Tratamiento estadístico de señales

chevron_left
chevron_right
Todo
Apuntes
Ejercicios
Exámenes
Otros
publication
chevron_left
chevron_right
Anónimo

@Anónimo

He publicado nuevos examenes de 2º Tratamiento estadístico de señales: EJERCICIOS-DE-EXAMEN-RESUELTOS-STOCHASTICPROCESSESMIDTERM2.pdf

9 páginas
Anónimo

@Anónimo

He publicado nuevos examenes de 2º Tratamiento estadístico de señales: Midterm-exercises-detection.pdf

6 páginas
Anónimo

@Anónimo

He publicado nuevos apuntes de 2º Tratamiento estadístico de señales: Primer-parcial-resumen-detection.pdf

9 páginas
Anónimo

@Anónimo

He publicado nuevos examenes de 2º Tratamiento estadístico de señales: Resumen-Estimation.pdf

8 páginas
Anónimo

@Anónimo

He publicado nuevos examenes de 2º Tratamiento estadístico de señales: Midterm-1-estimation-exercises.pdf

7 páginas
Anónimo

@Anónimo

apuntes

-

Examenes Finals

He publicado nuevos apuntes de 2º Tratamiento estadístico de señales: Examenes Finals

SSP202105sol.pdf
SSP202106sol.pdf
SSP202205sol.pdf
SSP202206sol.pdf
SSP202305sol.pdf
SSP202306sol.pdf

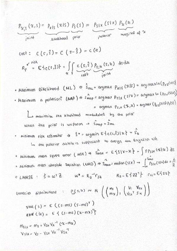
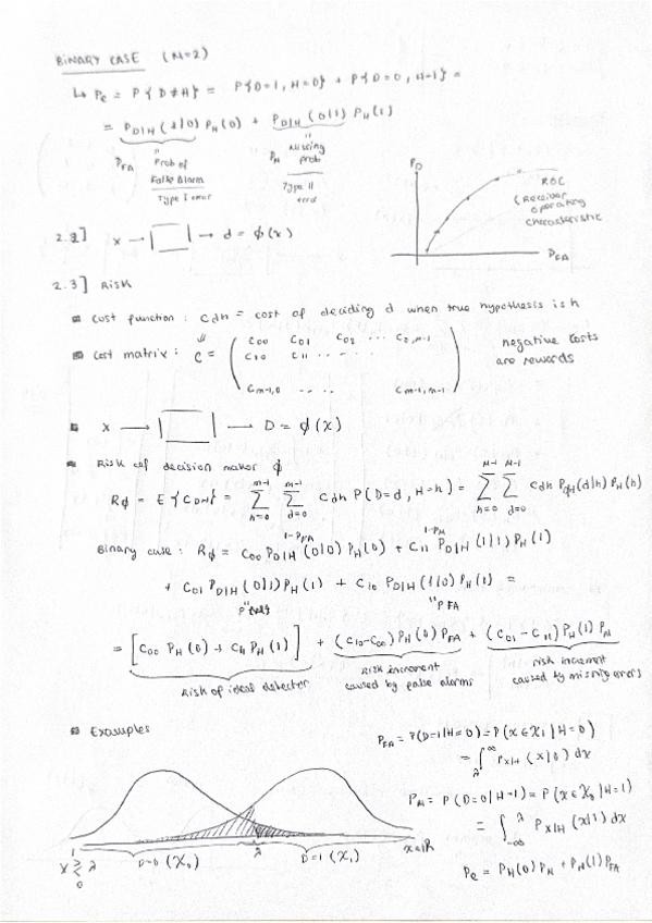
He publicado nuevos apuntes de 2º Tratamiento estadístico de señales: Class-Notes-DECISION-THEORY-With-Exercises.pdf

8 páginas

He publicado nuevos apuntes de 2º Tratamiento estadístico de señales: Class-Notes-SPECTRAL-ESTIMATION.pdf

5 páginas

He publicado nuevos apuntes de 2º Tratamiento estadístico de señales: Class-Notes-ESTIMATION-THEORY-With-Exercises.pdf

16 páginas

He publicado nuevos apuntes de 2º Tratamiento estadístico de señales: Class-Notes-STOCHASTIC-PROCESSES-With-Exercises.pdf

13 páginas

He publicado nuevos examenes de 2º Tratamiento estadístico de señales: Midterm-1-ETSP-2022-SOLVED.pdf

3 páginas

He publicado nuevos examenes de 2º Tratamiento estadístico de señales: Midterm-1-ETSP-2021-B-SOLVED.pdf

3 páginas

He publicado nuevos examenes de 2º Tratamiento estadístico de señales: Midterm-1-ETSP-2021-A-SOLVED.pdf

