Termotècnia aplicada

chevron_left
chevron_right
Todo
Apuntes
chevron_left
chevron_right

He publicado nuevos apuntes de 2º Termotècnia aplicada: T5-CONCEPTES-BASICS-DE-LA-TERMODINAMICA.pdf

8 páginas

He publicado nuevos apuntes de 2º Termotècnia aplicada: T6-Calderes-i-combustibles.pdf

21 páginas

He publicado nuevos apuntes de 2º Termotècnia aplicada: T3-DETERMINACIO-DE-COEFICIENTS-DE-CONVECCIO.pdf

10 páginas

He publicado nuevos apuntes de 2º Termotècnia aplicada: Formularitermofinal2023editat.pdf

4 páginas

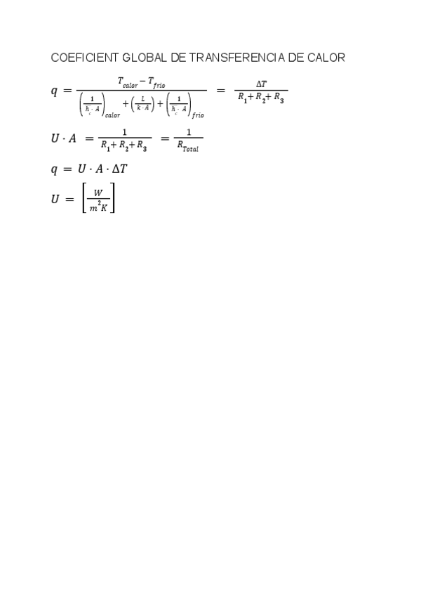
He publicado nuevos apuntes de 2º Termotècnia aplicada: T2-TRANSFERENCIA-DE-CALOR.pdf

4 páginas

He publicado nuevos apuntes de 2º Termotècnia aplicada: T4-INTERCANVIADORS-DE-CALOR.pdf

6 páginas

apuntes

-

Apunts PAC Exercicis Practiques

Apunts PAC Exercicis Fomrularis Practiques

Ejercicios-ciclos.pdf
Problemas-conceptos-previos.pdf
SuperFormulari-Termo.pdf
PAC-1-termodinamica.pdf
Humida-d-relativa.pdf
Treball-sintesis-2-termo.pdf

apuntes

-

varios3

He publicado nuevos apuntes de 2º Termotècnia aplicada: varios3

tablasvapor.pdf
TA2016Temperature-Measurement.pdf
TA2016Sustanciapura.pdf
Unidad10sistfrig.pdf
tablastranscalor.pdf

apuntes

-

varios2

He publicado nuevos apuntes de 2º Termotècnia aplicada: varios2

TA2016motores.pdf
TA2016coefconvec.pdf
TA2016psicrometria.pdf
TA2015Conceptostermodinamica.pdf
PROBpsicroRES.pdf
SP2.pdf

apuntes

-

varios1

He publicado nuevos apuntes de 2º Termotècnia aplicada: varios1

PROB4transferenciacalorRES.pdf
PROB5interc2RES.pdf
2016transferenciacalor2.pdf
PROBintercambiadores.pdf
Compresores.pdf
PROB5interc1RES.pdf
Anónimo

@Anónimo

apuntes

-

ts3

He publicado nuevos apuntes de 2º Termotècnia aplicada: ts3

IMG20170110092624.jpg
IMG20170110092540-1.jpg
TA2016trabajosintesis3.pdf
IMG20170110092558.jpg
IMG20170110092635.jpg
IMG20170110092540.jpg

apuntes

-

ts2

He publicado nuevos apuntes de 2º Termotècnia aplicada: ts2

fdb.png
IMG20161104013414.jpg
IMG20161104013404.jpg
gregh.png
rthb.png
wef.png

apuntes

-

ts2 2017

He publicado nuevos apuntes de 2º Termotècnia aplicada: ts2 2017

IMG20171203130844.jpg
IMG20171203130826.jpg
IMG20171203130901.jpg
TA2017trabajosintesis2.pdf
Graficos-y-Tablas-utilizados.pdf
IMG20171203130816.jpg

apuntes

-

ts1

He publicado nuevos apuntes de 2º Termotècnia aplicada: ts1

IMG20161006212807.jpg
TA2016trabajosintesis1.pdf
IMG20161006212818.jpg
IMG20161006212757.jpg
TA2017trabajosintesis1.pdf

apuntes

-

examenes2

He publicado nuevos apuntes de 2º Termotècnia aplicada: examenes2

pruebaintermedia2011.pdf
pruebaintermedia2012.pdf
pruebaintermedia2016.pdf
TAformulas.pdf
pruebaintermedia2014.pdf
pruebaintermediaproblemas2016.pdf

apuntes

-

examenes1

He publicado nuevos apuntes de 2º Termotècnia aplicada: examenes1

EXfebrero2014.pdf
EXdiciembre2017test.pdf
EXdic2017cuestprob.pdf
EXfebrero2015.pdf
EXfebrero2013.pdf
EXenero2017.pdf

apuntes

-

resolucion2017

He publicado nuevos apuntes de 2º Termotècnia aplicada: resolucion2017

IMG20170206105655.jpg
IMG20170206105737.jpg
IMG20170206105723.jpg
IMG20170206105728.jpg
IMG20170206105752.jpg
IMG20170206105807.jpg
¡Estás al día!

¡Estás al día!

Has visto todos los archivos