Termodinámica Técnica y Fundamentos de Transmisión de Calor

chevron_left
chevron_right
Todo
Apuntes
Ejercicios
Exámenes
Otros
Prácticas
Test
Trabajos
chevron_left
chevron_right

He publicado nuevos apuntes de 2º Termodinámica Técnica y Fundamentos de Transmisión de Calor: Resumen-con-formulas-termodinamica-T1-T5.pdf

11 páginas

Resumen teoría y formulas termodinámica.

8 páginas

Sesiones de problemas segundo parcial, temas 5, 6, 7 y 8

21 páginas

He publicado nuevos apuntes de 2º Termodinámica Técnica y Fundamentos de Transmisión de Calor: Apuntes-y-ejercicios-segundo-parcial.pdf

27 páginas

apuntes

-

Apuntes y ejercicios primer parcial

Apuntes, ejercicios y resumen de la teoría para el primer parcial, temas 1, 2, 3 y4

Apuntes-de-clase.pdf
Resumen-teoria.pdf

He publicado nuevos examenes de 2º Termodinámica Técnica y Fundamentos de Transmisión de Calor: Preguntas-teoricas-2o-parcial.pdf

9 páginas

He publicado nuevos ejercicios de 2º Termodinámica Técnica y Fundamentos de Transmisión de Calor: Problemas-psicometria.pdf

4 páginas

He publicado nuevos ejercicios de 2º Termodinámica Técnica y Fundamentos de Transmisión de Calor: Problemas-procesos-transitorios.pdf

6 páginas

He publicado nuevos apuntes de 2º Termodinámica Técnica y Fundamentos de Transmisión de Calor: Resumen-1parcial.pdf

5 páginas

He publicado nuevos apuntes de 2º Termodinámica Técnica y Fundamentos de Transmisión de Calor: Resumen-examen-parcial.pdf

2 páginas

He publicado nuevos ejercicios de 2º Termodinámica Técnica y Fundamentos de Transmisión de Calor: Problemas-1ppo-sistemas-abiertos.pdf

5 páginas

He publicado nuevos ejercicios de 2º Termodinámica Técnica y Fundamentos de Transmisión de Calor: problemas-ciclos-4-8.pdf

6 páginas

He publicado nuevos ejercicios de 2º Termodinámica Técnica y Fundamentos de Transmisión de Calor: problemas-ciclos-1-4.pdf

6 páginas

Resumen teorico de ciclos para examen

7 páginas

Ejercicios resueltos ciclos termodinamicos

8 páginas

He publicado nuevos ejercicios de 2º Termodinámica Técnica y Fundamentos de Transmisión de Calor: Ejercicios-2-ppo-y-balances-de-energia.pdf

5 páginas

He publicado nuevos apuntes de 2º Termodinámica Técnica y Fundamentos de Transmisión de Calor: T3Energia-y-Primer-Principio.pdf

6 páginas

He publicado nuevos apuntes de 2º Termodinámica Técnica y Fundamentos de Transmisión de Calor: T6Ciclos-de-Potencia-de-Gas.pdf

4 páginas

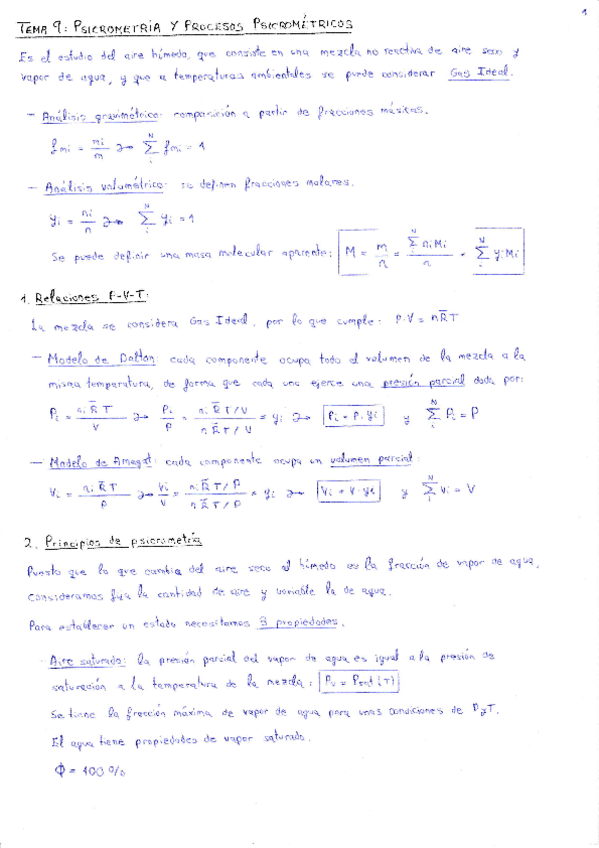
He publicado nuevos apuntes de 2º Termodinámica Técnica y Fundamentos de Transmisión de Calor: T9Psicrometria.pdf

