Transporte y Manutención Industrial

chevron_left
chevron_right
Todo
Apuntes
Exámenes
Otros
Prácticas
chevron_left
chevron_right

examenes

-

RESUELTOS de la asignatura

Contiene el enunciado de los exámenes de 2024

EXAMENES-2024.pdf
Problemas-de-EXAMEN-RESUELTOS-gruas.pdf

practicas

-

RESOLUCIÓN COMPLETA

He publicado nuevos practicas de 1º Transporte y Manutención Industrial: RESOLUCIÓN COMPLETA

Practica-1-Bandas.pdf
Practica-2-Gruas.pdf
Practica-3-Ascensores.pdf

He publicado nuevos examenes de 1º Transporte y Manutención Industrial: EXAMENES-Y-PRACTICAS-RESUELTAS-GRUAS.pdf

28 páginas

He publicado nuevos practicas de 1º Transporte y Manutención Industrial: P2-de-TMI-a-ordenador.pdf

4 páginas

He publicado nuevos practicas de 1º Transporte y Manutención Industrial: P1-de-TMI-a-ordenador.pdf

4 páginas

He publicado nuevos examenes de 1º Transporte y Manutención Industrial: Examen-de-ascensores-del-7-2-20-resuelto.pdf

5 páginas

He publicado nuevos examenes de 1º Transporte y Manutención Industrial: Examen-parcial-de-bandas-y-gruas-del-20-11-19-resuelto.pdf

9 páginas

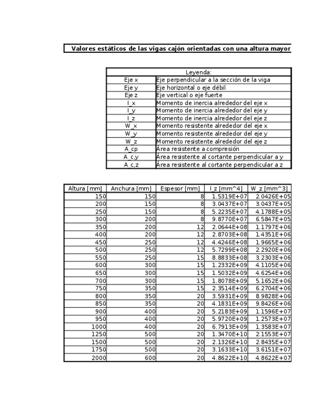
He publicado nuevos otros de 1º Transporte y Manutención Industrial: Prontuario-de-vigas-cajon.xlsx

excel

He publicado nuevos otros de 1º Transporte y Manutención Industrial: Prontuario-de-vigas-cajon.pdf

2 páginas

He publicado nuevos practicas de 1º Transporte y Manutención Industrial: Practica-3-ascensores.pdf

25 páginas

He publicado nuevos practicas de 1º Transporte y Manutención Industrial: Practica-2-gruas.pdf

17 páginas

He publicado nuevos practicas de 1º Transporte y Manutención Industrial: Practica-1-bandas.pdf

8 páginas

He publicado nuevos practicas de 1º Transporte y Manutención Industrial: P3-de-TMI-a-ordenador.pdf

4 páginas

He publicado nuevos apuntes de 1º Transporte y Manutención Industrial: 3 - Ascensores.pdf

23 páginas

He publicado nuevos apuntes de 1º Transporte y Manutención Industrial: 2 - Grúas.pdf

18 páginas

He publicado nuevos apuntes de 1º Transporte y Manutención Industrial: 1 - Bandas.pdf

4 páginas

He publicado nuevos examenes de 1º Transporte y Manutención Industrial: EXAMENES-RESUELTOS-TRANSPORTES.pdf

50 páginas

He publicado nuevos apuntes de 1º Transporte y Manutención Industrial: RESUMENES-TRANSPORTES.pdf

15 páginas
¡Estás al día!

¡Estás al día!

Has visto todos los archivos