chevron_left
chevron_right
Todo
Apuntes
Ejercicios
Exámenes
Otros
chevron_left
chevron_right

He publicado nuevos apuntes de 3º Topología: Recopilacion-de-Resultados-y-Demostraciones-del-libro-Topologia.pdf

23 páginas

He publicado nuevos examenes de 3º Topología: Examen-18_19-Febrero-Resolucion-Topologia.pdf

3 páginas

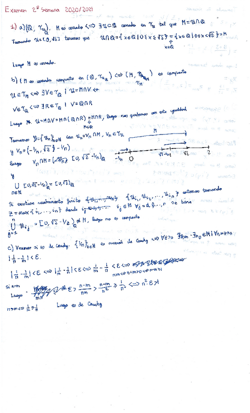
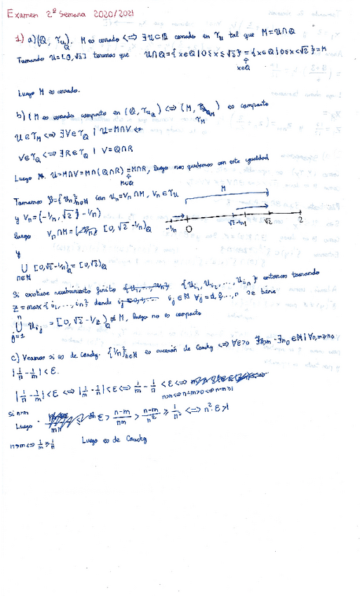
He publicado nuevos examenes de 3º Topología: Examen-20_21-Febero-Modelo-2-Topologia.pdf

5 páginas

He publicado nuevos examenes de 3º Topología: Examen-18_19-Septiembre-No-reserva-Topologia.pdf

3 páginas

He publicado nuevos examenes de 3º Topología: Examen-19_20-Enero-Resolucion-Topologia.pdf

3 páginas

He publicado nuevos examenes de 3º Topología: Examen-19_20-Febrero-Resolucion-Topologia.pdf

4 páginas

He publicado nuevos apuntes de 3º Topología: Examen-19_20-Septiembre-Reserva-Topologia.pdf

4 páginas

He publicado nuevos examenes de 3º Topología: Examen-20_21-Enero-Modelo-2-Topologia.pdf

4 páginas

He publicado nuevos examenes de 3º Topología: Examen-20_21-Enero-Modelo-1-Resolucion.pdf

5 páginas

He publicado nuevos examenes de 3º Topología: Examen-20_21-Febrero-Modelo-1-Resolucion-Topologia.pdf

5 páginas

He publicado nuevos examenes de 3º Topología: Examen-20_21-Septiembre-No-Reserva-Resuelto-Topologia.pdf

5 páginas

He publicado nuevos examenes de 3º Topología: Examen-22F1-Resolucion-Topologia.pdf

5 páginas

He publicado nuevos examenes de 3º Topología: Examen-22F2-Resolucion-Topologia.pdf

4 páginas

He publicado nuevos examenes de 3º Topología: Examen-22S-Resolucion-Topologia.pdf

5 páginas

He publicado nuevos examenes de 3º Topología: Examen-23F1-Resolucion - Topologia.pdf

5 páginas

He publicado nuevos examenes de 3º Topología: Examen-23F2-Resolución -Topologia.pdf

4 páginas

La resolucion me ha salido escrita de forma torcida porque estaba escribiendo de lado.