4 páginas

He publicado nuevos apuntes de 2º Tratamiento estadístico de señales: 2-Theory-and-Problems-Estimation-For-Midterm-1.pdf

9 páginas

He publicado nuevos apuntes de 2º Tratamiento estadístico de señales: 1-Theory-and-Problems-Stochastic-Processes-For-Midterm-1.pdf

18 páginas

He publicado nuevos ejercicios de 2º Tratamiento estadístico de señales: Decision-Theory-Exercises-Solved.pdf

5 páginas

He publicado nuevos examenes de 2º Tratamiento estadístico de señales: Midterm-2-DT-2021-G97-SOLVED.pdf

5 páginas

He publicado nuevos examenes de 2º Tratamiento estadístico de señales: Midterm-2-DT-2021-G96-SOLVED.pdf

6 páginas

He publicado nuevos examenes de 2º Tratamiento estadístico de señales: Midterm-2-1213-Spanish-SOLVED.pdf

2 páginas

He publicado nuevos examenes de 2º Tratamiento estadístico de señales: Midterm-2-1112-Spanish-SOLVED.pdf

2 páginas

He publicado nuevos examenes de 2º Tratamiento estadístico de señales: Midterm-2-Decision-Theory-2022-G96-SOLVED.pdf

5 páginas

He publicado nuevos ejercicios de 2º Tratamiento estadístico de señales: Other-Exercises-SSP.pdf

5 páginas

He publicado nuevos examenes de 2º Tratamiento estadístico de señales: Final-Exam-July-2022-SOLVED.pdf

4 páginas

He publicado nuevos examenes de 2º Tratamiento estadístico de señales: Final-Exam-May-2022-Problem-2-SOLVED.pdf

3 páginas

He publicado nuevos examenes de 2º Tratamiento estadístico de señales: Final-Exam-June-2021-Problem-1-SOLVED.pdf

2 páginas

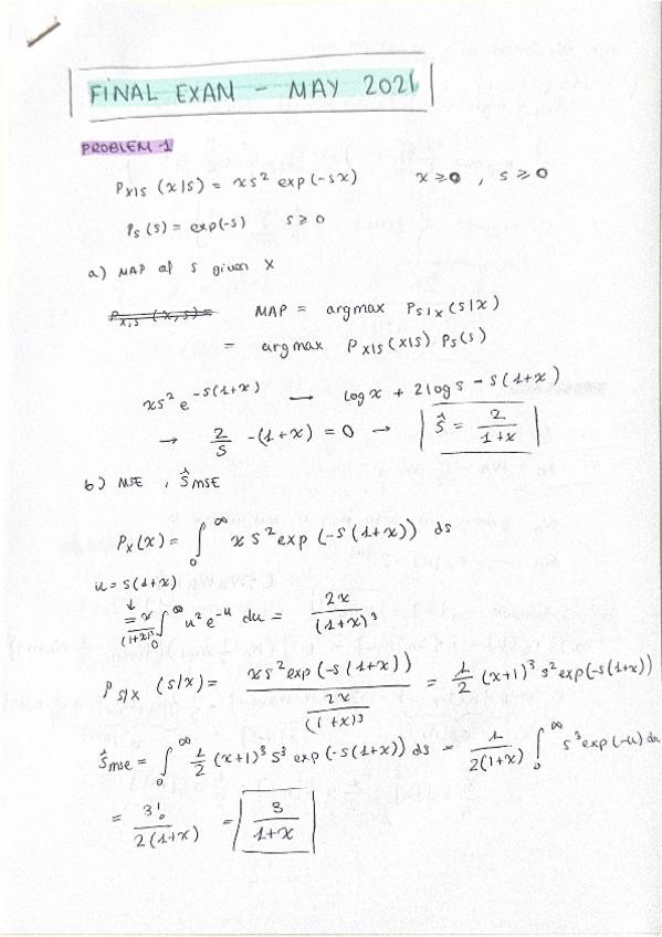
He publicado nuevos examenes de 2º Tratamiento estadístico de señales: Final-Exam-May-2021-SOLVED.pdf

5 páginas

He publicado nuevos examenes de 2º Tratamiento estadístico de señales: Midterm-2-2024-Decision-Theory-SOLVED.pdf

3 páginas

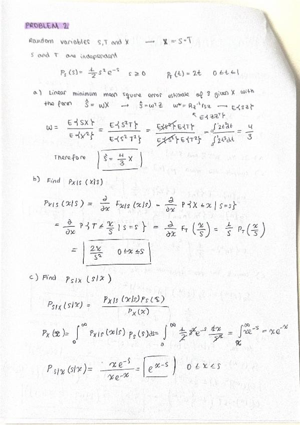
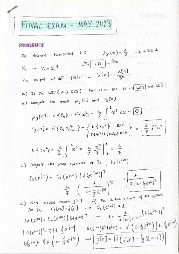
He publicado nuevos examenes de 2º Tratamiento estadístico de señales: Final-Exam-May-2023-Solved.pdf

