chevron_left
chevron_right
Todo
Apuntes
Ejercicios
Exámenes
chevron_left
chevron_right

Segunda parte de problemas del primer parcial resueltos paso a paso y con resolución numérica.

6 páginas

primera parte de problemas del primer parcial resueltos paso a paso y con resolución numérica.

7 páginas

He publicado nuevos apuntes de 2º Termodinámica: FORMULARIO-PARA-PRIMER-PARCIAL.pdf

2 páginas

Problemas de ciclos alternativos resueltos paso a paso.

5 páginas

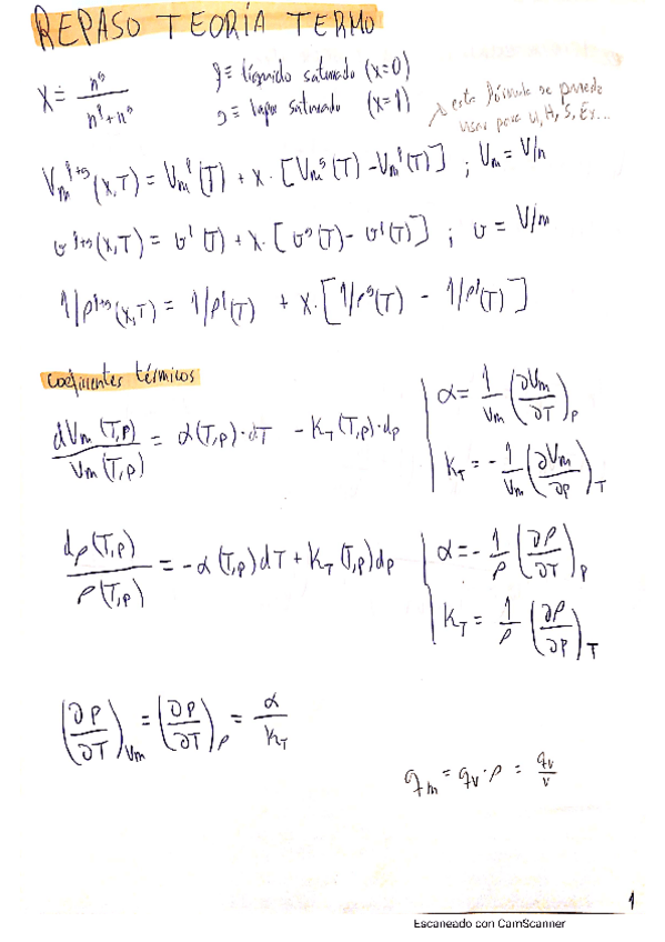
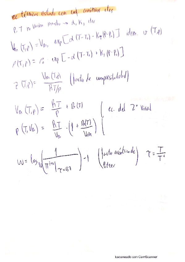
Resumen de toda la teoría del segundo parcial de termodinámica.

4 páginas

Resumen de toda la teoría del primer parcial de termodinámica y teoría básica para hacer los problemas

5 páginas

He publicado nuevos apuntes de 2º Termodinámica: Apuntes-de-clase-1er-parcial.pdf

12 páginas

He publicado nuevos apuntes de 2º Termodinámica: ApuntesTermoP1.pdf

36 páginas

He publicado nuevos apuntes de 2º Termodinámica: TermoCiclos.pdf

10 páginas

He publicado nuevos ejercicios de 2º Termodinámica: Ejercicios-TD-segundo-parcial.pdf

7 páginas

He publicado nuevos ejercicios de 2º Termodinámica: Ejercicios-TD-primer-parcial.pdf

8 páginas

He publicado nuevos apuntes de 2º Termodinámica: 2-PARCIAL-todo-lo-que-necesitas-saber.pdf

9 páginas

He publicado nuevos apuntes de 2º Termodinámica: 1-PARCIAL-todo-lo-que-necesitas-saber.pdf

16 páginas

He publicado nuevos apuntes de 2º Termodinámica: TODOS-LOS-APUNTES-necesarios.pdf

22 páginas

He publicado nuevos apuntes de 2º Termodinámica: CICLOS-DE-POTENCIA.pdf

4 páginas

He publicado nuevos apuntes de 2º Termodinámica: CICLOS-DE-FLUJO-INVERSO-CLIMA.pdf

2 páginas

He publicado nuevos apuntes de 2º Termodinámica: CICLOS-DE-FLUJO.-BRAYTON-Y-RANKINE.pdf

3 páginas

He publicado nuevos apuntes de 2º Termodinámica: TEMA-8.-EQUILIBRIO-Y-ESTABILIDAD.pdf

3 páginas

He publicado nuevos apuntes de 2º Termodinámica: TEMA-7.-EXERGIA.pdf

6 páginas

He publicado nuevos apuntes de 2º Termodinámica: Segundo-Principio-de-la-termodinamica.pdf

7 páginas

He publicado nuevos apuntes de 2º Termodinámica: Primer-Principio-de-la-Termodinamica.pdf

11 páginas

He publicado nuevos apuntes de 2º Termodinámica: Tema-2.pdf

6 páginas

He publicado nuevos apuntes de 2º Termodinámica: Conceptos-iniciales.pdf

4 páginas

He publicado nuevos apuntes de 2º Termodinámica: TEMA-5 Y6. - ENTROPIA.-ECUACIONES-ENTROPICAS-DE-ESTADO.pdf

