Todo
Apuntes
Ejercicios
Exámenes
Prácticas
chevron_left
chevron_right

He publicado nuevos practicas de 4º VALORACIONES, TASACIONES Y PERITACIONES: CUESTIONARIOS.pdf

32 páginas

He publicado nuevos practicas de 4º VALORACIONES, TASACIONES Y PERITACIONES: PRACTICAVALOR-REFERENCIAL-CATASTRAL.pdf

32 páginas

He publicado nuevos practicas de 4º VALORACIONES, TASACIONES Y PERITACIONES: PRACTICAINFORME-PERICIAL.pdf

43 páginas

practicas

-

TODOS LOS CUESTIONARIOS

He publicado nuevos practicas de 4º VALORACIONES, TASACIONES Y PERITACIONES: TODOS LOS CUESTIONARIOS

CUESTIONARIO-1.pdf
CUESTIONARIO-2.pdf
CUESTIONARIO-3.pdf
CUESTIONARIO-8.pdf
INFORME-TASACION.pdf
CUESTIONARIO-4.pdf

He publicado nuevos apuntes de 4º VALORACIONES, TASACIONES Y PERITACIONES: Valoraciones-Tasaciones-y-Peritaciones.pdf

17 páginas

He publicado nuevos apuntes de 4º VALORACIONES, TASACIONES Y PERITACIONES: LECCION-06.pdf

5 páginas

He publicado nuevos apuntes de 4º VALORACIONES, TASACIONES Y PERITACIONES: LECCION-4-Y-5.pdf

9 páginas

He publicado nuevos apuntes de 4º VALORACIONES, TASACIONES Y PERITACIONES: LECCION-03.pdf

7 páginas

He publicado nuevos apuntes de 4º VALORACIONES, TASACIONES Y PERITACIONES: LECCION-02.pdf

3 páginas

He publicado nuevos apuntes de 4º VALORACIONES, TASACIONES Y PERITACIONES: LECCION-01.pdf

3 páginas

He publicado nuevos apuntes de 4º VALORACIONES, TASACIONES Y PERITACIONES: valoraciones-metodos-de-valoracion.pdf

2 páginas

He publicado nuevos apuntes de 4º VALORACIONES, TASACIONES Y PERITACIONES: CUESTIONARIO-6-VALORACIONES.pdf

3 páginas

He publicado nuevos apuntes de 4º VALORACIONES, TASACIONES Y PERITACIONES: NOTICIA-VALORACIONES.pdf

5 páginas

He publicado nuevos apuntes de 4º VALORACIONES, TASACIONES Y PERITACIONES: ORDEN-ECO.pdf

48 páginas

He publicado nuevos apuntes de 4º VALORACIONES, TASACIONES Y PERITACIONES: TEMARIO VALORACIONES.pdf

37 páginas

He publicado nuevos apuntes de 4º VALORACIONES, TASACIONES Y PERITACIONES: Valoraciones-APUNTES-CLASE.pdf

8 páginas
Anónimo

@Anónimo

He publicado nuevos examenes de 4º VALORACIONES, TASACIONES Y PERITACIONES: Posibles-preguntas-Valoraciones.pdf

6 páginas
Anónimo

@Anónimo

He publicado nuevos examenes de 4º VALORACIONES, TASACIONES Y PERITACIONES: examen-ordinaria.pdf

1 página
Anónimo

@Anónimo

He publicado nuevos apuntes de 4º VALORACIONES, TASACIONES Y PERITACIONES: RESUMEN.pdf

39 páginas

He publicado nuevos practicas de 4º VALORACIONES, TASACIONES Y PERITACIONES: Metodo-del-coste-practica-parte-2.pdf

5 páginas

He publicado nuevos practicas de 4º VALORACIONES, TASACIONES Y PERITACIONES: Informe-perficioal-parte-2.pdf

21 páginas

He publicado nuevos practicas de 4º VALORACIONES, TASACIONES Y PERITACIONES: Metodo-comparacion-practica-parte-2.pdf

6 páginas

He publicado nuevos apuntes de 4º VALORACIONES, TASACIONES Y PERITACIONES: INFORMACION-COMPLEMENTARIA-LECCION-8.pdf

2 páginas

He publicado nuevos apuntes de 4º VALORACIONES, TASACIONES Y PERITACIONES: INFORMACION-COMPLEMENTARIA-LECCION-4.pdf

2 páginas

He publicado nuevos apuntes de 4º VALORACIONES, TASACIONES Y PERITACIONES: INFORMACION-COMPLEMENTARIA-LECCION-7.pdf

1 página

He publicado nuevos apuntes de 4º VALORACIONES, TASACIONES Y PERITACIONES: INFORMACION-COMPLEMENTARIA-LECCION-4.1.pdf