5 páginas

He publicado nuevos apuntes de 2º Tratamiento estadístico de señales: Cheatsheet-Estimators.pdf

1 página

He publicado nuevos apuntes de 2º Tratamiento estadístico de señales: Decision-Theory-SUMMARY.pdf

12 páginas

He publicado nuevos apuntes de 2º Tratamiento estadístico de señales: Spectral-Estimation-Summary.pdf

7 páginas
Anónimo

@Anónimo

He publicado nuevos apuntes de 2º Tratamiento estadístico de señales: SSP-apuntes.pdf

21 páginas
Anónimo

@Anónimo

He publicado nuevos examenes de 2º Tratamiento estadístico de señales: FINAL-EXPLICADO-A-MANO.pdf

9 páginas
Anónimo

@Anónimo

He publicado nuevos examenes de 2º Tratamiento estadístico de señales: FINAL-EXPLICADO-CON-SOLUCIONES-A-MANO.pdf

10 páginas
Anónimo

@Anónimo

He publicado nuevos examenes de 2º Tratamiento estadístico de señales: EXAMEN-RESUELTO-A-MANO-Y-EXPLICADO.pdf

8 páginas
Anónimo

@Anónimo

He publicado nuevos examenes de 2º Tratamiento estadístico de señales: EXAMEN-RESUELTO-A-MANO-Y-EXPLICADO.pdf

8 páginas
Anónimo

@Anónimo

He publicado nuevos apuntes de 2º Tratamiento estadístico de señales: EXAMEN-FNAL-RESUELTO-Y-EXPLICADO.pdf

9 páginas

Cheat sheet Detection Theory

2 páginas
Anónimo

@Anónimo

He publicado nuevos apuntes de 2º Tratamiento estadístico de señales: StatisticalSignalProcessing-1-2-3.pdf

16 páginas
Anónimo

@Anónimo

He publicado nuevos apuntes de 2º Tratamiento estadístico de señales: Main-Concepts.pdf

4 páginas
Anónimo

@Anónimo

ejercicios

-

Exámenes resueltos a mano

He publicado nuevos ejercicios de 2º Tratamiento estadístico de señales: Exámenes resueltos a mano

First-midterms-solved-by-hand.pdf

He publicado nuevos examenes de 2º Tratamiento estadístico de señales: partialETSP2023.pdf

5 páginas

He publicado nuevos apuntes de 2º Tratamiento estadístico de señales: 2.-Estimation-theory.pdf

6 páginas

He publicado nuevos apuntes de 2º Tratamiento estadístico de señales: Stochastic-processes.pdf

8 páginas

He publicado nuevos examenes de 2º Tratamiento estadístico de señales: SSP202406sol.pdf

6 páginas

He publicado nuevos examenes de 2º Tratamiento estadístico de señales: SSP202406.pdf

3 páginas

He publicado nuevos examenes de 2º Tratamiento estadístico de señales: SSP202405sol.pdf

7 páginas

He publicado nuevos examenes de 2º Tratamiento estadístico de señales: SSP202306sol.pdf

8 páginas

He publicado nuevos examenes de 2º Tratamiento estadístico de señales: SSP202405.pdf

3 páginas

He publicado nuevos examenes de 2º Tratamiento estadístico de señales: SSP202306.pdf

3 páginas

He publicado nuevos examenes de 2º Tratamiento estadístico de señales: SSP202305sol.pdf

9 páginas

He publicado nuevos examenes de 2º Tratamiento estadístico de señales: SSP202305.pdf

3 páginas

He publicado nuevos examenes de 2º Tratamiento estadístico de señales: SSP202206.pdf

3 páginas

He publicado nuevos examenes de 2º Tratamiento estadístico de señales: SSP202205.pdf

3 páginas

He publicado nuevos examenes de 2º Tratamiento estadístico de señales: SSP202106.pdf

3 páginas

He publicado nuevos examenes de 2º Tratamiento estadístico de señales: SSP202105.pdf

3 páginas

He publicado nuevos ejercicios de 2º Tratamiento estadístico de señales: ProblemsEstimationTheory.pdf

7 páginas

He publicado nuevos ejercicios de 2º Tratamiento estadístico de señales: ProblemsDetectionTheroy-1.pdf

10 páginas

He publicado nuevos apuntes de 2º Tratamiento estadístico de señales: Formulasparcial1.pdf

1 página

He publicado nuevos apuntes de 2º Tratamiento estadístico de señales: FormulasDetectionTheory-1.pdf

2 páginas