chevron_left
chevron_right
Todo
Apuntes
Ejercicios
Exámenes
chevron_left
chevron_right

He publicado nuevos examenes de 4º Trabajo Fin de Grado: Primera Parte Julio 2017.pdf

3 páginas
Anónimo

@Anónimo

Lo puso Rubén

2 páginas

He publicado nuevos apuntes de 4º Trabajo Fin de Grado: tema5.pdf

19 páginas

He publicado nuevos apuntes de 4º Trabajo Fin de Grado: tema7.pdf

10 páginas

He publicado nuevos ejercicios de 4º Trabajo Fin de Grado: ejemplo_filtros.pdf

5 páginas

He publicado nuevos apuntes de 4º Trabajo Fin de Grado: tema8.pdf

11 páginas

He publicado nuevos apuntes de 4º Trabajo Fin de Grado: tema6.pdf

10 páginas

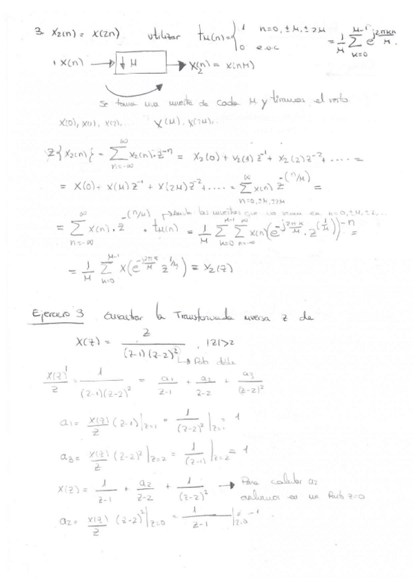
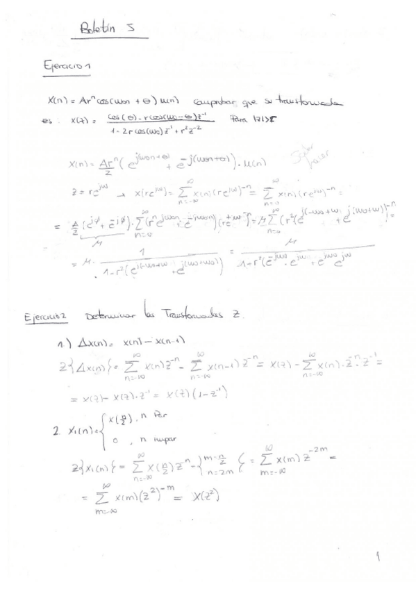
He publicado nuevos ejercicios de 4º Trabajo Fin de Grado: bol5.pdf

5 páginas

He publicado nuevos apuntes de 4º Trabajo Fin de Grado: Formulas 1Parcial TDS.pdf

2 páginas

Este tiene la tabla de la transformada Z y parte del tema 9 (regla de mason y poco mas, hasta donde me aburri jajaja). Lo subo sin margenes(original) asi que al imprimir ver que este la opcion de ajustar dada porque si no se cortan los filos :D

2 páginas

No esta el tema 9

2 páginas

He publicado nuevos apuntes de 4º Trabajo Fin de Grado: Formulario_2.pdf

4 páginas
¡Estás al día!

¡Estás al día!

Has visto todos los archivos