3 páginas

He publicado nuevos apuntes de 2º Termodinámica Técnica y Fundamentos de Transmisión de Calor: Formulario-P1-y-P2.pdf

2 páginas

He publicado nuevos apuntes de 2º Termodinámica Técnica y Fundamentos de Transmisión de Calor: T2Propiedades-Termodinamicas.pdf

4 páginas

He publicado nuevos apuntes de 2º Termodinámica Técnica y Fundamentos de Transmisión de Calor: T4Segundo-Principio.pdf

7 páginas

He publicado nuevos apuntes de 2º Termodinámica Técnica y Fundamentos de Transmisión de Calor: T8Ciclos-de-Refrigeracion-y-Bombas-de-Calor.pdf

4 páginas

He publicado nuevos apuntes de 2º Termodinámica Técnica y Fundamentos de Transmisión de Calor: T1Conceptos-Introductorios.pdf

2 páginas

He publicado nuevos apuntes de 2º Termodinámica Técnica y Fundamentos de Transmisión de Calor: T7Ciclos-de-Potencia-de-Vapor.pdf

2 páginas

He publicado nuevos apuntes de 2º Termodinámica Técnica y Fundamentos de Transmisión de Calor: Formulario-Segundo-Principio-y-MSI.pdf

2 páginas

He publicado nuevos apuntes de 2º Termodinámica Técnica y Fundamentos de Transmisión de Calor: Formulario-Primer-Parcial-Primer-principio.pdf

2 páginas

apuntes

-

Apuntes + Ejercicios resueltos de TODOS los temas

Todos los apuntes de clase+ info ppt y ejercicios hechos en clase

Tema-1-Termo-Introduccion.pdf
Tema-2-Termo-Calculo-de-las-propiedades-de-las-sustancias-puras.pdf
Tema-3-Termo-Primer-principio-de-la-termodinamica.pdf
Tema-4-Termo-Psicrometria.pdf
Tema-5-Termo-Segundo-principio-de-la-termodinamica.pdf
Tema-6-Termo-Ciclos-de-potencia-y-refrigeracion.pdf

examenes

-

Exámenes resueltos

He publicado nuevos examenes de 2º Termodinámica Técnica y Fundamentos de Transmisión de Calor: Exámenes resueltos

Termo-28enero21.pdf
Termo-5feb18.pdf

apuntes

-

formularios

He publicado nuevos apuntes de 2º Termodinámica Técnica y Fundamentos de Transmisión de Calor: formularios

Termo-formulario.pdf
Miniatura no disponible
formulario2.HEIC

He publicado nuevos apuntes de 2º Termodinámica Técnica y Fundamentos de Transmisión de Calor: Termo-teoria.pdf

9 páginas

practicas

-

practicas

He publicado nuevos practicas de 2º Termodinámica Técnica y Fundamentos de Transmisión de Calor: practicas

practica-3.docx
Practica4.doc
pract5.docx

He publicado nuevos ejercicios de 2º Termodinámica Técnica y Fundamentos de Transmisión de Calor: Termo-Transitorios.pdf