9 páginas

He publicado nuevos apuntes de 2º Termodinámica: TEMA-4.-SEGUNDO-PRINCIPIO.pdf

3 páginas

He publicado nuevos apuntes de 2º Termodinámica: TEMA-2.-PRINCIPIO-CERO.-ECUACIONES-TERMICAS-DE-ESTADO.pdf

4 páginas

He publicado nuevos apuntes de 2º Termodinámica: TEMA-3.-PRIMER-PRINCIPIO.-ECUACIONES-ENERGETICAS-DE-ESTADO.pdf

4 páginas

24/25

3 páginas

He publicado nuevos apuntes de 2º Termodinámica: temario-hasta-exergia.pdf

22 páginas

He publicado nuevos apuntes de 2º Termodinámica: TERMODINAMICA-IMPRESCINDIBLE.pdf

15 páginas

He publicado nuevos apuntes de 2º Termodinámica: Ciclos-directos.pdf

9 páginas

He publicado nuevos examenes de 2º Termodinámica: Preguntas-teoria-primer-parcial.pdf

4 páginas

apuntes

-

Apuntes 2023/2024

He publicado nuevos apuntes de 2º Termodinámica: Apuntes 2023/2024

Tema-1-Conceptos-iniciales.pdf
Tema-2-Principio-0.pdf
Tema-3-Primer-principio.pdf
Tema-4-Segundo-principio.pdf
Tema-5-Entropia.pdf
Tema-6-Potenciales-Termodinamicos.pdf

He publicado nuevos apuntes de 2º Termodinámica: tema-8-termodinamica.pdf

1 página

He publicado nuevos apuntes de 2º Termodinámica: tema-7-termodinamica.pdf

2 páginas

He publicado nuevos examenes de 2º Termodinámica: problema-resuelto-sept-21.pdf

2 páginas

He publicado nuevos apuntes de 2º Termodinámica: tema-6-termodinamica.pdf

2 páginas

He publicado nuevos apuntes de 2º Termodinámica: tema-5-termodinamica.pdf

3 páginas

He publicado nuevos ejercicios de 2º Termodinámica: ejercicios-resulto-en-clase-2.pdf

5 páginas

He publicado nuevos apuntes de 2º Termodinámica: tema-4-termodinamica.pdf

3 páginas

He publicado nuevos ejercicios de 2º Termodinámica: problemas-resueltos-en-clase.pdf

5 páginas

He publicado nuevos apuntes de 2º Termodinámica: tema-3-termodinamica.pdf

3 páginas

He publicado nuevos apuntes de 2º Termodinámica: tema-1-termodinamica.pdf

4 páginas

He publicado nuevos apuntes de 2º Termodinámica: APUNTES-1o-PARCIAL.pdf

4 páginas

apuntes

-

TEMARIO COMPLETO

He publicado nuevos apuntes de 2º Termodinámica: TEMARIO COMPLETO

TEMA-1.pdf
TEMA-2.pdf

apuntes

-

APUNTES DE CLASE 23-24

He publicado nuevos apuntes de 2º Termodinámica: APUNTES DE CLASE 23-24

CLASE-1.pdf
CLASE-5.pdf
CLASE-2.pdf
CLASE-3.pdf
CLASE-4.pdf

He publicado nuevos apuntes de 2º Termodinámica: Toda-la-teoria-de-termo-y-cosas-mas-importantes.pdf

49 páginas

#Termodinamica

28 páginas

Teoría de termo para el examen

20 páginas

apuntes

-

tablas y formulario GRATIS HD

lo que te cuesta como 7€ en copistería, tetasenlacara te lo da gratis :)

Tablas-termoquimicas.pdf
Formulario.pdf

He publicado nuevos apuntes de 2º Termodinámica: Teoria-Ciclos.pdf

7 páginas

He publicado nuevos apuntes de 2º Termodinámica: Tema-2.pdf

3 páginas

He publicado nuevos apuntes de 2º Termodinámica: Problemas-Resueltos.pdf

54 páginas

He publicado nuevos apuntes de 2º Termodinámica: Preguntas-de-teoria-para-examen.pdf

9 páginas

He publicado nuevos apuntes de 2º Termodinámica: Imprescindible-para-examen.pdf

9 páginas

apuntes

-

Resúmenes cortos teoría por tema

He publicado nuevos apuntes de 2º Termodinámica: Resúmenes cortos teoría por tema

Tema-3.pdf
Tema-4.pdf
Tema-5.pdf

apuntes

-

Ejercicios autoevaluación

He publicado nuevos apuntes de 2º Termodinámica: Ejercicios autoevaluación

Problema-de-autoevaluacion-1.pdf
Problema-de-autoevaluacion-2.pdf
Problema-de-autoevaluacion-3.pdf
Ejercicio-autoevaluacion-6.pdf

apuntes

-

Apuntes clase por tema

He publicado nuevos apuntes de 2º Termodinámica: Apuntes clase por tema

Tema-3-Termo.pdf
Tema-2-Termo.pdf
Tema-1-Termo.pdf

apuntes

-

Limites termodinámicos esquema

He publicado nuevos apuntes de 2º Termodinámica: Limites termodinámicos esquema

Mind-Map-2.pdf
Mind-Map.pdf

He publicado nuevos apuntes de 2º Termodinámica: verdadero-falso-o-posible-imposible.pdf

1 página