Tractament d'aigües

chevron_left
chevron_right
Todo
Apuntes
Ejercicios
Exámenes
Otros
chevron_left
chevron_right

He publicado nuevos apuntes de 3º Tractament d'aigües: Teoria-tipo-test.pdf

19 páginas
Anónimo

@Anónimo

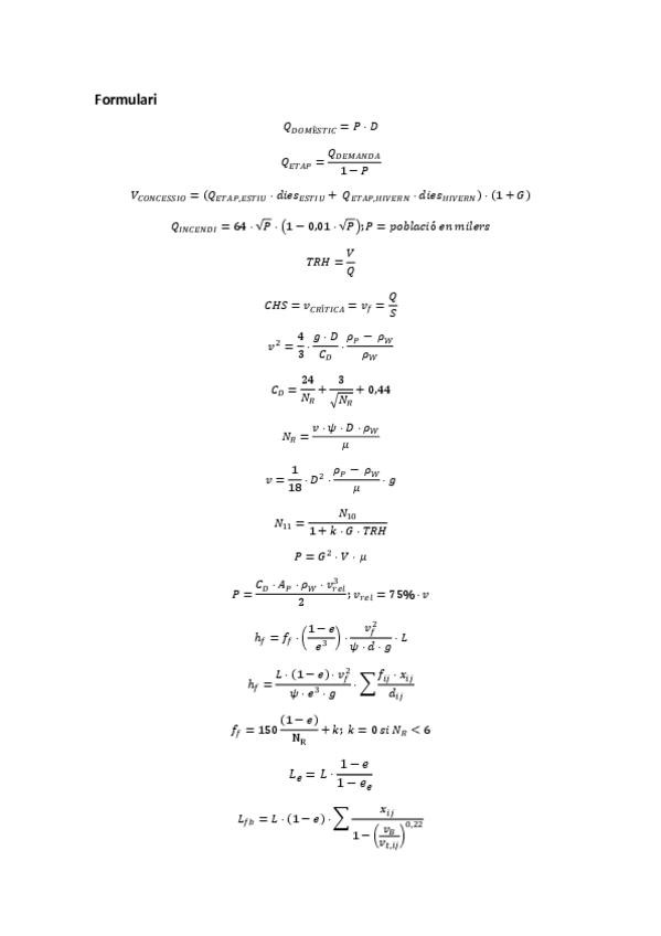
He publicado nuevos otros de 3º Tractament d'aigües: formulari.pdf

2 páginas
Anónimo

@Anónimo

He publicado nuevos otros de 3º Tractament d'aigües: powerpoint-sedimentacio.pdf

60 páginas
Anónimo

@Anónimo

He publicado nuevos otros de 3º Tractament d'aigües: powerpoint-coagulacio-i-floculacio.pdf

66 páginas
Anónimo

@Anónimo

He publicado nuevos otros de 3º Tractament d'aigües: powerpoint-pretractament.pdf

14 páginas
Anónimo

@Anónimo

He publicado nuevos otros de 3º Tractament d'aigües: powerpoint-introduccio-a-la-poabilitzacio.pdf

52 páginas
Anónimo

@Anónimo

He publicado nuevos otros de 3º Tractament d'aigües: powerpoint-captacio-daigues.pdf

16 páginas
Anónimo

@Anónimo

He publicado nuevos ejercicios de 3º Tractament d'aigües: exercicis-desinfeccio.pdf

14 páginas
Anónimo

@Anónimo

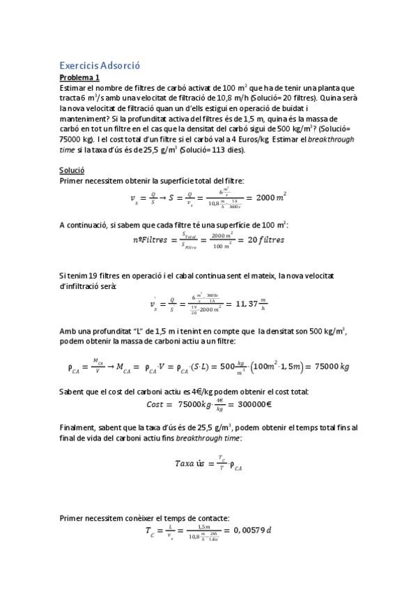
He publicado nuevos ejercicios de 3º Tractament d'aigües: exercicis-adsorcio.pdf

4 páginas
Anónimo

@Anónimo

He publicado nuevos otros de 3º Tractament d'aigües: powerpoint-tractament-de-fangs.pdf

34 páginas
Anónimo

@Anónimo

He publicado nuevos otros de 3º Tractament d'aigües: powerpoint-filtracio.pdf

9 páginas
Anónimo

@Anónimo

He publicado nuevos otros de 3º Tractament d'aigües: powerpoint-dessalinitzacio.pdf

36 páginas
Anónimo

@Anónimo

He publicado nuevos otros de 3º Tractament d'aigües: powerpoint-adsorcio.pdf

43 páginas
Anónimo

@Anónimo

He publicado nuevos otros de 3º Tractament d'aigües: powerpoint-desinfeccio.pdf

70 páginas
Anónimo

@Anónimo

He publicado nuevos otros de 3º Tractament d'aigües: powerpoint-filtracio.pdf

64 páginas

He publicado nuevos apuntes de 3º Tractament d'aigües: Tractament-daigues-parcial-2.pdf

34 páginas

He publicado nuevos apuntes de 3º Tractament d'aigües: Tractament-daigues-parcial-1.pdf

18 páginas
Anónimo

@Anónimo

He publicado nuevos examenes de 3º Tractament d'aigües: ExamenParcial2Tractament.pdf

4 páginas
Anónimo

@Anónimo

He publicado nuevos examenes de 3º Tractament d'aigües: ExamenParcial2Tractament.pdf

3 páginas

He publicado nuevos ejercicios de 3º Tractament d'aigües: Exercicis-diposits.pdf

2 páginas
Anónimo

@Anónimo

He publicado nuevos apuntes de 3º Tractament d'aigües: exemple-problema-T3-TRA.pdf

2 páginas
¡Estás al día!

¡Estás al día!

Has visto todos los archivos