Termodinámica y Catálisis

chevron_left
chevron_right
Todo
Apuntes
Ejercicios
Exámenes
Prácticas
Trabajos
chevron_left
chevron_right

Examen ordinario cinética curso 2024/2025

3 páginas

He publicado nuevos ejercicios de 2º Termodinámica y Catálisis: Ejercicios-Catalisis.pdf

4 páginas
Anónimo

@Anónimo

He publicado nuevos practicas de 2º Termodinámica y Catálisis: INFORME-PRAC.-TERMODINAMICA.pdf

13 páginas
Anónimo

@Anónimo

He publicado nuevos examenes de 2º Termodinámica y Catálisis: Seminario-parte-1.pdf

7 páginas

He publicado nuevos apuntes de 2º Termodinámica y Catálisis: FORMULARIO-TERMO-1-PARTE.pdf

2 páginas

He publicado nuevos apuntes de 2º Termodinámica y Catálisis: Parte-Catalisis-Esquemas.pdf

11 páginas

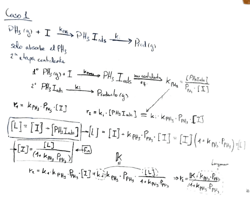
He publicado nuevos apuntes de 2º Termodinámica y Catálisis: ApuntesCinetica.pdf

5 páginas

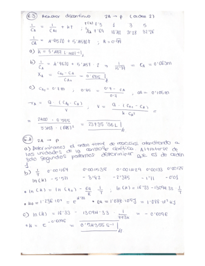
He publicado nuevos ejercicios de 2º Termodinámica y Catálisis: EjerciciosCinetica.pdf

6 páginas

He publicado nuevos trabajos de 2º Termodinámica y Catálisis: CasoPracticoCatalisisHeterogenea.pdf

2 páginas

He publicado nuevos apuntes de 2º Termodinámica y Catálisis: ApuntesCatalisisHeterogenea.pdf

7 páginas

He publicado nuevos apuntes de 2º Termodinámica y Catálisis: Catalisis-heterogenea.pdf

18 páginas

He publicado nuevos apuntes de 2º Termodinámica y Catálisis: metodos-de-sintesis-nanoparticulas.pdf

2 páginas
¡Estás al día!

¡Estás al día!

Has visto todos los archivos