Todo
Apuntes
Ejercicios
Exámenes
Otros
Prácticas
Test
Trabajos
chevron_left
chevron_right

He publicado nuevos ejercicios de 1º Termodinámica y Cinética Química: Ejercicios-resueltos-tercer-parcial-cinetica.pdf

16 páginas

He publicado nuevos ejercicios de 1º Termodinámica y Cinética Química: Ejercicios-resueltos-primer-parcial-termodinamica.pdf

12 páginas

He publicado nuevos ejercicios de 1º Termodinámica y Cinética Química: Ejercicios-segundo-parcial-termodinamica.pdf

21 páginas

He publicado nuevos apuntes de 1º Termodinámica y Cinética Química: WOOCLAP-1.pdf

4 páginas

Apuntes primer parcial termo (vídeos)

17 páginas

He publicado nuevos apuntes de 1º Termodinámica y Cinética Química: Tema-8-Cinetica.pdf

4 páginas

Ejercicios tema 7 termodinámica

9 páginas

He publicado nuevos apuntes de 1º Termodinámica y Cinética Química: apuntes-segundo-parcial.pdf

12 páginas

He publicado nuevos apuntes de 1º Termodinámica y Cinética Química: Apuntes-1o-Parcial.pdf

20 páginas

He publicado nuevos examenes de 1º Termodinámica y Cinética Química: Pasos-examen-laboratorio-termodinamica.pdf

9 páginas

He publicado nuevos apuntes de 1º Termodinámica y Cinética Química: Hojas-resumenes-P3-ingles.pdf

5 páginas

apuntes

-

Resumenes Segundo Parcial (inglés)

He publicado nuevos apuntes de 1º Termodinámica y Cinética Química: Resumenes Segundo Parcial (inglés)

Unit-3-Helmholtz-And-Gibbs-Energies.pdf
Unit-4-Chemical-Potential.pdf
Unit-5-Phase-Equilibrium.pdf
Unit-6-Solutions.pdf
Unit-7-Two-Component-System.pdf

apuntes

-

Resumenes Primer Parcial (inglés)

He publicado nuevos apuntes de 1º Termodinámica y Cinética Química: Resumenes Primer Parcial (inglés)

Tema-1-Intro-1s-Law.pdf
Tema-2-2-y-3-ley.pdf

apuntes

-

Apuntes

He publicado nuevos apuntes de 1º Termodinámica y Cinética Química: Apuntes

Tema-7.Bicomponentes.pdf
Tema-5.-Equilibrio-de-fases.pdf
Tema-6.-Disoluciones.pdf
Primer-parcial.-Parte-2.pdf
Primer-parcial.-Parte-1.pdf
Tema-13.-Biocatalisis.pdf

ejercicios

-

Ejercicios cinética

He publicado nuevos ejercicios de 1º Termodinámica y Cinética Química: Ejercicios cinética

Ejercicios-tema-10.pdf
Ejercicios-tema-9.pdf
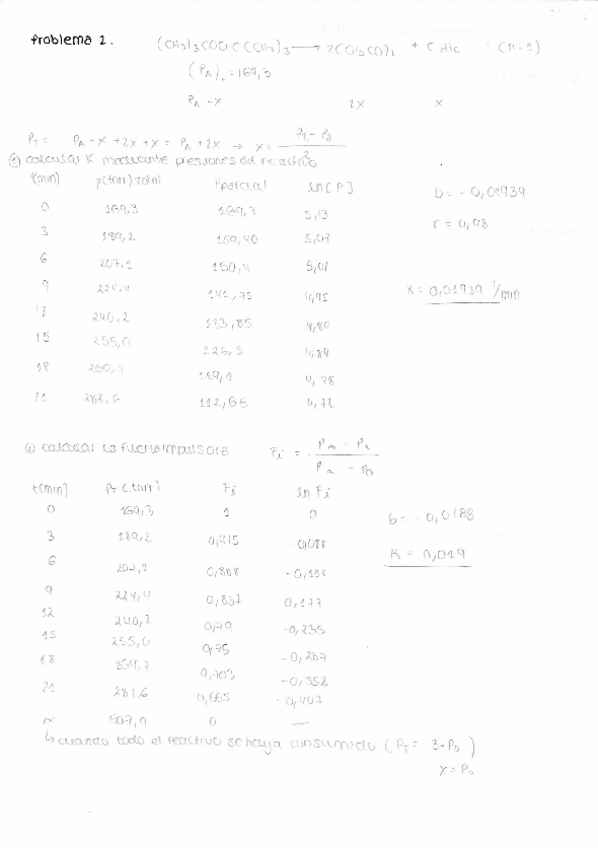
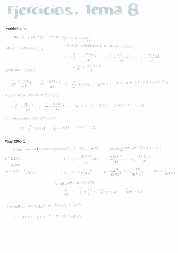
Ejercicios-tema-8.pdf
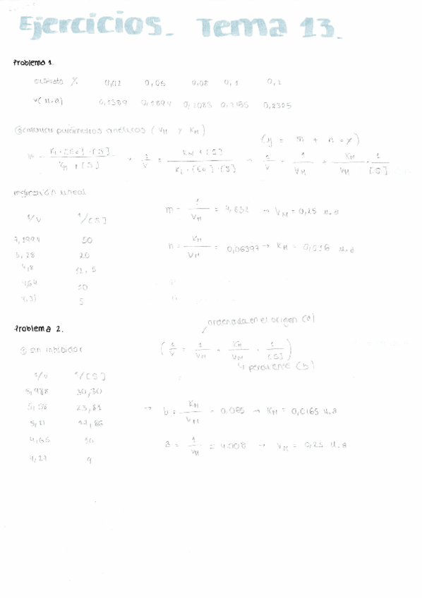
Ejercicios-tema-13.pdf

