Todo
Apuntes
Ejercicios
Exámenes
chevron_left
chevron_right

He publicado nuevos examenes de 2º Termodinámica y Transmisión de Calor: Examen-Termo.pdf

2 páginas

He publicado nuevos examenes de 2º Termodinámica y Transmisión de Calor: EXAMEN-TERMODINAMICA-2023.jpeg

Imagen

He publicado nuevos apuntes de 2º Termodinámica y Transmisión de Calor: FORMULARIO-TERMODINAMICA.pdf

2 páginas

Examen resuelto parte de calor, año 23/24

5 páginas

He publicado nuevos apuntes de 2º Termodinámica y Transmisión de Calor: FORMULARIO-CALOR.pdf

4 páginas

apuntes

-

Thermodinamics 1st exam

He publicado nuevos apuntes de 2º Termodinámica y Transmisión de Calor: Thermodinamics 1st exam

Thermodynamics-assigment3.pdf
Hw-unit2..pdf
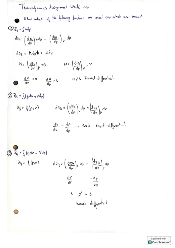
Thermodynamics-assignment-week-one.pdf

He publicado nuevos apuntes de 2º Termodinámica y Transmisión de Calor: Formulario-Termodinamica.pdf

1 página

apuntes

-

Resúmenes

He publicado nuevos apuntes de 2º Termodinámica y Transmisión de Calor: Resúmenes

Resumen-Ciclo-Rankine.pdf
Resumen-Termo-T1.pdf
Resumen-Termo-T2.pdf
Resumen-Termo-T3.pdf

apuntes

-

Apuntes calor

He publicado nuevos apuntes de 2º Termodinámica y Transmisión de Calor: Apuntes calor

Calor-T.0.pdf

apuntes

-

Apuntes termodinámica

He publicado nuevos apuntes de 2º Termodinámica y Transmisión de Calor: Apuntes termodinámica

Termodinamica-T.1.pdf
Termodinamica-T.2.pdf
Termodinamica-T.3.1.pdf
Termodinamica-T.3.2.pdf
Termodinamica-T.4.1.pdf
Termodinamica-T.4.2.pdf

He publicado nuevos ejercicios de 2º Termodinámica y Transmisión de Calor: Entregable-U1.pdf

3 páginas

ejercicios

-

Clase práctica

He publicado nuevos ejercicios de 2º Termodinámica y Transmisión de Calor: Clase práctica

Clase-Practica-T.1.pdf
Clase-Practica-T.2.pdf
Clase-Practica-T.3.2.pdf
Clase-Practica-T.3.pdf
Clase-Practica-T.4-Ej.1.pdf

He publicado nuevos apuntes de 2º Termodinámica y Transmisión de Calor: Unidades-SI-S.Ingles.pdf

6 páginas

He publicado nuevos apuntes de 2º Termodinámica y Transmisión de Calor: Formulario-Final-Termo.pdf

1 página

apuntes

-

Libreta Clara

Libreta

T1-Termo-libreta-Clara.pdf
T2-Termo-libreta-Clara.pdf

He publicado nuevos apuntes de 2º Termodinámica y Transmisión de Calor: Ejercicios-termo-T1-y-2-ej-por-hoja.pdf

6 páginas

He publicado nuevos apuntes de 2º Termodinámica y Transmisión de Calor: Factores-de-conversion.pdf

1 página

He publicado nuevos apuntes de 2º Termodinámica y Transmisión de Calor: TABLAS-TERMODINAMICA-Moran-Shapiro.pdf

48 páginas

He publicado nuevos ejercicios de 2º Termodinámica y Transmisión de Calor: Problema-14.pdf

13 páginas

ejercicios

-

PROBLEMAS 6

He publicado nuevos ejercicios de 2º Termodinámica y Transmisión de Calor: PROBLEMAS 6

Problemas-Tema-6-ejer-3.pdf
Problemas-Tema-6-ejer-1.pdf
Problemas-Tema-6-ejer-4.pdf
Problemas-Tema-6-ejer-10.pdf
Problemas-Tema-6-ejer-6.pdf
Problemas-Tema-6-ejer-5.pdf

ejercicios

-

PROBLEMAS 5

He publicado nuevos ejercicios de 2º Termodinámica y Transmisión de Calor: PROBLEMAS 5

