Transmisión de Calor
Clases particulares Transmisión de Calor
Profesor universitario con amplia experiencia en dictado de clases on-line y presenciales. Enfocado solo en las materia que domina para ofrecer un mejor apoyo a los estudiantes. Se ofrece para atender casos individuales o grupos pequeños (maximo 5)

apuntes
-
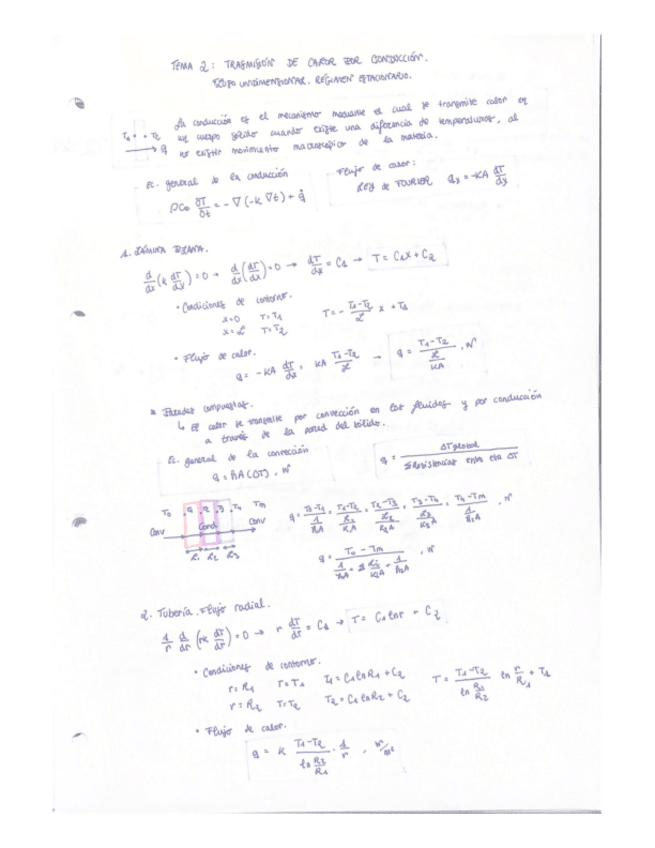
APUNTES Y EJERCICIOS TRASNMISION DE CALOR
He publicado nuevos apuntes de 2º Transmisión de Calor: APUNTES Y EJERCICIOS TRASNMISION DE CALOR
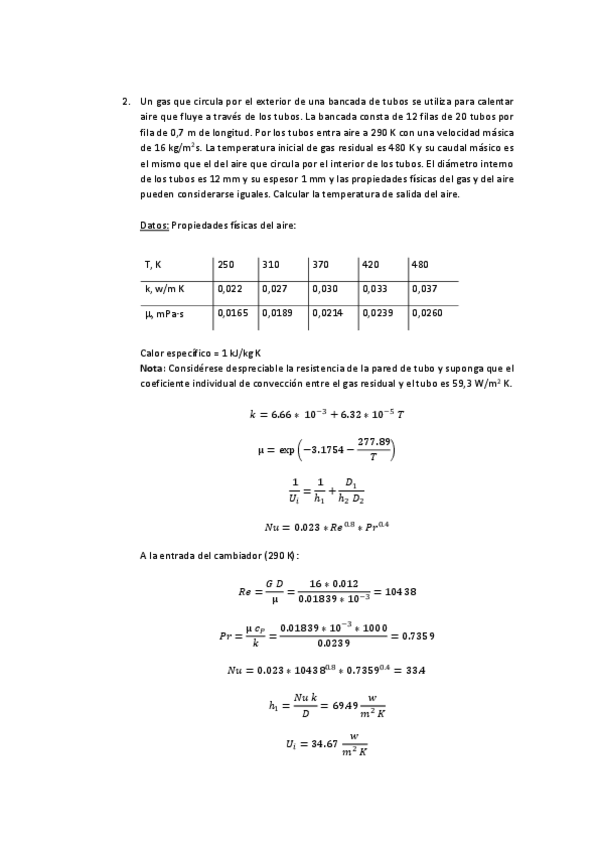
Resolución completa y detallada de la cuarta prueba corta del año 2025. Incluye los cálculos paso a paso y las fórmulas clave aplicadas. Perfecto para repasar el nivel de exigencia justo antes del examen.
