chevron_left
chevron_right
Todo
Apuntes
Ejercicios
Exámenes
Prácticas
Trabajos
chevron_left
chevron_right

He publicado nuevos practicas de 2º Topografía y Cartografía: Practicas-campo-20252026.pdf

24 páginas

He publicado nuevos apuntes de 2º Topografía y Cartografía: C1.1ALVAREZCEGARRALUCIAINFORMEFINAL.pdf

33 páginas

He publicado nuevos apuntes de 2º Topografía y Cartografía: Topografia-Primer-Parcial.pdf

43 páginas

He publicado nuevos apuntes de 2º Topografía y Cartografía: Topografia-Segundo-Parcial.pdf

38 páginas
Anónimo

@Anónimo

Este documento recopila y resuelve las preguntas teóricas en relación a la parte del segundo parcial de los exámenes de los últimos 3 años (Convocatorias Parciales y Extraordinarias de 2021 a 2024).

4 páginas

He publicado nuevos trabajos de 2º Topografía y Cartografía: INFORME-DE-TOPOGRAFIA.pdf

26 páginas

He publicado nuevos apuntes de 2º Topografía y Cartografía: topografiaPrimerParcial.pdf

33 páginas

He publicado nuevos apuntes de 2º Topografía y Cartografía: Teoria2Parcial.pdf

3 páginas

He publicado nuevos apuntes de 2º Topografía y Cartografía: Topografia-resumen-1py2p.pdf

7 páginas

apuntes

-

Resumen asignatura

Resumen de los exámenes, MDT y la teoria

CUESTIONESEXAMEN.pdf
FUNDAMENTOSTEORIAERRORES.pdf
MDT.pdf
Resumen1erParcial.pdf
Resumen2doParcial.pdf
RESUMENLIBRO.pdf

examenes

-

Exámenes topográfia

Exámenes parciales y ordinarios

ExamenOrdinario2023.pdf
Examen1Parcial2023.pdf
ExamenOrdinario2022.pdf
Examen1Parcial2021.pdf
Examen1Parcial2020.pdf
Examen1Parcial2018.pdf

He publicado nuevos apuntes de 2º Topografía y Cartografía: Resumen-2-parcial.pdf

15 páginas

Apuntes y Ejercicios

34 páginas

Apuntes y Ejercicios

28 páginas

PRÁCTICAS DE CAMPO COMPLETAS-TOPOGRAFÍA Y CARTOGRAFÍA Nota: 10/10

29 páginas

He publicado nuevos apuntes de 2º Topografía y Cartografía: Topografia-teoria-primer-parcial.pdf

3 páginas

He publicado nuevos apuntes de 2º Topografía y Cartografía: Fundamentos-de-topografia.pdf

14 páginas

He publicado nuevos apuntes de 2º Topografía y Cartografía: PRACTICASDECAMPO98VOLUNTARIO.pdf

27 páginas

He publicado nuevos practicas de 2º Topografía y Cartografía: practicas-de-campo.pdf

28 páginas

He publicado nuevos apuntes de 2º Topografía y Cartografía: Topografia-y-Cartografia.pdf

32 páginas

He publicado nuevos apuntes de 2º Topografía y Cartografía: TODO-CARTOGRAFIA.pdf

6 páginas

He publicado nuevos apuntes de 2º Topografía y Cartografía: TODO-GEODESIA.pdf

3 páginas

He publicado nuevos apuntes de 2º Topografía y Cartografía: TODO-ALTIMETRIA.pdf

3 páginas

examenes

-

Ejercicios 1P

He publicado nuevos examenes de 2º Topografía y Cartografía: Ejercicios 1P

Examenes-2022-2016-EJERCICIO-2.pdf
Examenes-2022-2016-EJERCICIO-1.pdf
Cuestiones-Examen-2022-2016.pdf
Resumenes-Ejercicios-tipo-y-teoria.pdf

He publicado nuevos apuntes de 2º Topografía y Cartografía: INFORME-TOPO-NOTA98.pdf

31 páginas

He publicado nuevos apuntes de 2º Topografía y Cartografía: teoria-segundo-parcial-topografia.pdf

3 páginas

He publicado nuevos apuntes de 2º Topografía y Cartografía: teoria-primer-parcial-topografia.pdf

4 páginas

He publicado nuevos apuntes de 2º Topografía y Cartografía: preguntas-teoria-topografia.pdf

7 páginas

Ejercicios de examen explicados paso a paso

36 páginas

He publicado nuevos apuntes de 2º Topografía y Cartografía: INFORME-FINAL.pdf

26 páginas

He publicado nuevos examenes de 2º Topografía y Cartografía: EXAMENES-SEGUNDO-PARCIAL-TOPO.pdf

29 páginas

He publicado nuevos examenes de 2º Topografía y Cartografía: EXAMENES-PRIMER-PARCIAL-TOPO.pdf

19 páginas

He publicado nuevos apuntes de 2º Topografía y Cartografía: MDT.pdf

10 páginas

He publicado nuevos apuntes de 2º Topografía y Cartografía: TEMA-1-TOPO.pdf

5 páginas

He publicado nuevos apuntes de 2º Topografía y Cartografía: TEMA-2-TOPO.pdf

15 páginas

apuntes

-

RESUMENES

He publicado nuevos apuntes de 2º Topografía y Cartografía: RESUMENES

RESUMEN-ALTIMETRIA.pdf
RESUMEN-INSTRUMENTACION.pdf
RESUMEN-PLANIMETRIA.pdf
Anónimo

