Todo
Apuntes
Ejercicios
Exámenes
chevron_left
chevron_right

He publicado nuevos apuntes de 2º Topología: Apuntes-Topo.pdf

15 páginas

apuntes

-

Topología. Teoría (CURSO COMPLETO)✏️

He publicado nuevos apuntes de 2º Topología: Topología. Teoría (CURSO COMPLETO)✏️

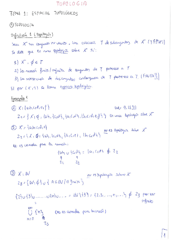
Topologia-tema1-teoria.pdf
Topologia-tema2-teoria.pdf
Topologia-tema4-teoria.pdf
Topologia-tema5-teoria.pdf
Topologia-tema5.3-Compacidad-teoria.pdf
Topologia-tema6-teoria.pdf

examenes

-

Topología. Exámenes RESUELTOS ✅

He publicado nuevos examenes de 2º Topología: Topología. Exámenes RESUELTOS ✅

Topologia-Examen-final17-sof.pdf
Topologia-Examen-final2018.pdf
Topologia-Final2023.pdf
Topologia-Parcial2018.pdf
Topologia-Parcial2022.pdf
Topologia-Parcial2023.pdf

ejercicios

-

Topología. Entregas (CURSO COMPLETO)☑️

He publicado nuevos ejercicios de 2º Topología: Topología. Entregas (CURSO COMPLETO)☑️

Topologia-Entrega1-Ejercicios-Tema0.pdf
Topologia-Entrega2-Ejercicios-Tema1.pdf
Topologia-Entrega3-Ejercicios-Tema1.pdf
Topologia-Entrega4-Ejercicios-Tema2.pdf
Topologia-Entrega5-Ejercicios-Tema3.pdf
Topologia-Entrega6-Ejercicios-Tema4y5.pdf
¡Estás al día!

¡Estás al día!

Has visto todos los archivos