Resolución completa y detallada de la primera prueba corta del año 2025. Incluye los cálculos paso a paso y las fórmulas clave aplicadas (Conducción/Convección). Perfecto para repasar el nivel de exigencia justo antes del examen
He publicado nuevos apuntes de 2º Transmisión de Calor: Relacion-tema-3.pdf
He publicado nuevos apuntes de 2º Transmisión de Calor: Relacion-tema-2.pdf
He publicado nuevos apuntes de 2º Transmisión de Calor: Relacion-Tema-4.pdf
He publicado nuevos apuntes de 2º Transmisión de Calor: ejercicios-tema-2-seminarios.pdf
apuntes
-
EJERCICIOS EXAMEN
He publicado nuevos apuntes de 2º Transmisión de Calor: EJERCICIOS EXAMEN
apuntes
-
RELACIONES RESUELTAS
He publicado nuevos apuntes de 2º Transmisión de Calor: RELACIONES RESUELTAS
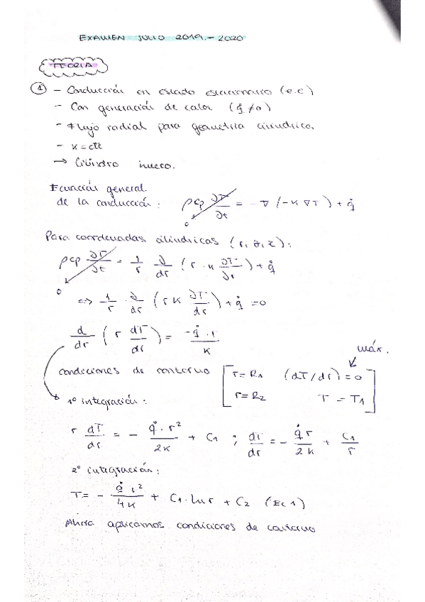
He publicado nuevos examenes de 2º Transmisión de Calor: TEORIA-EXAMENES-ANTERIORES.pdf
examenes
-
EJERICIOS EXÁMENES Y RELACIONES
He publicado nuevos examenes de 2º Transmisión de Calor: EJERICIOS EXÁMENES Y RELACIONES
apuntes
-
TEORÍA EXAMEN
He publicado nuevos apuntes de 2º Transmisión de Calor: TEORÍA EXAMEN
He publicado nuevos apuntes de 2º Transmisión de Calor: relacion-tanques.pdf
He publicado nuevos apuntes de 2º Transmisión de Calor: teoria-tema-3-10.pdf
He publicado nuevos apuntes de 2º Transmisión de Calor: Posibles-preguntas-teoriaEXAMEN.pdf
apuntes
-
EJERCICIOS CLASE-EXAMEN
He publicado nuevos apuntes de 2º Transmisión de Calor: EJERCICIOS CLASE-EXAMEN
He publicado nuevos apuntes de 2º Transmisión de Calor: Relacion-5 TRANSMISION DE CALOR.pdf
He publicado nuevos ejercicios de 2º Transmisión de Calor: Relacion-T13.pdf
He publicado nuevos ejercicios de 2º Transmisión de Calor: Relacion-T8.pdf
ejercicios
-
Ejercicios completos (23/24)
Subire gradualmente los temas restantes.