He publicado nuevos apuntes de 1º Termodinámica y Cinética Química: Tercer-parcial-cinetica.pdf

4 páginas

He publicado nuevos apuntes de 1º Termodinámica y Cinética Química: Segundo-parcial-termodinamica.pdf

3 páginas

ejercicios

-

Ejercicios termodinámica

He publicado nuevos ejercicios de 1º Termodinámica y Cinética Química: Ejercicios termodinámica

Ejercicios-tema-2.-Disoluciones.pdf
Ejercicios-tema-1.-Equilibrio-de-fases.pdf
Ejercicios-tema-3.-Biocomponentes.pdf

He publicado nuevos apuntes de 1º Termodinámica y Cinética Química: ejercicios-cinetica.pdf

13 páginas

apuntes

-

Ejercicios segundo parcial

He publicado nuevos apuntes de 1º Termodinámica y Cinética Química: Ejercicios segundo parcial

t7.pdf
t5.pdf
t6..pdf

He publicado nuevos apuntes de 1º Termodinámica y Cinética Química: Apuntes-Parcial-Cinetica.pdf

4 páginas

He publicado nuevos ejercicios de 1º Termodinámica y Cinética Química: Problemas-Resueltos-Cinetica.pdf

12 páginas

He publicado nuevos ejercicios de 1º Termodinámica y Cinética Química: Problemas-Resueltos-T5.pdf

4 páginas

He publicado nuevos ejercicios de 1º Termodinámica y Cinética Química: Problemas-Resueltos-T6.pdf

3 páginas

He publicado nuevos apuntes de 1º Termodinámica y Cinética Química: Teoria-Termo.pdf

12 páginas

He publicado nuevos apuntes de 1º Termodinámica y Cinética Química: Apuntes-Practicas-Termo.pdf

2 páginas

He publicado nuevos apuntes de 1º Termodinámica y Cinética Química: Teoria-cinetica.pdf

7 páginas

He publicado nuevos apuntes de 1º Termodinámica y Cinética Química: Ejercicios-cinetica.pdf

8 páginas

He publicado nuevos apuntes de 1º Termodinámica y Cinética Química: APUNTES-COMPLETOS-TERMO-1-PARCIAL.pdf

36 páginas

He publicado nuevos examenes de 1º Termodinámica y Cinética Química: Examen-cinetica-junio-2024.pdf

5 páginas

He publicado nuevos apuntes de 1º Termodinámica y Cinética Química: Cinetica.pdf

36 páginas
Anónimo

@Anónimo

apuntes

-

Resumen cinética

He publicado nuevos apuntes de 1º Termodinámica y Cinética Química: Resumen cinética

8-Conceptos-fundamentales240513134612.pdf
9-Metodos-experimentales240516101737.pdf
10-Cinetica-molecular240521094405.pdf
T-12240527141709.pdf
T11240523100929.pdf
Tema-13240528115949.pdf
Anónimo

@Anónimo

He publicado nuevos examenes de 1º Termodinámica y Cinética Química: EXAMEN-MARZO-2023.pdf