4 páginas

He publicado nuevos apuntes de 3º Topología: Apuntes-topologia.pdf

9 páginas
Anónimo

@Anónimo

He publicado nuevos apuntes de 3º Topología: t6-top.pdf

3 páginas
Anónimo

@Anónimo

He publicado nuevos apuntes de 3º Topología: t5-top.pdf

2 páginas
Anónimo

@Anónimo

He publicado nuevos apuntes de 3º Topología: t4-top.pdf

2 páginas
Anónimo

@Anónimo

He publicado nuevos apuntes de 3º Topología: t11-top.pdf

4 páginas
Anónimo

@Anónimo

He publicado nuevos apuntes de 3º Topología: t10-top.pdf

2 páginas
Anónimo

@Anónimo

He publicado nuevos apuntes de 3º Topología: t8-top.pdf

2 páginas
Anónimo

@Anónimo

He publicado nuevos apuntes de 3º Topología: t9-top.pdf

2 páginas
Anónimo

@Anónimo

He publicado nuevos apuntes de 3º Topología: t7-top.pdf

2 páginas
Anónimo

@Anónimo

He publicado nuevos apuntes de 3º Topología: tema-1.pdf

5 páginas

He publicado nuevos ejercicios de 3º Topología: 257680280-Problemas-de-Algebra-Conmutativa.pdf

66 páginas
Anónimo

@Anónimo

apuntes

-

ejercicios resueltos a mano en clase 7

He publicado nuevos apuntes de 3º Topología: ejercicios resueltos a mano en clase 7

70.pdf
62.pdf
66.pdf
61.pdf
64.pdf
68.pdf
Anónimo

@Anónimo

apuntes

-

ejercicios resueltos a mano en clase 6

He publicado nuevos apuntes de 3º Topología: ejercicios resueltos a mano en clase 6

57.pdf
59.pdf
55.pdf
52.pdf
58.pdf
53.pdf
Anónimo

@Anónimo

apuntes

-

ejercicios resueltos a mano en clase 5

He publicado nuevos apuntes de 3º Topología: ejercicios resueltos a mano en clase 5

48.pdf
43.pdf
50.pdf
46.pdf
42.pdf
49.pdf
Anónimo

@Anónimo

apuntes

-

ejercicios resueltos a mano en clase 4

He publicado nuevos apuntes de 3º Topología: ejercicios resueltos a mano en clase 4

39.pdf
35.pdf
36.pdf
31.pdf
40.pdf
32.pdf
Anónimo

@Anónimo

apuntes

-

ejercicios resueltos a mano en clase 3

He publicado nuevos apuntes de 3º Topología: ejercicios resueltos a mano en clase 3

26.pdf
22.pdf
27.pdf
29.pdf
25.pdf
24.pdf
Anónimo

@Anónimo

apuntes

-

ejercicios resueltos a mano en clase 2

He publicado nuevos apuntes de 3º Topología: ejercicios resueltos a mano en clase 2

18.pdf
19.pdf
13.pdf
12.pdf
17.pdf
11.pdf
Anónimo

@Anónimo

ejercicios

-

ejercicios resueltos a mano en clase

He publicado nuevos ejercicios de 3º Topología: ejercicios resueltos a mano en clase

6.pdf
1.pdf
8.pdf
5.pdf
2.pdf
9.pdf
Anónimo

@Anónimo

examenes

-

mas examenes

He publicado nuevos examenes de 3º Topología: mas examenes

33.pdf
30.pdf
34.pdf
36.pdf
31.pdf
32.pdf
Anónimo

@Anónimo

apuntes

-

examenes distintos años

He publicado nuevos apuntes de 3º Topología: examenes distintos años

30.pdf
24.pdf
28.pdf
21.pdf
25.pdf
29.pdf
Anónimo

@Anónimo

examenes

-

examenes varias convocatorias

He publicado nuevos examenes de 3º Topología: examenes varias convocatorias

19.pdf
11.pdf
17.pdf
13.pdf
16.pdf
18.pdf
Anónimo

@Anónimo

examenes

-

examenes resueltos

He publicado nuevos examenes de 3º Topología: examenes resueltos

8.pdf
6.pdf
4.pdf
7.pdf
3.pdf
9.pdf

He publicado nuevos otros de 3º Topología: teorema-de-arsela-ascoli.pdf

11 páginas
¡Estás al día!

¡Estás al día!

Has visto todos los archivos