chevron_left
chevron_right
Todo
Apuntes
Ejercicios
Exámenes
Prácticas
publication
Trabajos
chevron_left
chevron_right

He publicado nuevos apuntes de 2º Termodinámica: 3-Parcial-Teoria.pdf

3 páginas

apuntes

-

Teoría Termodinámica y Transmisión de Calor

Hay algunas secciones que me gustaría haber mejorado, y faltan tres temas que no pude terminar del final del segundo parcial, pero gran parte del temario y los temas de transmisión de calor sí están completos. Quería haberlos subido completos pero no me h

Seccion-1-Conceptos-Iniciales.pdf
Seccion-2-Principio-Cero.-Ecuaciones-Termicas-de-Estado.pdf
Seccion-3-Primer-Principio.-Ecuaciones-energeticas-de-estado.pdf
Seccion-4-Segundo-Principio.pdf
Seccion-5-Entropia.pdf
Seccion-6-Potenciales-Termodinamicos.pdf

examenes

-

EXAMENES 2023-2025 Con Solución

He publicado nuevos examenes de 2º Termodinámica: EXAMENES 2023-2025 Con Solución

1a-CONVO-23-24.pdf
PRIMER-PARCIAL-24-25.pdf
SEGUNDO-PARCIAL-24-25.pdf
UC3MEXAMS.pdf

Apuntes transmisión de calor

6 páginas

He publicado nuevos ejercicios de 2º Termodinámica: Todos-los-ejercicios-del-segundo-parcial.pdf

43 páginas

He publicado nuevos apuntes de 2º Termodinámica: ApuntesCiclos.pdf

11 páginas

He publicado nuevos apuntes de 2º Termodinámica: ApuntesTermo.pdf

37 páginas

He publicado nuevos apuntes de 2º Termodinámica: Tema-1-Conceptos-iniciales.pdf

1 página

Esquema de los ejercicios y teoría aun mas resumida.

4 páginas

Resumen esquematizado de ejercicios (pasos a seguir y tipos) y teoría. También esquema de ciclos.

18 páginas

Resumen de ejercicios (pasos a seguir y tipos) y de teoría), las cuestiones teoricas de conceptos iniciales tambien estan subidas en mi perfil.

6 páginas

ejercicios

-

Ejercicios

He publicado nuevos ejercicios de 2º Termodinámica: Ejercicios

Ejercicios-Termodinamica.pdf
ej47de50.pdf
ej49de50.pdf
Ejercicio-REFPROP-WLA.pdf

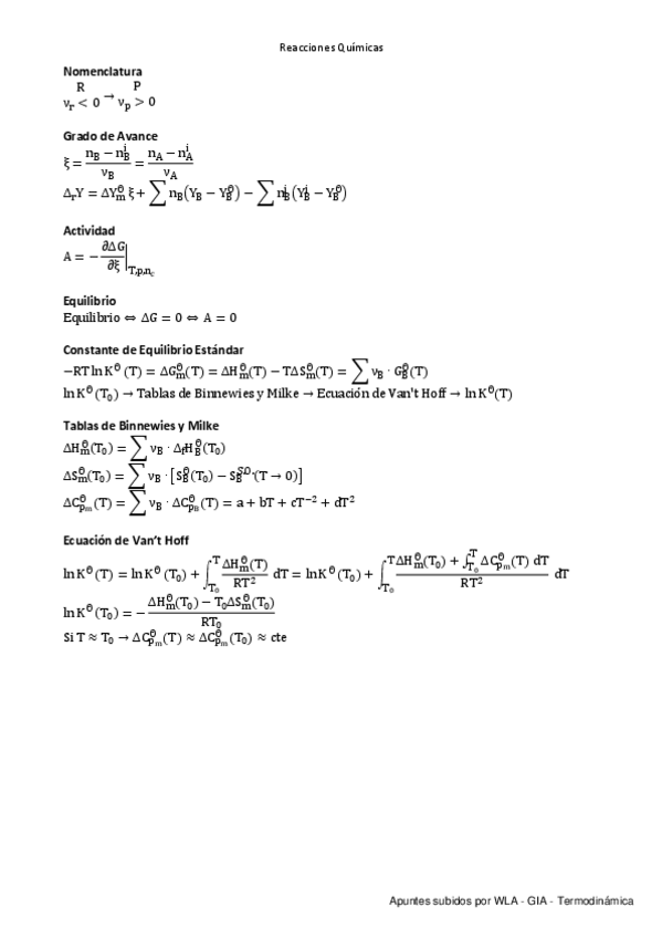
He publicado nuevos apuntes de 2º Termodinámica: 14.-Reacciones-Quimicas.pdf

