Topología de Espacios Métricos

chevron_left
chevron_right
Todo
Apuntes
Ejercicios
chevron_left
chevron_right

He publicado nuevos apuntes de 1º Topología de Espacios Métricos: Esquemas-topologia.pdf

5 páginas

He publicado nuevos apuntes de 1º Topología de Espacios Métricos: Teoremas-topologia250517063026.pdf

12 páginas
Anónimo

@Anónimo

He publicado nuevos apuntes de 1º Topología de Espacios Métricos: ESPACIOS-METRICOS.pdf

34 páginas

He publicado nuevos apuntes de 1º Topología de Espacios Métricos: Topologia-tema-6.pdf

9 páginas

He publicado nuevos apuntes de 1º Topología de Espacios Métricos: Topologia-tema-5.pdf

6 páginas

He publicado nuevos apuntes de 1º Topología de Espacios Métricos: Topologia-tema-4.pdf

12 páginas

He publicado nuevos apuntes de 1º Topología de Espacios Métricos: Topologia-tema-3.pdf

11 páginas

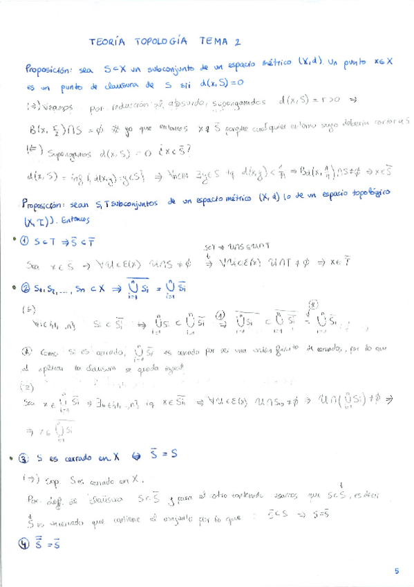
He publicado nuevos apuntes de 1º Topología de Espacios Métricos: Topologia-tema-2.pdf

11 páginas

He publicado nuevos apuntes de 1º Topología de Espacios Métricos: Topologia-tema-1.pdf

17 páginas

He publicado nuevos apuntes de 1º Topología de Espacios Métricos: Resumen-topologia-sin-demostraciones.pdf

12 páginas

Tema 4 de Topología con todas las demostraciones y ejemplos.

11 páginas

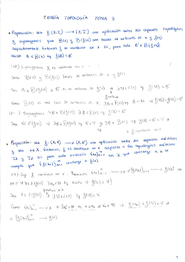
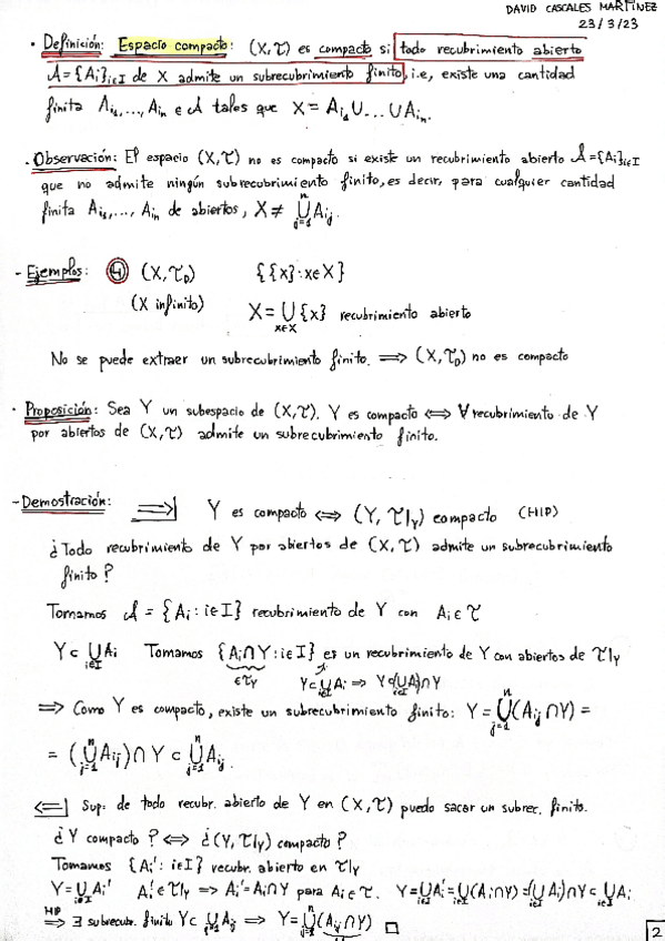
Tema 3 de Topología con todas las demostraciones y ejemplos.

12 páginas

Resumen de las definiciones y proposiciones del tema 3 de Topología.

2 páginas
Anónimo

@Anónimo

Ejercicios resueltos T4 y T5

6 páginas
Anónimo

@Anónimo

Ejercicios resueltos T2

12 páginas
Anónimo

@Anónimo

Apuntes completos t5 con demostraciones

23 páginas
Anónimo

@Anónimo

Ejercicios resueltos T3

8 páginas
Anónimo

@Anónimo

Apuntes completos y con demostraciones

13 páginas
Anónimo

@Anónimo

Demostraciones teoremas examen

10 páginas

Breve resumen de las definiciones y proposiciones del tema 2 de Topología.

2 páginas

Tema 2 de Topología con ejemplos y demostraciones incluidas.

12 páginas

Tema 1 de Topología con todas las definiciones, proposiciones, demostraciones y ejemplos..

21 páginas

He publicado nuevos apuntes de 1º Topología de Espacios Métricos: Ejemplos-para-cuestiones-cortas-y-contraejemplos.pdf

7 páginas
Anónimo

@Anónimo

apuntes

-

Teoría topología de espacios métricos

He publicado nuevos apuntes de 1º Topología de Espacios Métricos: Teoría topología de espacios métricos

Teoria-tema-1.pdf
Teoria-tema-2.pdf
Teoria-temas-3-y-4.pdf
Teoria-temas-5-y-6.pdf
¡Estás al día!

¡Estás al día!

Has visto todos los archivos