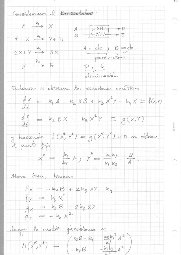
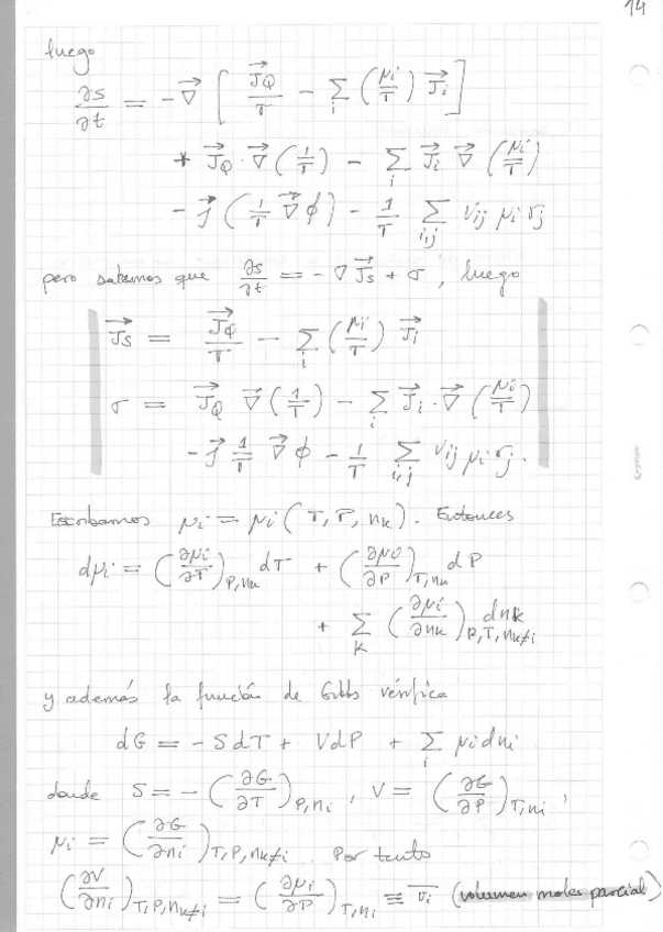
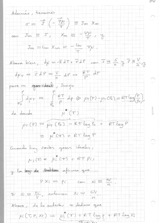
Termodinámica del No Equilibrio/Física de la tierra
Todo
Apuntes
chevron_left
chevron_right
apuntes
-
Apuntes completos termo no equiv
He publicado nuevos apuntes de 4º Termodinámica del No Equilibrio/Física de la tierra: Apuntes completos termo no equiv
¡Estás al día!
Has visto todos los archivos