@Anónimo

He publicado nuevos apuntes de 2º Topografía y Cartografía: Topografia-1P-Preguntas-Cortas.pdf

4 páginas
Anónimo

@Anónimo

He publicado nuevos apuntes de 2º Topografía y Cartografía: Topografia-2P-Preguntas-Cortas.pdf

4 páginas

He publicado nuevos examenes de 2º Topografía y Cartografía: Exámenes topo CORREGIDOS-2022-23.pdf

10 páginas

tutorial para realizar la practica de campo

29 páginas
Anónimo

@Anónimo

He publicado nuevos apuntes de 2º Topografía y Cartografía: Apuntes-cartografia.pdf

12 páginas

He publicado nuevos practicas de 2º Topografía y Cartografía: ENTREGA-FINAL-PRACTICAS-campo.pdf

19 páginas

He publicado nuevos apuntes de 2º Topografía y Cartografía: explicacion-videos-MDT-topografia.pdf

4 páginas
Anónimo

@Anónimo

Modelo de la práctica 3 enviada por el profesor.

9 páginas

Formulario y ejercicios resueltos de estación total, planimetría y altimetría de las prácticas de campo.

9 páginas

He publicado nuevos apuntes de 2º Topografía y Cartografía: Cartografía - Topografía.pdf

4 páginas

apuntes

-

PRACTICAS TOPO

He publicado nuevos apuntes de 2º Topografía y Cartografía: PRACTICAS TOPO

PRACTICA-TOPO-WUOLAH.pdf
INFORME-FINAL-TOPOGRAFIA-.pdf

He publicado nuevos apuntes de 2º Topografía y Cartografía: TOPOGRAFIA-TEORIA.pdf

12 páginas

He publicado nuevos practicas de 2º Topografía y Cartografía: PRACTICAS-TOPO.pdf

22 páginas

He publicado nuevos apuntes de 2º Topografía y Cartografía: topografiaexamenes.pdf

5 páginas

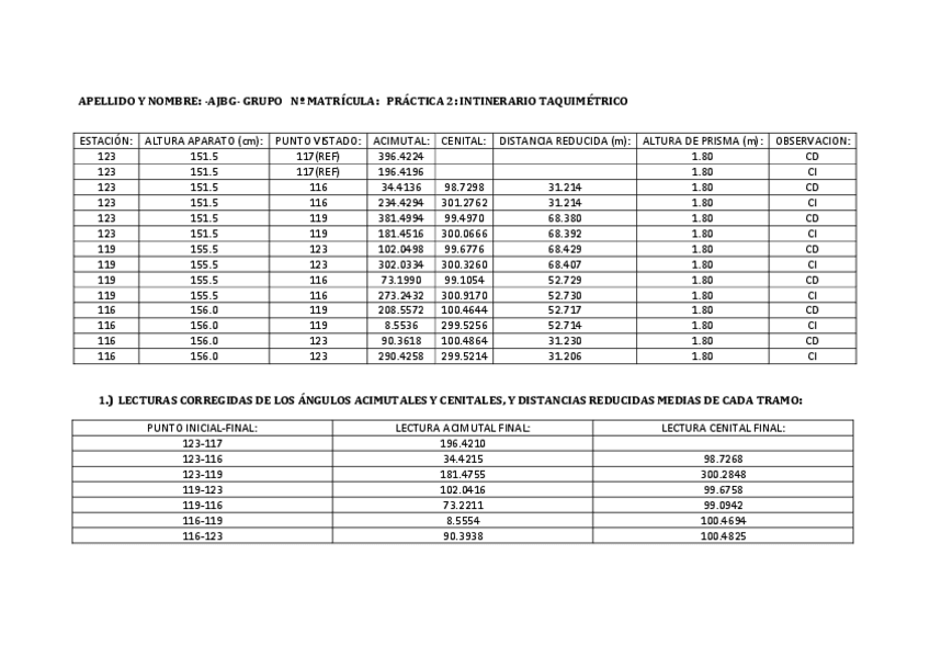
es la práctica 2 de Topografía que corresponde al uso de itinerario taquimétrico

6 páginas

es la práctica 3 de Topografía que corresponde a instrumentos de GPS

4 páginas

es la práctica 1 de Topografía que corresponde al uso de Estación total

4 páginas

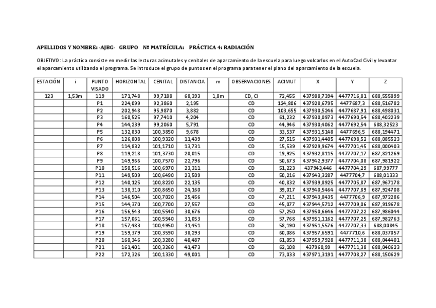
es la práctica 4 de Topografía que corresponde al uso de radiación

3 páginas

es la práctica 5 de Topografía que corresponde a la nivelación geométrica

2 páginas

He publicado nuevos examenes de 2º Topografía y Cartografía: Exámenes y prácticas Topografía.pdf

33 páginas

He publicado nuevos apuntes de 2º Topografía y Cartografía: INFORME COMPLETO DE PRÁCTICAS DE CAMPO DE TOPOGRAFÍA.pdf

12 páginas

He publicado nuevos practicas de 2º Topografía y Cartografía: INFORME COMPLETO DE PRÁCTICAS DE CAMPO DE TOPOGRAFÍA.pdf

12 páginas

He publicado nuevos apuntes de 2º Topografía y Cartografía: MK_Topografia 2.pdf

21 páginas

He publicado nuevos apuntes de 2º Topografía y Cartografía: MK_Topografia 1.pdf

66 páginas