TODOS los Ejercicios TNE

Ejercicios-Tema-4.pdf
Ejercicios-Tema-2.pdf
Ejercicios-Tema-1.pdf
Ejercicios-Tema-5.pdf
Ejercicios-Tema-6.pdf

ejercicios

-

Ejs 2025

He publicado nuevos ejercicios de 3º Termodinámica del No Equilibrio: Ejs 2025

Ejes-termo-t2.pdf
Ejes-termo-t1.pdf
Ejes-termo-t4.pdf
Ejes-termo-t5.pdf

apuntes

-

Apuntes por temas a LaTeX 2024-25

T1-4 con Vicenta, T5-6 con Villaluenga y T7-8 con Luis Dinis

T1-Fundamentos-de-la-Termodinamica-del-Equilibrio.pdf
T2-Leyes-de-Conservacion-y-Ecuaciones-de-Balance.pdf
T3-Termodinamica-de-los-Procesos-Irreversibles-en-Regimen-Lineal.pdf
T4-Estados-Estacionarios.pdf
T5-Procesos-Simples.pdf
T6-Procesos-Acoplados.pdf

Entregable de los últimos temas resuelto a Latex

6 páginas

He publicado nuevos apuntes de 3º Termodinámica del No Equilibrio: ENTREGABLE-2-OPCION-1-GRUPO-A.pdf

7 páginas

ejercicios

-

(GRUPO A) EJERCICIOS RESUELTOS VICENTA

He publicado nuevos ejercicios de 3º Termodinámica del No Equilibrio: (GRUPO A) EJERCICIOS RESUELTOS VICENTA

Tema-4-y-5-Ejs-Resueltos.pdf
Tema-3-Ejs-Resueltos.pdf
Tema-2-Ejs-Resueltos.pdf

Entregable 2 resuelto paso a paso y explicado.

4 páginas

He publicado nuevos ejercicios de 3º Termodinámica del No Equilibrio: Entregable-II-TNE.pdf

3 páginas

He publicado nuevos ejercicios de 3º Termodinámica del No Equilibrio: Entregable-I-TNE.pdf

8 páginas

Entregable 1 resuelto paso a paso con explicaciones

12 páginas

He publicado nuevos ejercicios de 3º Termodinámica del No Equilibrio: Entregable-1-Grupo-A-2025.pdf

6 páginas

He publicado nuevos examenes de 3º Termodinámica del No Equilibrio: Examenes-resueltos-anos-anteriores-INGLESTERMO-DEL-NO-2022.pdf

29 páginas

He publicado nuevos ejercicios de 3º Termodinámica del No Equilibrio: Entregables-INGLESTERMO-DEL-NO-2022.pdf

11 páginas

He publicado nuevos ejercicios de 3º Termodinámica del No Equilibrio: Ejercicios-INGLESTERMO-DEL-NO-2022.pdf

95 páginas

He publicado nuevos apuntes de 3º Termodinámica del No Equilibrio: Apuntes-completos-y-mas-INGLESTERMO-DEL-NO-2022.pdf

116 páginas

He publicado nuevos examenes de 3º Termodinámica del No Equilibrio: examanes-termo.pdf

14 páginas

He publicado nuevos apuntes de 3º Termodinámica del No Equilibrio: apuntes-termo.pdf

10 páginas

ejercicios

-

Ejercicios

He publicado nuevos ejercicios de 3º Termodinámica del No Equilibrio: Ejercicios

tema-1-termo.pdf
tema-4-termo.pdf
tema-5-termo.pdf
tema-6-termo.pdf
Anónimo

@Anónimo

examenes

-

Exámenes (sin resolver)

He publicado nuevos examenes de 3º Termodinámica del No Equilibrio: Exámenes (sin resolver)

examenjunio2023TNEq.pdf
TNE-Examen-Mayo23.pdf
examenTNEmayo20232024.pdf

He publicado nuevos ejercicios de 3º Termodinámica del No Equilibrio: Ejercicios-Termodinamica-Del-No-Equilibrio.pdf

36 páginas

He publicado nuevos apuntes de 3º Termodinámica del No Equilibrio: APUNTESLATEX.pdf

65 páginas

He publicado nuevos ejercicios de 3º Termodinámica del No Equilibrio: Problemas-Tema-6.pdf

12 páginas

apuntes

-

Ejercicios resueltos

He publicado nuevos apuntes de 3º Termodinámica del No Equilibrio: Ejercicios resueltos

Reacciones-acopladas.pdf
Termoelectricidad.pdf
Termogravitacion.pdf
Termodifusion.pdf
Motores-moleculares.pdf
Electrocinetica.pdf

apuntes

-

apuntes Vicenta

He publicado nuevos apuntes de 3º Termodinámica del No Equilibrio: apuntes Vicenta

