Topología Algebraica Básica

Todo
Apuntes
Ejercicios
Exámenes
Test
chevron_left
chevron_right

He publicado nuevos apuntes de 3º Topología Algebraica Básica: TEMA-3.pdf

24 páginas

He publicado nuevos apuntes de 3º Topología Algebraica Básica: TEMA-2.pdf

19 páginas

He publicado nuevos apuntes de 3º Topología Algebraica Básica: TEMA-1.pdf

10 páginas

He publicado nuevos examenes de 3º Topología Algebraica Básica: Examen-Febrero-2025-Resuelto.pdf

6 páginas
Anónimo

@Anónimo

apuntes

-

Apuntes clase

He publicado nuevos apuntes de 3º Topología Algebraica Básica: Apuntes clase

Tema-1.-Nociones-basicas-de-homotopia.pdf
Anónimo

@Anónimo

He publicado nuevos apuntes de 3º Topología Algebraica Básica: Mini-resumen-topologia-algebraica-basica.pdf

13 páginas

He publicado nuevos examenes de 3º Topología Algebraica Básica: Septiembre-2021 Corregido.pdf

4 páginas

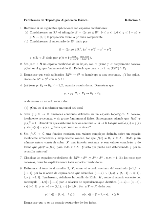
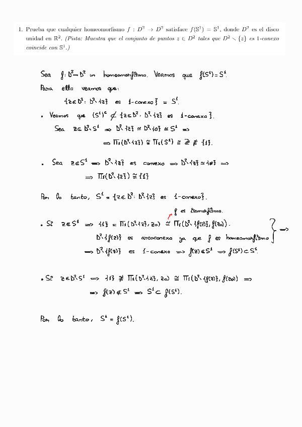
He publicado nuevos apuntes de 3º Topología Algebraica Básica: Relacion-5.pdf

3 páginas

He publicado nuevos examenes de 3º Topología Algebraica Básica: TODOS-los-examenes-hasta-2023.pdf

15 páginas

He publicado nuevos examenes de 3º Topología Algebraica Básica: Septiembre-2013-Corregido.pdf

2 páginas

He publicado nuevos apuntes de 3º Topología Algebraica Básica: Tema-4-Espacios-recubridores-(completo).pdf

10 páginas
Anónimo

@Anónimo

He publicado nuevos ejercicios de 3º Topología Algebraica Básica: Relacion-4-topologia..pdf

9 páginas
Anónimo

@Anónimo

He publicado nuevos apuntes de 3º Topología Algebraica Básica: Tema-3.-Teorema-de-Seifert-VanKampen.pdf

21 páginas

He publicado nuevos apuntes de 3º Topología Algebraica Básica: Tema-3-Teorema-S-VK-(completo).pdf

19 páginas
Anónimo

@Anónimo

He publicado nuevos ejercicios de 3º Topología Algebraica Básica: Relacion-2-tab..pdf

11 páginas

He publicado nuevos examenes de 3º Topología Algebraica Básica: Junio-2021-Corregido.pdf

4 páginas

He publicado nuevos apuntes de 3º Topología Algebraica Básica: Tema-2-Grupo-Fundamental-(completo).pdf

16 páginas

He publicado nuevos apuntes de 3º Topología Algebraica Básica: Tema-1-Nociones-basicas-de-homotopia.pdf

9 páginas

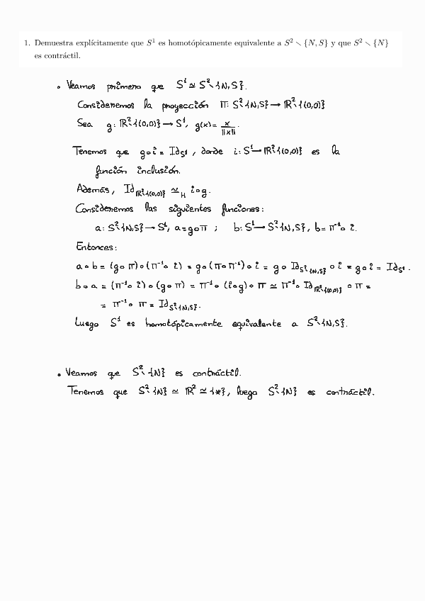
He publicado nuevos ejercicios de 3º Topología Algebraica Básica: relacion5-resuelta.pdf

8 páginas

He publicado nuevos ejercicios de 3º Topología Algebraica Básica: relacion4-resuelta.pdf

8 páginas

He publicado nuevos ejercicios de 3º Topología Algebraica Básica: relacion3-resuelta.pdf

10 páginas

He publicado nuevos ejercicios de 3º Topología Algebraica Básica: relacion2-resuelta.pdf

7 páginas

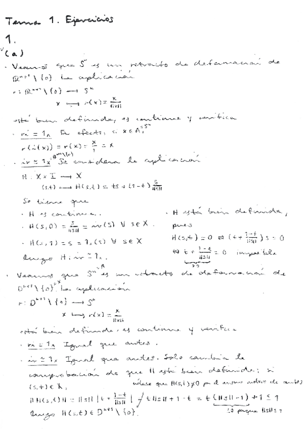
He publicado nuevos ejercicios de 3º Topología Algebraica Básica: relacion1-resuelta.pdf

11 páginas

https://drive.google.com/file/d/19IcjDYltPklWkiC8LIjd9Ln6DooO2AOp/view?usp=sharing (el archivo es demasiado grande).