Problemas-Tema-5-Soluciones.pdf
Problemas-Tema-5.pdf
Problemas-Tema-5-ejer-1.pdf
Problemas-Tema-5-ejer-2.pdf

ejercicios

-

PROBLEMAS 4 + FORMULAS

He publicado nuevos ejercicios de 2º Termodinámica y Transmisión de Calor: PROBLEMAS 4 + FORMULAS

Problemas-Tema-4-ejer-2-y-3.pdf
Problemas-Tema-4-ejer-8.pdf
Problemas-Tema-4-ejer-6.pdf
Problemas-Tema-4-ejer-4.pdf
Problemas-Tema-4-ejer-5.pdf
Problemas-Tema-4-ejer-7.pdf

ejercicios

-

PROBLEMAS 3

He publicado nuevos ejercicios de 2º Termodinámica y Transmisión de Calor: PROBLEMAS 3

Problemas-Tema-3-ejer-2.pdf
Problemas-Tema-3.pdf
Problemas-Tema-3-ejer-1.pdf
Problemas-Tema-3--Soluciones.pdf

ejercicios

-

PROBLEMAS 2

He publicado nuevos ejercicios de 2º Termodinámica y Transmisión de Calor: PROBLEMAS 2

Problemas-Tema-2-ejer-1.pdf
Problemas-Tema-2-ejer-3.pdf
Problemas-Tema-2.pdf
Problemas-Tema-2-ejer-2.pdf

ejercicios

-

PROBLEMAS 1

He publicado nuevos ejercicios de 2º Termodinámica y Transmisión de Calor: PROBLEMAS 1

Problemas-Tema-1-ejer-1.pdf
Problemas-Tema-1-ejer-2.jpg
Problemas-Tema-1.pdf

He publicado nuevos apuntes de 2º Termodinámica y Transmisión de Calor: Calculo-del-numero-de-cilindros.pdf

1 página

He publicado nuevos apuntes de 2º Termodinámica y Transmisión de Calor: Formulario-temas-1-6.pdf

2 páginas

He publicado nuevos apuntes de 2º Termodinámica y Transmisión de Calor: Diagrama-psicrometrico-NAUTICA.pdf

1 página

He publicado nuevos apuntes de 2º Termodinámica y Transmisión de Calor: Guia-IDAE-diseno-de-aislamiento.pdf

64 páginas

ejercicios

-

PROBLEMAS RESUELTOS

He publicado nuevos ejercicios de 2º Termodinámica y Transmisión de Calor: PROBLEMAS RESUELTOS

Problemas-Tema-9.pdf
Problemas-4.pdf
Problema-9.pdf
Problema-13.pdf
Problema-14.pdf
Problema-9.pdf

apuntes

-

Trasferencia de calor

He publicado nuevos apuntes de 2º Termodinámica y Transmisión de Calor: Trasferencia de calor

EneroSolucionProb1y2.pdf
TCOrdinariaP320152016.pdf
Enunciado-Parcial-1-20142015.pdf
Solucion-Parcial-1-20142015.pdf
DiciembreB.pdf
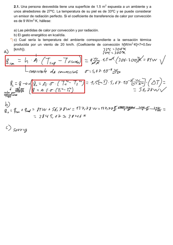
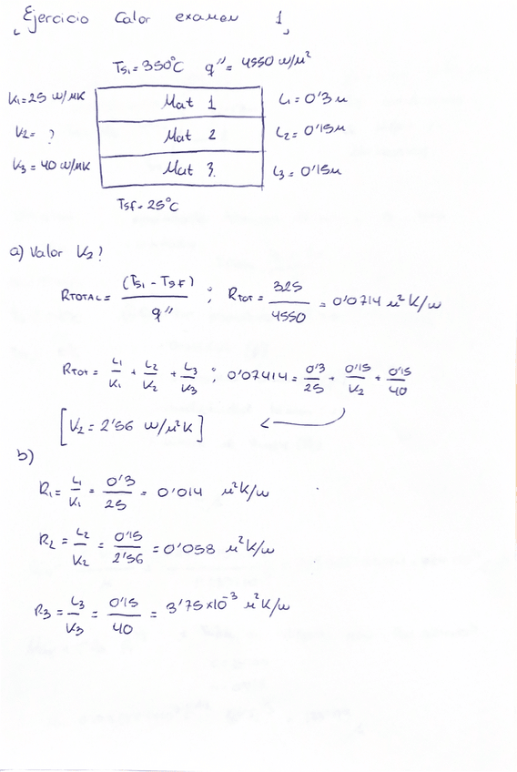
Ejercicios-resueltos.pdf
¡Estás al día!

¡Estás al día!

Has visto todos los archivos