1-revision-de-los-fundamentos-de-la-termodinamica-del-equilibrio.pdf
2-descripcion-del-formalismo-termodinamico.-leyes-de-conservacion-y-ecuacion-de-balance..pdf
3-termodinamica-de-los-procesos-irreversibles-en-regimen-lineal.pdf
4-estados-estacionarios.pdf
5-aplicacion-de-la-termodinamica-de-los-procesos-irreversibles-a-procesos-simples.pdf
6-aplicaciones-de-la-termodinamica-de-los-procesos-irreversibles-a-procesos-acoplados.pdf

He publicado nuevos apuntes de 3º Termodinámica del No Equilibrio: Apuntes-Tema-6.pdf

9 páginas

He publicado nuevos ejercicios de 3º Termodinámica del No Equilibrio: Problemas-Tema-5.pdf

9 páginas

He publicado nuevos apuntes de 3º Termodinámica del No Equilibrio: Apuntes-Tema-5.pdf

10 páginas

apuntes

-

Entregables

He publicado nuevos apuntes de 3º Termodinámica del No Equilibrio: Entregables

Entregable-1.pdf
TNE-23-24-ENTREGABLE-1.pdf

He publicado nuevos ejercicios de 3º Termodinámica del No Equilibrio: Problemas-Tema-4.pdf

11 páginas

He publicado nuevos apuntes de 3º Termodinámica del No Equilibrio: Apuntes-Tema-4.pdf

7 páginas

He publicado nuevos apuntes de 3º Termodinámica del No Equilibrio: Apuntes-Tema-3.pdf

3 páginas

He publicado nuevos ejercicios de 3º Termodinámica del No Equilibrio: Problemas-Tema-2.pdf

3 páginas

He publicado nuevos apuntes de 3º Termodinámica del No Equilibrio: Apuntes-Tema-2.pdf

3 páginas

He publicado nuevos ejercicios de 3º Termodinámica del No Equilibrio: Problemas-Tema-1.pdf

5 páginas

He publicado nuevos apuntes de 3º Termodinámica del No Equilibrio: Apuntes-Tema-1.pdf

7 páginas

He publicado nuevos apuntes de 3º Termodinámica del No Equilibrio: Resumen para estudiar. TermoNoEq.pdf

6 páginas

He publicado nuevos ejercicios de 3º Termodinámica del No Equilibrio: Apuntes-y-ejercicios-de-Termodinamica-del-NO-Equilibrio-2022-Termodinamica-del-NO-Equilibrio.pdf

91 páginas

He publicado nuevos ejercicios de 3º Termodinámica del No Equilibrio: Entregable-2.pdf

1 página

apuntes

-

Ejercicios resueltos

He publicado nuevos apuntes de 3º Termodinámica del No Equilibrio: Ejercicios resueltos

1.-Formalismo-termodinamico.pdf
2.-Regimen-lineal.pdf
3-y-4.-Estados-estacionarios-y-procesos-directos.pdf
5.-Procesos-acoplados.pdf
6.-Sistemas-alejados-del-equilibrio-homogeneos-e-inhomogeneos.pdf

trabajos

-

Entregas termo

He publicado nuevos trabajos de 3º Termodinámica del No Equilibrio: Entregas termo

termo-del-no-trabajo-grupo.pdf
entregable-enunciado.pdf

apuntes

-

Apuntes de Armando

He publicado nuevos apuntes de 3º Termodinámica del No Equilibrio: Apuntes de Armando

Tema-1-y-2bloque-3.pdf
Tema-1-y-2bloque-4.pdf
Tema-4.pdf
Tema-6bloque-3.pdf

ejercicios

-

Ejercicios resueltos

He publicado nuevos ejercicios de 3º Termodinámica del No Equilibrio: Ejercicios resueltos

Ejercicios-tema-3.pdf
Ejercicios-Tema-5.pdf
Ejercicios-Tema-6.pdf
Ejercicios-Temas-1-Y-2.pdf
Ejercicios-Temas-7-Y-8.pdf
Enunciados-Tema-2.pdf

He publicado nuevos trabajos de 3º Termodinámica del No Equilibrio: Entregable-evaluacion-continua.pdf

17 páginas

He publicado nuevos otros de 3º Termodinámica del No Equilibrio: GUIA-DOCENTE-Termodinamica-del-No-Equilibrio.pdf

3 páginas

apuntes

-

Ejercicios de examen

He publicado nuevos apuntes de 3º Termodinámica del No Equilibrio: Ejercicios de examen

alejadosdelequilibrio.pdf
alejadosdelequilibrioexamen.pdf
procesosacoplados.pdf
procesosacopladosexamen.pdf
procesossimples.pdf
procesossimplesexamen.pdf