5 páginas

examenes

-

2024 TD

He publicado nuevos examenes de 1º Termodinámica y Cinética Química: 2024 TD

Examen-Practicas.pdf
Examen-2-2024.pdf
Examen-1-2024.pdf

He publicado nuevos examenes de 1º Termodinámica y Cinética Química: Examenes-Y-Socratives-Resueltos.-Tercer-Parcial.-Cinetica..pdf

18 páginas

He publicado nuevos apuntes de 1º Termodinámica y Cinética Química: Explicacion-Ejercicios-tema-11.pdf

3 páginas

He publicado nuevos ejercicios de 1º Termodinámica y Cinética Química: Ejercicios-Cinetica-Tercer-Parcial.-Temas-8-9-10-11-12.pdf

28 páginas

He publicado nuevos ejercicios de 1º Termodinámica y Cinética Química: ejercicios-cinetica-tema-12.pdf

2 páginas

He publicado nuevos ejercicios de 1º Termodinámica y Cinética Química: ejercicios-cinetica-tema-9.pdf

3 páginas

He publicado nuevos ejercicios de 1º Termodinámica y Cinética Química: ejercicios-cinetica-tema-8.pdf

4 páginas

He publicado nuevos apuntes de 1º Termodinámica y Cinética Química: Apuntes-Practicas-Termodinamica-Expliccadas--Calculos--Ejemplo-Examen-de-Practicas-Resuelto.pdf

8 páginas

He publicado nuevos apuntes de 1º Termodinámica y Cinética Química: Apuntes-TEMA2-2.pdf

2 páginas

He publicado nuevos apuntes de 1º Termodinámica y Cinética Química: Apuntes-TEMA-1.pdf

4 páginas

He publicado nuevos apuntes de 1º Termodinámica y Cinética Química: Apuntes-de-todas-las-practicas-para-el-examen-de-practicas.pdf

2 páginas

He publicado nuevos apuntes de 1º Termodinámica y Cinética Química: Apuntes-practicas-termo.pdf

5 páginas

He publicado nuevos apuntes de 1º Termodinámica y Cinética Química: laboratorios-termodinamica-explicados--calculos.pdf

6 páginas

He publicado nuevos practicas de 1º Termodinámica y Cinética Química: CALCULOS-PRACTICAS-TERMODINAMICA.pdf

7 páginas

apuntes

-

resumen prácticas

He publicado nuevos apuntes de 1º Termodinámica y Cinética Química: resumen prácticas

Resumen-practica-1-termo.pdf
Resumen-practica-2-termo.pdf

He publicado nuevos ejercicios de 1º Termodinámica y Cinética Química: Ejercicios Tema 5 Resueltos. (Resubidos) Parcial 2 de Termodinamica.pdf

8 páginas

He publicado nuevos ejercicios de 1º Termodinámica y Cinética Química: Ejercicios Tema 6 Resueltos. Parcial 2 de Termodinamica.pdf

8 páginas

He publicado nuevos ejercicios de 1º Termodinámica y Cinética Química: Ejercicios Tema-7 Resueltos. Parcial 2 de Termodinamica.pdf

7 páginas

He publicado nuevos apuntes de 1º Termodinámica y Cinética Química: esquema-tema-7-termo.pdf

3 páginas

He publicado nuevos apuntes de 1º Termodinámica y Cinética Química: ejercicios-tema-7-termo.pdf

2 páginas

He publicado nuevos apuntes de 1º Termodinámica y Cinética Química: ejercicios-tema-6-termo.pdf

7 páginas

He publicado nuevos apuntes de 1º Termodinámica y Cinética Química: esquema-tema-6-termo.pdf

3 páginas

He publicado nuevos apuntes de 1º Termodinámica y Cinética Química: ejercicios-tema-5-termo.pdf

4 páginas

He publicado nuevos apuntes de 1º Termodinámica y Cinética Química: esquema-tema-5-termo.pdf

3 páginas

He publicado nuevos apuntes de 1º Termodinámica y Cinética Química: esquema-tema-3-termo.pdf

5 páginas

He publicado nuevos ejercicios de 1º Termodinámica y Cinética Química: Problems-Unit-6-resueltos.pdf

6 páginas

apuntes

-

Parcial 2 termodinámica

He publicado nuevos apuntes de 1º Termodinámica y Cinética Química: Parcial 2 termodinámica

Apuntes-tema-3-termodinamica.pdf
Apuntes-tema-4-termodinamica.pdf