24 páginas

examenes

-

EXÁMENES TERMODINÁMICA

Carpeta con exámenes de Termodinámica de distintos años. Incluye ejercicios tipo examen y problemas representativos, útiles para practicar, repasar conceptos clave y prepararse para evaluaciones de manera efectiva

EXAMEN-TERMO-SEPTIEMBRE-20202021.pdf
EXAMEN-TERMO-ENERO-20202021.pdf
EXAMEN-TERMO-SEPTIEMBRE-20212022.pdf
EXAMEN-TERMO-ENERO-20212022.pdf
EXAMEN-TERMO-JUNIO-20222023.pdf
EXAMEN-TERMO-ENERO-20222023.pdf

examenes

-

EXAMENES PARCIALES TERMODINÁMICA

Carpeta con exámenes parciales de Termodinámica. Incluye pruebas de años anteriores con problemas típicos, útiles para practicar el formato del examen, reforzar conceptos clave y preparar los parciales de manera efectiva

TERMO-PARCIAL-20202021.pdf
TERMO-PARCIAL-20212022.pdf
TERMO-PARCIAL-20232024.pdf
TERMO-PARCIAL-20242025.pdf
TERMO-PARCIAL-20252026.pdf

apuntes

-

APUNTES TERMODINÁMICA

Apuntes de Termodinámica con el contenido teórico esencial de la asignatura. Incluyen explicaciones claras, esquemas y conceptos clave, útiles para el estudio continuo, el repaso previo a exámenes y el apoyo a la resolución de problemas

TEMA-1-INTRODUCCION-Y-DEFINICIONES-BASICAS.pdf
TEMA-2-PROPIEDADES-DE-LAS-SUSTANCIAS-PURAS.pdf
TEMA-3-PRIMER-PRINCIPIO-DE-LA-TERMODINAMICA.pdf
TEMA-4-PSICROMETRIA.pdf
TEMA-5-SEGUNDO-PRINCIPIO-DE-LA-TERMODINAMICA.pdf
TEMA-6.1-CICLOS-DE-REFRIGERACION.pdf

ejercicios

-

EJERCICIOS TERMODINÁMICA

Carpeta con ejercicios de Termodinámica. Incluye problemas representativos de la asignatura, útiles para practicar la aplicación de fórmulas, afianzar conceptos teóricos y preparar exámenes mediante resolución de ejercicios tipo.

PROCESOS-POLITROPICOS.-SISTEMAS-CERRADOS.pdf
BALANCES-DE-ENERGIA-EN-SISTEMAS-ABIERTOS.pdf
PROCESOS-TRANSITORIOS.pdf
PSICROMETRIA.pdf
SEGUNDO-PRINCIPIO.-BALANCES-DE-ENTROPIA.pdf
CICLOS-DE-POTENCIA-Y-REFRIGERACION.pdf

practicas

-

PRÁCTICAS TERMODINÁMICA

Prácticas de Termodinámica del curso 2024/2025

PRACTICA-1-AGUA.pdf
PRACTICA-1-AIRE.pdf
Miniatura no disponible
PRACTICA-1-CALCULO-DE-PROPIEDADES-TERMODINAMICAS.EES
Miniatura no disponible
PRACTICA-1-CALCULO-DE-PROPIEDADES-TERMODINAMICAS-parte-2.EES
PRACTICA-2-ABIERTO.pdf
PRACTICA-2-CERRADO.pdf

He publicado nuevos apuntes de 2º Termodinámica Técnica y Fundamentos de Transmisión de Calor: Resumen-ciclos-termodinamicos.pdf

2 páginas

He publicado nuevos examenes de 2º Termodinámica Técnica y Fundamentos de Transmisión de Calor: Examen-junio-2025-resuelto-segunda-parte.pdf

6 páginas

He publicado nuevos examenes de 2º Termodinámica Técnica y Fundamentos de Transmisión de Calor: 09-Enero-2025.pdf

8 páginas

ejercicios

-

Clase de problemas

He publicado nuevos ejercicios de 2º Termodinámica Técnica y Fundamentos de Transmisión de Calor: Clase de problemas