2 páginas

He publicado nuevos apuntes de 2º Termodinámica: 13.-Aplicaciones.pdf

1 página

He publicado nuevos apuntes de 2º Termodinámica: 12.-Ecuaciones-Termicas-de-Mezclas.pdf

1 página

He publicado nuevos apuntes de 2º Termodinámica: 11.-Diferencia-de-las-Funciones-Termodinamicas-con-la-Composicion.pdf

1 página

He publicado nuevos apuntes de 2º Termodinámica: 10.-Equilibrio-y-Estabilidad.pdf

2 páginas

He publicado nuevos apuntes de 2º Termodinámica: 09.-Magnitudes-Molares-Parciales.pdf

3 páginas

He publicado nuevos apuntes de 2º Termodinámica: 08.-Ciclos-Termodinamicos.pdf

4 páginas

He publicado nuevos apuntes de 2º Termodinámica: 07.-Exergia.-Ecuaciones-Exergeticas-de-Estado.pdf

1 página

He publicado nuevos apuntes de 2º Termodinámica: 06.-Potenciales-Termodinamicos.pdf

2 páginas

He publicado nuevos apuntes de 2º Termodinámica: 05.-Entropia.-Ecuaciones-Entropicas-de-Estado.pdf

2 páginas

He publicado nuevos apuntes de 2º Termodinámica: 04.-Segundo-Principio.pdf

1 página

He publicado nuevos apuntes de 2º Termodinámica: 02.-Principio-Cero.-Ecuaciones-Termicas-de-Estado.pdf

2 páginas

He publicado nuevos apuntes de 2º Termodinámica: 03.-Primer-Principio.-Ecuaciones-Energeticas-de-Estado.pdf

2 páginas

He publicado nuevos apuntes de 2º Termodinámica: 01.-Conceptos-Iniciales.pdf

2 páginas

He publicado nuevos apuntes de 2º Termodinámica: 0.-Metodologia-de-los-Siete-Pasos-WLA.pdf

1 página

He publicado nuevos apuntes de 2º Termodinámica: 0.-Maquinas-Termodinamica-WLA.pdf

1 página

He publicado nuevos apuntes de 2º Termodinámica: 15.-Combustion.pdf

1 página

He publicado nuevos apuntes de 2º Termodinámica: Formulario.pdf

4 páginas
Anónimo

@Anónimo

examenes

-

Problemas de examen

He publicado nuevos examenes de 2º Termodinámica: Problemas de examen

Enunciados-Problemas-GIA.pdf
Solucion-GIA-020919-E2.pdf
Solucion-GIA-290119-E1.pdf

He publicado nuevos apuntes de 2º Termodinámica: TEORIA-PRIMER-PARCIAL.pdf

13 páginas

He publicado nuevos apuntes de 2º Termodinámica: TEORIA-PRIMER-PARCIAL-como-se-pregunta-en-examen.pdf

12 páginas

He publicado nuevos apuntes de 2º Termodinámica: TEORIA-CICLOS.pdf

3 páginas

He publicado nuevos apuntes de 2º Termodinámica: FORMULARIO-SISTEMAS-COMPUESTOS.pdf

2 páginas

He publicado nuevos apuntes de 2º Termodinámica: FORMULARIO-COMBUSTION.pdf

1 página

He publicado nuevos apuntes de 2º Termodinámica: TEORIA-SISTEMAS-COMPUESTOS-como-se-pregunta-en-examen.pdf