1 página

He publicado nuevos apuntes de 4º VALORACIONES, TASACIONES Y PERITACIONES: INFORMACION-COMPLEMENTARIA-LECCION-3.pdf

3 páginas

He publicado nuevos apuntes de 4º VALORACIONES, TASACIONES Y PERITACIONES: INFORMACION-COMPLEMENTARIA-LECCION-1.pdf

2 páginas
Anónimo

@Anónimo

He publicado nuevos apuntes de 4º VALORACIONES, TASACIONES Y PERITACIONES: Bloque-1.pdf

18 páginas

apuntes

-

PRACTICA 2

He publicado nuevos apuntes de 4º VALORACIONES, TASACIONES Y PERITACIONES: PRACTICA 2

00.pdf
PERITACION01Resumen-de-presupuesto.pdf
PBTIIGA11MURILLOPOZAJROBLESHERNANDEZMVALEROMARTINEZB.pdf
Presupuesto-y-mediciones.pdf
INFORME.pdf

apuntes

-

PRACTICAS

He publicado nuevos apuntes de 4º VALORACIONES, TASACIONES Y PERITACIONES: PRACTICAS

PLANTAS-PDF.pdf
GAG11MURILLOROBLESVALEROcompressed.pdf
GAG11MURILLOROBLESVALEROPPBLOQUEI.pdf

He publicado nuevos apuntes de 4º VALORACIONES, TASACIONES Y PERITACIONES: TASACIONES.. Bloque II.pdf

16 páginas

He publicado nuevos apuntes de 4º VALORACIONES, TASACIONES Y PERITACIONES: TASACIONES.pdf

23 páginas

He publicado nuevos examenes de 4º VALORACIONES, TASACIONES Y PERITACIONES: 0examen_teor_a_de_valoraciones-patatabrava.doc

word

He publicado nuevos apuntes de 4º VALORACIONES, TASACIONES Y PERITACIONES: TODO.pdf

11 páginas

He publicado nuevos examenes de 4º VALORACIONES, TASACIONES Y PERITACIONES: RESUMEN PREGUNTAS TEORÍA PARA APROBAR.pdf

18 páginas

examenes

-

examen 3

He publicado nuevos examenes de 4º VALORACIONES, TASACIONES Y PERITACIONES: examen 3

IMG_20151208_234302.jpg
IMG_20151208_234318.jpg
IMG_20151208_234334.jpg
IMG_20151208_234350.jpg
IMG_20151208_234410.jpg
IMG_20151208_234420.jpg

examenes

-

examen 4

He publicado nuevos examenes de 4º VALORACIONES, TASACIONES Y PERITACIONES: examen 4

IMG_20151208_234020.jpg
IMG_20151208_234031.jpg
IMG_20151208_234106.jpg
IMG_20151208_234118.jpg
IMG_20151208_234137.jpg
IMG_20151208_234145.jpg

examenes

-

examen 2014

He publicado nuevos examenes de 4º VALORACIONES, TASACIONES Y PERITACIONES: examen 2014

DSC_06961.JPG
DSC_0697.JPG
DSC_0698.JPG
DSC_0696.JPG
DSC_0693.JPG
DSC_0699.JPG

examenes

-

Examen 2

He publicado nuevos examenes de 4º VALORACIONES, TASACIONES Y PERITACIONES: Examen 2

DSC_0693.JPG
DSC_0694.JPG
DSC_0695.JPG
DSC_0696.JPG
DSC_0697.JPG
DSC_0698.JPG

He publicado nuevos practicas de 4º VALORACIONES, TASACIONES Y PERITACIONES: método de comparación.docx

word

He publicado nuevos apuntes de 4º VALORACIONES, TASACIONES Y PERITACIONES: RESUMEN LECCIÓN 1.docx

word

examenes

-

examen 2014

He publicado nuevos examenes de 4º VALORACIONES, TASACIONES Y PERITACIONES: examen 2014

DSC_06961.JPG
DSC_0697.JPG
DSC_0698.JPG
DSC_0696.JPG
DSC_0693.JPG
DSC_0699.JPG
Anónimo

@Anónimo

apuntes

-

apuntes clase

He publicado nuevos apuntes de 4º VALORACIONES, TASACIONES Y PERITACIONES: apuntes clase

INFORMACIÓN COMPLEMENTARIA LECCIÓN 3.pdf
INFORMACIÓN COMPLEMENTARIA LECCIÓN 4.pdf
INFORMACIÓN COMPLEMENTARIA LECCIÓN 7.pdf
lección 8.pdf
apuntes de clase.pdf
wuolah-Bloque temático I [Modo de compatibilidad] nuevo.pdf
Anónimo

@Anónimo

apuntes

-

examenes y apuntes

He publicado nuevos apuntes de 4º VALORACIONES, TASACIONES Y PERITACIONES: examenes y apuntes