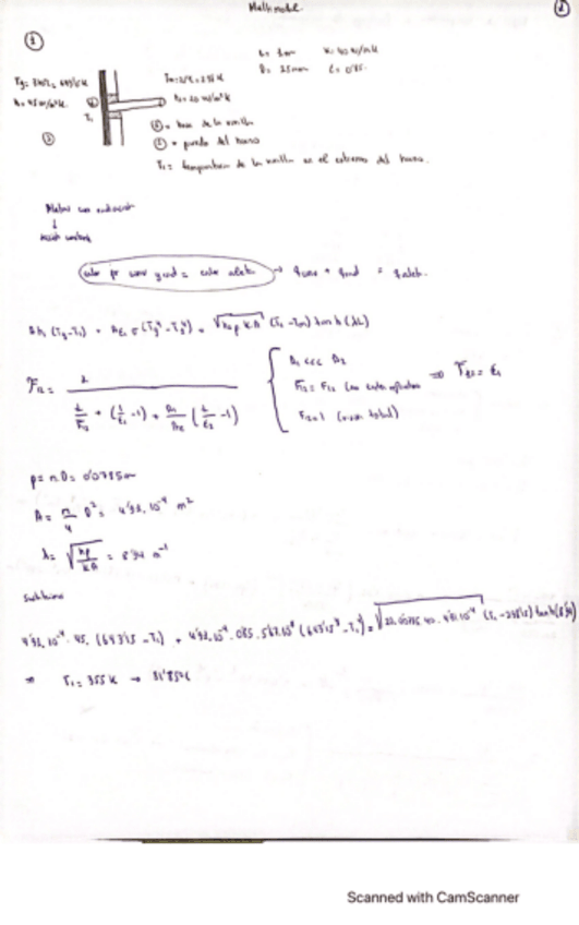
He publicado nuevos apuntes de 2º Transmisión de Calor: EXAMEN-TEORIA-2023-RESUELTO.pdf
He publicado nuevos apuntes de 2º Transmisión de Calor: Problemas-TCalor.pdf
He publicado nuevos apuntes de 2º Transmisión de Calor: Examen-ordinaria-2023.pdf
He publicado nuevos apuntes de 2º Transmisión de Calor: Examenes-anos-anteriores-resueltos.pdf
He publicado nuevos ejercicios de 2º Transmisión de Calor: RELACION-PROBLEMAS-MULTIMODAL.pdf
He publicado nuevos examenes de 2º Transmisión de Calor: Examen-parcial-22-23.pdf
apuntes
-
Ejercicios temas
He publicado nuevos apuntes de 2º Transmisión de Calor: Ejercicios temas
apuntes
-
Apuntes temas
He publicado nuevos apuntes de 2º Transmisión de Calor: Apuntes temas
He publicado nuevos apuntes de 2º Transmisión de Calor: Relacion-de-ejercicios-multimodal.pdf
He publicado nuevos apuntes de 2º Transmisión de Calor: Relacion-de-ejercicios-aletas.pdf
He publicado nuevos apuntes de 2º Transmisión de Calor: Relacion-de-ejercicios-radiacion.pdf
He publicado nuevos apuntes de 2º Transmisión de Calor: Relacion-de-ejercicios-conduccion-en-E-no-E.pdf
He publicado nuevos apuntes de 2º Transmisión de Calor: Relacion-de-ejercicios-conduccion-en-E.E.pdf
apuntes
-
Relación ejercicios cambiadores de calor
He publicado nuevos apuntes de 2º Transmisión de Calor: Relación ejercicios cambiadores de calor
He publicado nuevos apuntes de 2º Transmisión de Calor: FORMULARIOTEMA2.pdf
He publicado nuevos examenes de 2º Transmisión de Calor: PROBLEMAS-EXAMEN-JULIO22.pdf
ejercicios
-
RELACIONES TCALOR
He publicado nuevos ejercicios de 2º Transmisión de Calor: RELACIONES TCALOR
He publicado nuevos examenes de 2º Transmisión de Calor: extraordinaria-2022.pdf
examenes
-
Examen ordinaria
He publicado nuevos examenes de 2º Transmisión de Calor: Examen ordinaria
He publicado nuevos examenes de 2º Transmisión de Calor: teoria-ordinaria.pdf
He publicado nuevos apuntes de 2º Transmisión de Calor: Relacion-De-Problemas-Tema-5.pdf
He publicado nuevos apuntes de 2º Transmisión de Calor: Ejercicios-tema-2.pdf
He publicado nuevos apuntes de 2º Transmisión de Calor: Resumen-tema-2.pdf
examenes
-
examen convocatoria ordinaria 2022
He publicado nuevos examenes de 2º Transmisión de Calor: examen convocatoria ordinaria 2022
apuntes
-
Examenes años anteriores
He publicado nuevos apuntes de 2º Transmisión de Calor: Examenes años anteriores
apuntes
-
Ejercicios resueltos
He publicado nuevos apuntes de 2º Transmisión de Calor: Ejercicios resueltos
apuntes
-
Examen 2019-20
He publicado nuevos apuntes de 2º Transmisión de Calor: Examen 2019-20
apuntes
-
Resúmenes T Calor Preparación del examen
He publicado nuevos apuntes de 2º Transmisión de Calor: Resúmenes T Calor Preparación del examen
He publicado nuevos apuntes de 2º Transmisión de Calor: Formulario-conduccion-simplificado.pdf
He publicado nuevos apuntes de 2º Transmisión de Calor: ORDINARIA-CALOR-2021.pdf
apuntes
-
APUNTES
He publicado nuevos apuntes de 2º Transmisión de Calor: APUNTES