6 páginas

He publicado nuevos apuntes de 2º Termodinámica: FORMULARIO-SISTEMAS-SIMPLES.pdf

1 página

He publicado nuevos apuntes de 2º Termodinámica: Propuesta-ProblemaCDRD.pdf

2 páginas

He publicado nuevos apuntes de 2º Termodinámica: EnunciadospbmasTCMC.pdf

19 páginas

He publicado nuevos apuntes de 2º Termodinámica: EnunciadospbmasTCCD.pdf

15 páginas

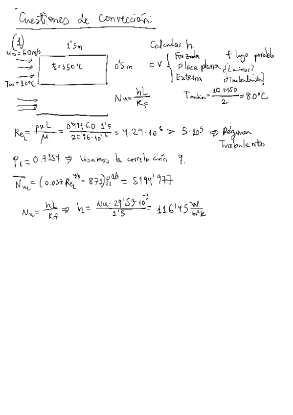
He publicado nuevos apuntes de 2º Termodinámica: Cuestiones-Conveccion.pdf

8 páginas

He publicado nuevos apuntes de 2º Termodinámica: teoria-ciclos.pdf

2 páginas

He publicado nuevos apuntes de 2º Termodinámica: teoria-segundo-parcial.pdf

4 páginas

He publicado nuevos apuntes de 2º Termodinámica: CE-1.pdf

3 páginas

He publicado nuevos apuntes de 2º Termodinámica: Ejercicio-18.pdf

4 páginas

He publicado nuevos apuntes de 2º Termodinámica: Problema-temario-segundo-parcial.pdf

2 páginas

He publicado nuevos apuntes de 2º Termodinámica: Potenciales-termodinamicos.pdf

4 páginas

He publicado nuevos apuntes de 2º Termodinámica: Equilibrio-y-estabilidad.pdf

5 páginas

He publicado nuevos apuntes de 2º Termodinámica: Conceptos-iniciales.pdf

5 páginas

He publicado nuevos examenes de 2º Termodinámica: Cuestiones-Teoricas.pdf

18 páginas

He publicado nuevos ejercicios de 2º Termodinámica: EjerciciosCombinadosCalorClase.pdf

13 páginas

apuntes

-

RESUMENES TRANSMISIÓN CALOR

He publicado nuevos apuntes de 2º Termodinámica: RESUMENES TRANSMISIÓN CALOR

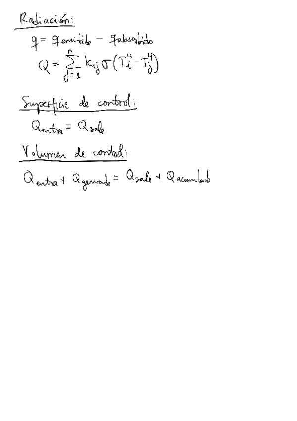
RadiacionResumen.pdf
IntroduccionResumen.pdf
ConveccionResumen.pdf
ConduccionResumen.pdf

He publicado nuevos apuntes de 2º Termodinámica: mecanismos-combinados.pdf

18 páginas

He publicado nuevos apuntes de 2º Termodinámica: Conveccion-cuestiones.pdf

4 páginas

He publicado nuevos apuntes de 2º Termodinámica: Teoria-Transmision-de-calor.pdf

12 páginas
Anónimo

@Anónimo

He publicado nuevos apuntes de 2º Termodinámica: resumen-ej-termo.pdf

10 páginas

examenes

-

EXÁMENES PARTE TERMODINÁMICA

Exámenes del curso 23-24 y 24-25

1a-CONVO-23-24.pdf
PRIMER-PARCIAL-24-25.pdf
SEGUNDO-PARCIAL-24-25.pdf

ejercicios

-

Problemas en los que aparece explícitamente el tiempo

He publicado nuevos ejercicios de 2º Termodinámica: Problemas en los que aparece explícitamente el tiempo

Pagina-318-problema-18.pdf
Pagina-318-Problema-19.pdf

ejercicios

-

Problemas de mezclas de gases genéricas

He publicado nuevos ejercicios de 2º Termodinámica: Problemas de mezclas de gases genéricas

Problema-2.pdf
Problema-1.pdf