TEORÍA 1.pdf
PRINCIPIOS ORDEN ECO E INFORMES.pdf
VALORAICONES EXAMEN FEBRERO 2015.pdf
Anónimo

@Anónimo

apuntes

-

Tasaciones

He publicado nuevos apuntes de 4º VALORACIONES, TASACIONES Y PERITACIONES: Tasaciones

DEFINICIONES_ECO_Y_LEY_DE_CONTRATOS-1 menbrete.pdf
EXAMEN 22-11-16 VALORACIONES.pdf
TASACIONES__PREGUNTAS DE EXAMEN_.pdf
TEORÍA 2.pdf

He publicado nuevos examenes de 4º VALORACIONES, TASACIONES Y PERITACIONES: examen valoraciones.dwg

Anónimo

@Anónimo

apuntes

-

Apuntes Mari Paz Coeficientes 2017

He publicado nuevos apuntes de 4º VALORACIONES, TASACIONES Y PERITACIONES: Apuntes Mari Paz Coeficientes 2017

INFORMACIÓN COMPLEMENTARIA LECCIÓN 3.pdf
INFORMACIÓN COMPLEMENTARIA LECCIÓN 4.pdf
INFORMACIÓN COMPLEMENTARIA LECCIÓN 7.pdf
Anónimo

@Anónimo

He publicado nuevos apuntes de 4º VALORACIONES, TASACIONES Y PERITACIONES: Tema 12 el dictamen pericial.pdf

17 páginas
Anónimo

@Anónimo

He publicado nuevos apuntes de 4º VALORACIONES, TASACIONES Y PERITACIONES: BOE-A-2000-323-consolidado LEC.pdf

309 páginas
Anónimo

@Anónimo

He publicado nuevos apuntes de 4º VALORACIONES, TASACIONES Y PERITACIONES: TEORÍA 1.pdf

11 páginas
Anónimo

@Anónimo

He publicado nuevos apuntes de 4º VALORACIONES, TASACIONES Y PERITACIONES: WUOLAH TASACIONES.pdf

59 páginas
Anónimo

@Anónimo

He publicado nuevos apuntes de 4º VALORACIONES, TASACIONES Y PERITACIONES: TEORÍA 2.pdf

18 páginas
Anónimo

@Anónimo

He publicado nuevos apuntes de 4º VALORACIONES, TASACIONES Y PERITACIONES: apuntes de clase.pdf

11 páginas
Anónimo

@Anónimo

He publicado nuevos apuntes de 4º VALORACIONES, TASACIONES Y PERITACIONES: lección 8.pdf

10 páginas
Anónimo

@Anónimo

He publicado nuevos examenes de 4º VALORACIONES, TASACIONES Y PERITACIONES: febrero 2016.JPG

Imagen
Anónimo

@Anónimo

He publicado nuevos apuntes de 4º VALORACIONES, TASACIONES Y PERITACIONES: septiembre 2016.jpg

Imagen
Anónimo

@Anónimo

He publicado nuevos apuntes de 4º VALORACIONES, TASACIONES Y PERITACIONES: Tema 12 el dictamen pericial.pdf

17 páginas
Anónimo

@Anónimo

examenes

-

Preguntas de Examen Otros Años

He publicado nuevos examenes de 4º VALORACIONES, TASACIONES Y PERITACIONES: Preguntas de Examen Otros Años