72 páginas

He publicado nuevos apuntes de 3º Topología Algebraica Básica: Repaso-teoria-TAB.pdf

24 páginas

He publicado nuevos ejercicios de 3º Topología Algebraica Básica: Relaciones-de-ejercicios-de-clase-TAB.pdf

29 páginas

He publicado nuevos examenes de 3º Topología Algebraica Básica: Ejercicios-Examenes-TAB.pdf

23 páginas

He publicado nuevos ejercicios de 3º Topología Algebraica Básica: Relacion-2-TAB.pdf

6 páginas

He publicado nuevos apuntes de 3º Topología Algebraica Básica: Teoria-TAB.pdf

38 páginas

He publicado nuevos examenes de 3º Topología Algebraica Básica: 2023-Enero.pdf

11 páginas

He publicado nuevos ejercicios de 3º Topología Algebraica Básica: Relacion-1-TAB.pdf

8 páginas

He publicado nuevos examenes de 3º Topología Algebraica Básica: 2022-Junio.pdf

9 páginas

He publicado nuevos apuntes de 3º Topología Algebraica Básica: 2022-Febrero-2-SUBIDO-13-09-2023.pdf

6 páginas

He publicado nuevos apuntes de 3º Topología Algebraica Básica: 2022-Julio-SUBIDO-13-09-2023.pdf

3 páginas

He publicado nuevos apuntes de 3º Topología Algebraica Básica: 2022-Febrero-1-SUBIDO-13-09-2023.pdf

10 páginas

He publicado nuevos apuntes de 3º Topología Algebraica Básica: EXAMENES-EJERCICIOS-TIPO-1.pdf

7 páginas

He publicado nuevos apuntes de 3º Topología Algebraica Básica: Teoria-Importante.pdf

2 páginas

He publicado nuevos apuntes de 3º Topología Algebraica Básica: EXAMENES-EJERCICIOS-TIPO-3.pdf

3 páginas

He publicado nuevos apuntes de 3º Topología Algebraica Básica: EXAMENES-EJERCICIOS-TIPO-2.pdf

6 páginas

He publicado nuevos apuntes de 3º Topología Algebraica Básica: Apuntes-Temario-Topologia-Algebraica-Basica.pdf

56 páginas

He publicado nuevos ejercicios de 3º Topología Algebraica Básica: Relacion-1.pdf

8 páginas

He publicado nuevos apuntes de 3º Topología Algebraica Básica: Tema-4-Topologia-Algebraica-Basica.pdf

22 páginas

He publicado nuevos ejercicios de 3º Topología Algebraica Básica: Topologia-Relacion-5.pdf

7 páginas

Código de colores : definiciones -> ROSA, teoremas -> AZUL, ejemplos -> VERDE, observaciones -> NARANJA, importante/títulos -> AMARILLO

22 páginas

He publicado nuevos apuntes de 3º Topología Algebraica Básica: Ejemplos importantes - Tema 3.pdf

8 páginas

He publicado nuevos ejercicios de 3º Topología Algebraica Básica: Topologia-Relacion-4-1.pdf

2 páginas

He publicado nuevos apuntes de 3º Topología Algebraica Básica: Tema-3-El-Teorema-de-Seifert-Van-Kampen.pdf

21 páginas

He publicado nuevos apuntes de 3º Topología Algebraica Básica: Tema-3-Topologia-Algebraica-Basica.pdf

12 páginas

He publicado nuevos ejercicios de 3º Topología Algebraica Básica: Relacion-2.pdf

7 páginas

He publicado nuevos apuntes de 3º Topología Algebraica Básica: Tema-2-Topologia-Algebraica-Basica.pdf

17 páginas

He publicado nuevos apuntes de 3º Topología Algebraica Básica: Tema-2-El-grupo-fundamental-01.pdf

16 páginas

He publicado nuevos apuntes de 3º Topología Algebraica Básica: Tema-1-Homotopia-Nociones-basicas.pdf

10 páginas

He publicado nuevos apuntes de 3º Topología Algebraica Básica: Tema-1-Topologia-Algebraica-Basica.pdf

10 páginas

He publicado nuevos apuntes de 3º Topología Algebraica Básica: Topologia-Algebraica-Basica.pdf

10 páginas

He publicado nuevos ejercicios de 3º Topología Algebraica Básica: Rel-1-Topologia-Alg.pdf

32 páginas

He publicado nuevos apuntes de 3º Topología Algebraica Básica: Apuntes Clase (actualizado 09-11-2022)

5 páginas
Anónimo

@Anónimo

He publicado nuevos test de 3º Topología Algebraica Básica: TestWhatsapp.pdf

10 páginas

He publicado nuevos examenes de 3º Topología Algebraica Básica: examenes-topo-2022.pdf

7 páginas

He publicado nuevos examenes de 3º Topología Algebraica Básica: examenes-topo.pdf

14 páginas

He publicado nuevos apuntes de 3º Topología Algebraica Básica: TOPOLOGIA.pdf

54 páginas