Transmisión de Calor

chevron_left
chevron_right
Todo
Apuntes
Ejercicios
Exámenes
publication
chevron_left
chevron_right

Todas las fórmulas que necesitas saber para el examen.

12 páginas

ejercicios

-

Ejercicios de calor

Todos los ejercicios explicados de transmisión de calor

RELACION-1.pdf
RELACION-2-resistencias-aletas-y-nodos-PARTE-1.pdf
RELACION-2-resistencias-aletas-y-nodos-PARTE-2.pdf
RELACION-2-resistencias-aletas-y-nodos-PARTE-3.pdf
RELACION-4-flujo-externo-y-banco-de-tubos.pdf
RELACION-5-conveccion-natural.pdf

apuntes

-

Transmisión de calor

Incluye: formulario con explicación de cómo hacer los ejercicios y ejercicios de las relaciones y del libro resueltos.

Formulario-de-todos-los-temas.pdf
Todos-los-ejercicios.pdf

ejercicios

-

Apuntes o Ejercicios Transmisión de Calor

He publicado nuevos ejercicios de 2º Transmisión de Calor: Apuntes o Ejercicios Transmisión de Calor

Apuntes-y-Ejercicios-T.1-Transmision-de-Calor.pdf

He publicado nuevos apuntes de 2º Transmisión de Calor: Formulario-hasta-Tema-4.pdf

2 páginas

He publicado nuevos apuntes de 2º Transmisión de Calor: Formulario-tema-1y2.-Transmision-de-calor.pdf

4 páginas

ejercicios

-

Relaciones Resueltas Calor 2.0

He publicado nuevos ejercicios de 2º Transmisión de Calor: Relaciones Resueltas Calor 2.0

Relacion-Problemas-Tema-2.pdf
Relacion-Problemas-Tema-3-2022and2023.pdf
Relacion-Problemas-Rema-4-2022and2023.pdf

Todos los apuntes y ejercicios

He subido un documento que se llama Transmisión de calor (Completo) donde estan todos los ejercicios juntos y un formulario, por eso tiene tantas páginas. Tiene un índice para que encontréis las cosas

He publicado nuevos ejercicios de 2º Transmisión de Calor: Transmision-de-Calor-Completo.pdf

86 páginas

ejercicios

-

Relaciones Resueltas Calor 1.0

He publicado nuevos ejercicios de 2º Transmisión de Calor: Relaciones Resueltas Calor 1.0

Relacion-Problemas-y-Resumen-Tema-1.pdf
Relacion-Problemas-Tema-3.pdf
Relacion-Problemas-Tema-4.pdf
Relacion-Problemas-Tema-5.pdf
Relacion-Problemas-Tema-6.pdf

He publicado nuevos examenes de 2º Transmisión de Calor: Examen-calor.pdf

1 página

apuntes

-

Enunciados ejercicos calor

He publicado nuevos apuntes de 2º Transmisión de Calor: Enunciados ejercicos calor

Relacion-Problemas-Tema-2.pdf
Transferencia-pared-cilindrica-.pdf

ejercicios

-

Ejercicios calor

He publicado nuevos ejercicios de 2º Transmisión de Calor: Ejercicios calor

Problemas-tema-1-calor.pdf
Mas-ejercicios-tema-1-calor.pdf
Ejercicios-tema-2-calor.pdf
Mas-ejercicios-tema-2-calor.pdf

apuntes

-

Teoria calor

He publicado nuevos apuntes de 2º Transmisión de Calor: Teoria calor

Teoria-calor-tema-2.pdf
Teoria-calor-hasta-aletas-resumida.pdf

He publicado nuevos apuntes de 2º Transmisión de Calor: apuntes-y-ejercicios-completos-tema-1-ca.pdf

10 páginas

He publicado nuevos apuntes de 2º Transmisión de Calor: Bloc-de-notas-sin-titulo-3.pdf

6 páginas

ejercicios

-

TODO CALOR

He publicado nuevos ejercicios de 2º Transmisión de Calor: TODO CALOR

MECANISMOS-DE-TRANSMISION.pdf
EJERCICIOS-CONDUCCION.pdf
FLUJO-INTERNO-EJERCICIOS.pdf
EJERCICIOS-FLUJO-EXTERNO.pdf
EJERCICIOS-INTERCAMBIADORES-DE-CALOR.pdf

He publicado nuevos apuntes de 2º Transmisión de Calor: algunos-ej.pdf

22 páginas

apuntes

-

Apuntes de clase y ejercicios

He publicado nuevos apuntes de 2º Transmisión de Calor: Apuntes de clase y ejercicios

T4.pdf
T5.pdf
T2.pdf
T3.pdf
T6.pdf
T7.pdf

He publicado nuevos apuntes de 2º Transmisión de Calor: Relacion-Problemas-Tema-1-.pdf

5 páginas

He publicado nuevos apuntes de 2º Transmisión de Calor: Explicacion-Nodos-Y-1-Ej-De-Aletas.pdf

8 páginas

He publicado nuevos apuntes de 2º Transmisión de Calor: ejercicios.pdf

26 páginas

He publicado nuevos apuntes de 2º Transmisión de Calor: Primer-parcial-de-calor-.pdf

20 páginas

He publicado nuevos apuntes de 2º Transmisión de Calor: Resumen-global-calor1.pdf

16 páginas

apuntes

-

ejercicios

He publicado nuevos apuntes de 2º Transmisión de Calor: ejercicios

tema1y2.pdf
tema3-2.pdf
tema4-2.pdf
tema5y6.pdf

He publicado nuevos apuntes de 2º Transmisión de Calor: Conveccion-fluido-interno.pdf

12 páginas

apuntes

-

Examenes

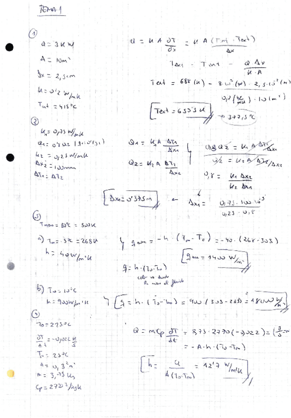
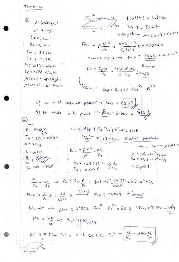
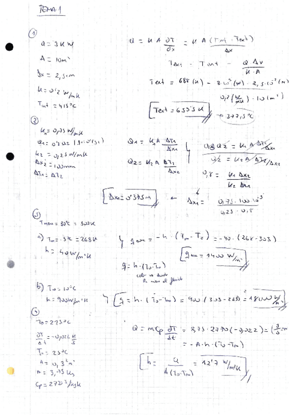
He publicado nuevos apuntes de 2º Transmisión de Calor: Examenes

36A72170-E67C-4A60-839D-945653A4D909.png
139F1BFE-C857-423B-B05A-FF31FD9D7B86.jpg
9CD437D0-043B-42BB-9815-C50FCAEAF7D8.jpg

He publicado nuevos ejercicios de 2º Transmisión de Calor: 0TEMA-2-CALOR.pdf

6 páginas

He publicado nuevos ejercicios de 2º Transmisión de Calor: 15669862154950TEMA-1.pdf

11 páginas

He publicado nuevos ejercicios de 2º Transmisión de Calor: 0Calor.pdf

31 páginas
¡Estás al día!

¡Estás al día!

Has visto todos los archivos