Clase-de-problemas-1-explicado-ambos-subgrupos.pdf
Clase-de-problemas-7.pdf
Clase-de-problemas-6.pdf
Clase-de-problemas-8.pdf
Clase-de-problemas-9-resueltos.pdf
Clase-de-problemas-10.pdf

He publicado nuevos apuntes de 2º Termodinámica Técnica y Fundamentos de Transmisión de Calor: Tema-1-Termodinamica.pdf

2 páginas

He publicado nuevos examenes de 2º Termodinámica Técnica y Fundamentos de Transmisión de Calor: Examen-enero-2025-resuelto.pdf

9 páginas

Soluciones 2ª parte Septiembre 2022 Junio 2025 Junio 2023

13 páginas

Serie 8

22 páginas

Serie 9

14 páginas

Serie 10

8 páginas

He publicado nuevos apuntes de 2º Termodinámica Técnica y Fundamentos de Transmisión de Calor: Termodinamica.pdf

37 páginas

He publicado nuevos ejercicios de 2º Termodinámica Técnica y Fundamentos de Transmisión de Calor: Procesos-Transitorios-en-Sistemas-Abiertos.pdf

8 páginas

He publicado nuevos ejercicios de 2º Termodinámica Técnica y Fundamentos de Transmisión de Calor: Psicrometria.pdf

8 páginas

He publicado nuevos ejercicios de 2º Termodinámica Técnica y Fundamentos de Transmisión de Calor: Segundo-Principio-y-Balances-de-Entropia.pdf

6 páginas

ejercicios

-

Ciclos de Potencia y Refrigeración

He publicado nuevos ejercicios de 2º Termodinámica Técnica y Fundamentos de Transmisión de Calor: Ciclos de Potencia y Refrigeración

Ciclos-de-Potencia-y-Refrigeracion-6-13.pdf
Ciclos-de-Potencia-y-Refrigeracion-1-5.pdf

examenes

-

Exámenes termo

He publicado nuevos examenes de 2º Termodinámica Técnica y Fundamentos de Transmisión de Calor: Exámenes termo

Examen-9-1-25-2a-parte.pdf
Examen-28-1-2021.pdf
Examen-21-01-23.pdf
Examen-09-01-2024-2a-parte.pdf
Examen-26-06-2023-2a-parte.pdf

ejercicios

-

Ejercicios por temas

He publicado nuevos ejercicios de 2º Termodinámica Técnica y Fundamentos de Transmisión de Calor: Ejercicios por temas

Ejercicios-tema-3.pdf
Ejercicios-tema-4.pdf
Ejercicios-tema-5.pdf
Ejercicios-tema-6.pdf
Ejercicios-tema-7.pdf
Ejercicios-tema-8.pdf

ejercicios

-

Ejercicios resueltos

He publicado nuevos ejercicios de 2º Termodinámica Técnica y Fundamentos de Transmisión de Calor: Ejercicios resueltos

Ejercicios-serie-2-resueltos.pdf
Ejercicios-serie-3-resueltos.pdf
Ejercicios-serie-5-resueltos.pdf
Ejercicios-serie-6.pdf
Ejercicios-serie-7.pdf

He publicado nuevos apuntes de 2º Termodinámica Técnica y Fundamentos de Transmisión de Calor: Formulario-segunda-parte.pdf

11 páginas

practicas

-

Prácticas resueltas

He publicado nuevos practicas de 2º Termodinámica Técnica y Fundamentos de Transmisión de Calor: Prácticas resueltas

Practica-1.pdf
Practica-2.pdf
Practica-3.pdf
Practica-4.pdf
Practica-5.pdf

practicas

-

Prácticas

He publicado nuevos practicas de 2º Termodinámica Técnica y Fundamentos de Transmisión de Calor: Prácticas

CuestionarioPrevioP1.pdf
CuestionarioPrevioP3.pdf
CuestionarioPrevioP2.pdf
CuestionarioPrevioP4.pdf
CuestionarioPrevioP5.pdf

He publicado nuevos examenes de 2º Termodinámica Técnica y Fundamentos de Transmisión de Calor: cuestiones-teoricas-resueltas-primera-parte.pdf

4 páginas