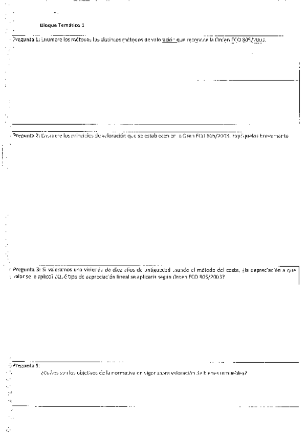
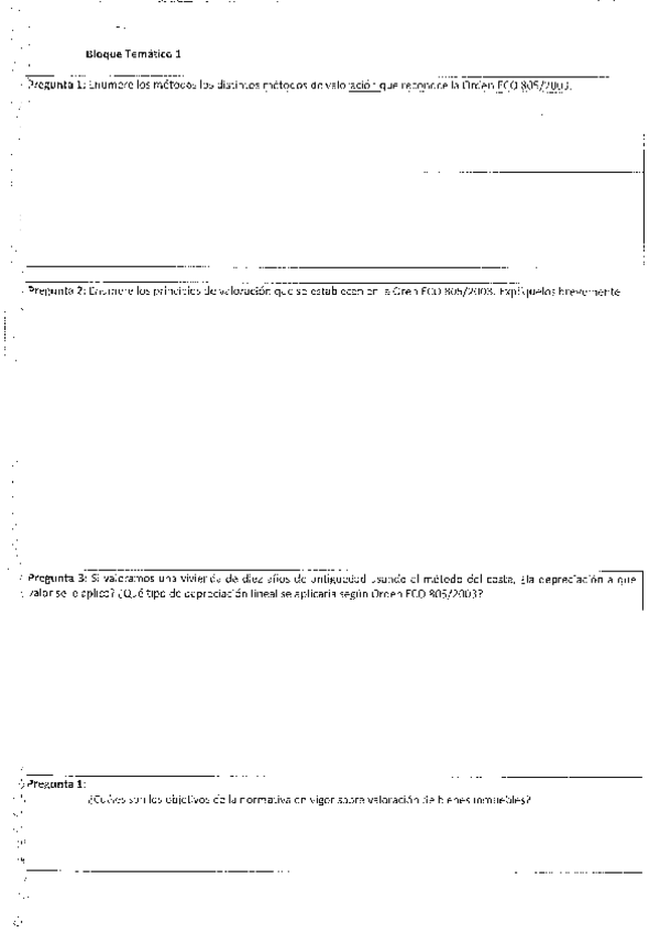
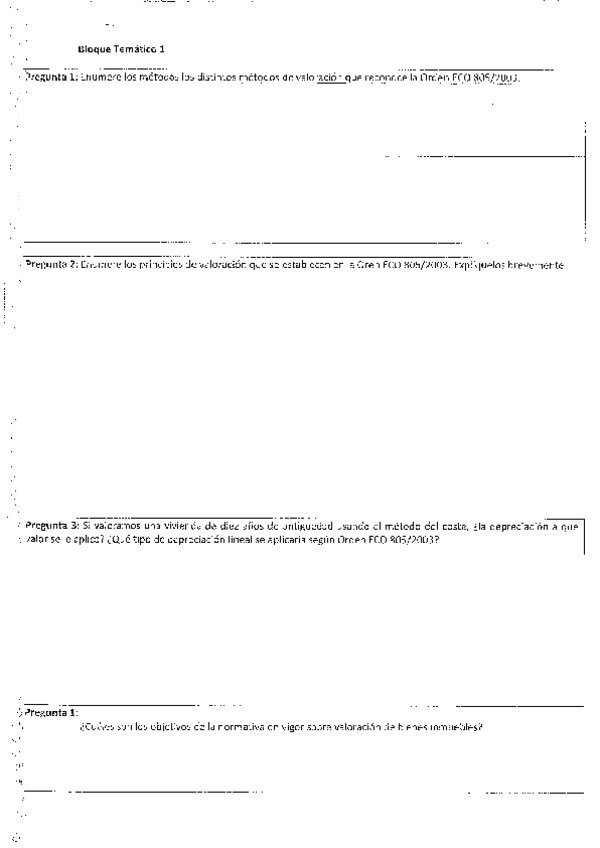
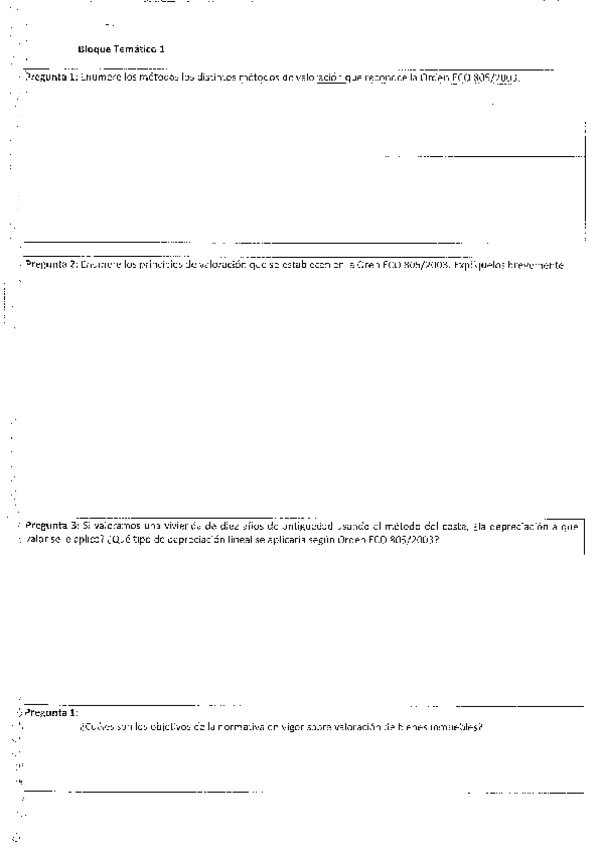
PREGUNTAS EXAMEN BLOQUE TEMATICO I DEF.pdf
PREGUNTAS EXAMEN BLOQUE TEMATICO II DEF.pdf
Anónimo

@Anónimo

He publicado nuevos apuntes de 4º VALORACIONES, TASACIONES Y PERITACIONES: Bloque temático II [Modo de compatibilidad].pdf

6 páginas